【考研数学】三. 微分方程

article/2025/10/9 7:38:44

文章目录

  • 三. 微分方程
    • 1. 概念理解
    • 2. 求一阶微分方程的通解的方法
      • 2.1 可分离变量法
      • 2.2 换元法
      • 2.3 公式法(线性)
      • 2.4 变量替换(非线性)
    • 3. 二阶微分方程的通解
      • 3.1 二阶常系数齐次微分方程的通解
      • 3.2 二阶常系数非齐次微分方程的通解
      • 3.3 二阶变系数微分方程的通解
    • 4. 补充(知能行)
      • 4.1 解题技巧:非齐次解的差为齐次解
      • 4.2 建模与应用:未知函数的选择
      • 4.3 解题技巧:非齐次方程解的叠加
      • 4.4 解题技巧:f(x) = Asinβx的特解
      • 4.5 基础知识:k重复根的设解
      • 4.6 自由项对应的特征方程的根⭐
      • 4.7 求解欧拉方程
      • 4.8 解题技巧:三阶常系数微分方程
    • 5. 学习链接
    • 6. 其他知识点的结合
      • 6.1 抽象幂级数的和函数求解

三. 微分方程

1. 概念理解

专业术语 ==> 大白话

微分方程 ==> 含导数 微分方程的阶 ==> 最高阶导数
微分方程的解 ==> x与y的关系式
微分方程通解 ==> 含任意常数
微分方程通解的阶 ==> 任意常数的个数
微分方程初始条件 ==> 通解确定了数字
微分方程特解 ==> 确定了初始条件的解

2. 求一阶微分方程的通解的方法

2.1 可分离变量法

对应方程:变量可分离的微分方程
适用题型:可整理成x和y两者 井水不犯河水 的式子
f ( x ) d x = g ( y ) d y f(x)dx = g(y)dy f(x)dx=g(y)dy
使用:左右两侧同时不定积分
∫ f ( x ) d x = ∫ g ( y ) d y + C \int f(x)dx = \int g(y)dy + C f(x)dx=g(y)dy+C

2.2 换元法

对应方程:齐次微分方程
题型:若某一阶微分方程可以整理为:
d y d x = f ( y x ) \frac{dy}{dx} = f(\frac{y}{x}) dxdy=fxy

使用: 把y/x换成u,得到:
d y d x = u + x ∗ d u d x \frac{dy}{dx} = u + x * \frac{du}{dx} dxdy=u+xdxdu

2.3 公式法(线性)

对应方程:一阶线性微分方程
题型:可以整理为
y ′ + p ( x ) y = 0 或者 y ′ + p ( x ) y = q ( x ) y' + p(x)y = 0 或者 y' + p(x)y = q(x) y+p(x)y=0或者y+p(x)y=q(x)
使用:不定积分积出来的不需要再加常数C

2.4 变量替换(非线性)

  • 对应方程:伯努利方程(别努力方程)

  • 题型:
    y ′ + p ( x ) y = q ( x ) y n y' + p(x) y = q(x) y^n y+p(x)y=q(x)yn

  • 使用:
    在这里插入图片描述

3. 二阶微分方程的通解

Ay’’ + By’ + Cy = []

若系数中的ABC都是常数,则称二阶微分方程 为 二阶常系数微分方程

齐次: Ay’’ + By’ + Cy = 0

非齐次: Ay’’ + By’ + Cy = f(x)

3.1 二阶常系数齐次微分方程的通解

  1. 把系数A化成1,得到 y’’ + py’ + q = 0
  2. 求解一元二次方程 r^2 + pr + q = 0,得到r1,r2 根据特征方程的解分三种情况
    • r1 != r2
      y = C 1 e r 1 x + C 2 e r 2 x y = C_1 e^{r_1 x} + C_2 e^{r_2 x} y=C1er1x+C2er2x
    • r1 = r2
      y = ( C 1 + C 2 x ) e r 1 x y = (C_1 + C_2x) e^{r_1 x} y=(C1+C2x)er1x
    • 一对共轭 : r1 = r2 = α ± β i
      y = ( C 1 c o s β x + C 2 s i n β x ) e α x y = ( C_1 cos βx + C_2sinβx ) e^{αx} y=(C1cosβx+C2sinβx)eαx

在这里插入图片描述

3.2 二阶常系数非齐次微分方程的通解

  1. 先求出对应的齐次方程的解(假设右边是0)
  2. 再求出非齐次的特解
  3. 两者相加
  • 技巧
    y1,y2,y3 是三个非齐特,那么 y1 - y2 以及 y2 - y3 是对应的齐次的解

3.3 二阶变系数微分方程的通解

Ay’’ + By’ + Cy = []

其中的A,B,C不全为数字,则称为二阶变系数微分方程

但从考研数学角度,仅有两种:

  1. 不含y:把y’换成P,把y’‘换成P’
  2. 不含x: 把y’换成P,把y’'换成P * dp/dy

求通解:可以含常数C
求表达式:不可以含常数C,得求出来。

  • 经典问题:已知解,求对应的微分方程
    通过系数对应方程,直接得出结果。

4. 补充(知能行)

4.1 解题技巧:非齐次解的差为齐次解

在这里插入图片描述

4.2 建模与应用:未知函数的选择

在这里插入图片描述

4.3 解题技巧:非齐次方程解的叠加

在这里插入图片描述

4.4 解题技巧:f(x) = Asinβx的特解

在这里插入图片描述

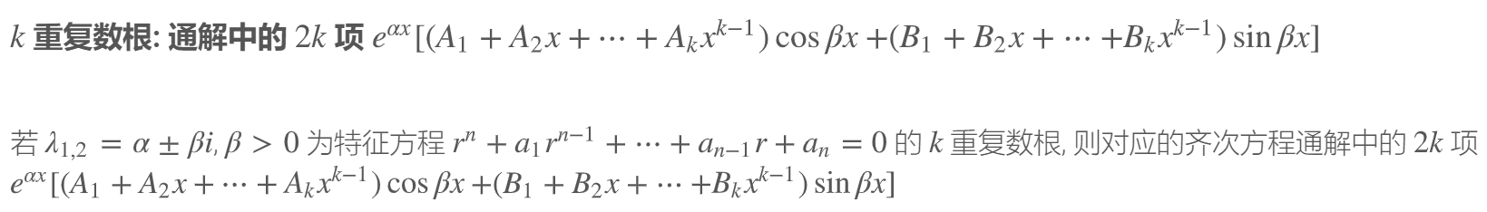
4.5 基础知识:k重复根的设解

出现了三角函数、代表存在复数。
三角函数内的系数为复数的系数。
外圈出现了e的指数函数,则表示实数位置的系数。
k个重复的根、则x的指数为k-1。
在这里插入图片描述

4.6 自由项对应的特征方程的根⭐

在这里插入图片描述

4.7 求解欧拉方程

核心:1)记住欧拉方程形式。2)理解怎么换元的。
在这里插入图片描述

4.8 解题技巧:三阶常系数微分方程

求解常系数齐次线性微分方程:先写出其特征方程, 求出特征根, 再根据特征根写出通解结构。

如果全是y及y的高阶导,不需要考虑换元,直接列特征方程!
例如:y″′-2y″+y′-2y=0
就不需要设置p = y′。
求得方程的特征根分别为:λ1=2,λ2=±i,
于是方程的基本解组为:e2x,cosx,sinx,
从而方程的通解为:
y(x)=C1e2x+C2cosx+C3sinx,其中C1,C2,C3为任意常量。

5. 学习链接

  1. 知乎:高阶常系数线性微分方程解法
  2. CSDN博客:二阶常系数齐次线性微分方程的通解

6. 其他知识点的结合

6.1 抽象幂级数的和函数求解

与幂级数中和函数的结合,表面是求和函数,实际上需要构造和函数S(x)的微分方程,进而求解出S(x).

20年数一真题:
在这里插入图片描述
构造微分方程需要求导,所以写求S‘(x),通过与S(x)的形式上的一致,构造等式。

在这里插入图片描述
在这里插入图片描述
至此解S’(x) = 1 + xS’(x) + 1/2 S(x) 的微分方程即可。


http://chatgpt.dhexx.cn/article/uA99LJIR.shtml

相关文章

PKM是什么意思?

原创不易,麻烦点个关注,点个赞,谢谢各位。 PKM是什么意思? 这三个字母代表着:Personal Knowledge Management,个人知识管理系统。简单地说,就是构建一个系统,把你重要的信息都放在里面管理起来。 PKM? 锁定目标,正向学习 周期整理,合理保存 积极共享,树立品牌 大…

字符串匹配的KPM算法

转至:http://www.ruanyifeng.com/blog/2013/05/Knuth–Morris–Pratt_algorithm.html 字符串匹配是计算机的基本任务之一。 举例来说,有一个字符串"BBC ABCDAB ABCDABCDABDE",我想知道,里面是否包含另一个字符串"…

学习报告:kmp

我们应该都知道一个这样子的题目, 输入两个字符串,求一个字符串在另一个字符串出现的次数,我们可以使用两个for循环来解决这个事,可是这个方法的时间要太久了,所以就需要我们kmp,我们先来介绍一个表 这个表…

图解+原理推导完全读懂KPM算法

文章目录 串定长顺序存储方式串的模式匹配BF算法KMP算法KMP算法原理KMP算法实现求模式串T的next值算法 时间复杂度分析BF算法分析KMP算法分析KMP算法与BF算法比较 串定长顺序存储方式 我们显式地在串的索引为0处存储串长。 #define MAXSTRLEN 255 // 用户可在255以内定义最…

英文打字速度180kpm

刚测了一下打字; 基本在180kpm左右; 作为程序员应该足够用了; 我看了一下kpm的意思; 请问英文的打字速度的KPM要多少才是一般录入员的速度呢?我177KPM是高还是低呀??? - ...... 一分钟要打60个字以上,大约要打420kpm,你的17…

4. 串的【朴素模式匹配算法】、【KPM算法:求next数组、nextval数组】

串的模式匹配:在主串中,找到与模式串相同的子串,并返回其所在位置。 其实就是给出一个串abc,找到abc在主串的位置【abc都要匹配】 模式串:给出一个串abc 子串:主串中的abc【可能没有】 文章目录 1. 串的朴素模式匹配算法1.1 方法一:用k记录位置1.2 方法二:不用k2. KPM算…

KPM算法详解(Next数组)

由LeetCode_28引发的思考 最开始用了剪枝思想的朴素解法虽然做出来了,在看答案的时候发现了有一种叫KMP的算法专门就是解决快速查找匹配串问题的,进行了深入的学习。 下面的图源自宫水三叶的解答 我们有两个字符串,在原串中寻找是否有匹配串。…

【C#】KPM算法解决字符串匹配问题

KPM算法解决字符串匹配问题 什么是KPM算法步骤Ⅰ根据《最大长度表》部分匹配表(next)寻找最长前缀后缀 Ⅱ 根据 部分匹配表 进行匹配 代码实现 什么是KPM算法 Knuth-Morris-Pratt 字符串查找算法,简称为 “KMP算法”,常用于在一个…

串的匹配 (KPM算法由来引导)

前言: 引入 KPM 算法的前提是 , B-F算法中,匹配失败后不必完全从头再来 , 找到可以利用的信息 , 可以进行跳跃性匹配 下面 , 我们对字符串匹配的一些思路进行剖析: 开始匹配的操作 ,我们会让 目标串 s , 和 模式串进行对齐,就像如图所示: 我们当然是从串 t 的头结点开始对比 对…

KPM匹配算法

KPM匹配算法 不管在工作中还是学习中经常会遇到串的模式匹配,一般来说,串的模式匹配算法主要是两种【朴素模式匹配和KPM模式匹配】一种改良【KPM的改良】,下面先看一下朴素模式匹配:朴素模式匹配主要思想比较简单也比较粗暴&…

KPM算法

算法 字符串匹配之朴素算法和KMP算法及JAVA代码实现 2017年06月02日 10:31:12 阅读数:941 暴力匹配算法 假设现在我们面临这样一个问题:有一个文本串S,和一个模式串P,现在要查找P在S中的位置,怎么查找呢&#xff1…

Python KPM算法

知识点说明: 先说前缀,和后缀吧 比如有一个串:abab 则在下标为3处的(前缀和后缀都要比下标出的长度小1,此处下标为3出的长度是4) 前缀为:a,ab,aba 后缀为:b,ba,bab 一、要获取…

KPM算法——数据结构|复习局|串|复杂模式匹配算法|二维数组解决KPM

数据结构复习局——KPM算法 何为KPM?事先规则状态匹配dp——状态转移图状态X获得dp数组值看看图再理解下 写在前面: 本文仅为作者个人学习记录,详细具体内容参考自知乎大佬labuladong 👈点击与大佬🤺击剑🤺…

KMP算法原理及实例

KMP是为了解决串的匹配问题。 一、基础知识 1、概念 1.串的匹配问题:就是在一个长的主串s中找到另一个的短的子串t。 2.目标串(主串\文本串):被匹配的母串,串s被称为目标串。 3.模式串(子串)&#xff1a…

KPM算法思想及实现

一、比较暴力算法和KMP算法 1、暴力算法: 双指针遍历主串和子串,当发现主串和子串不匹配时,双指针同时回溯 2、KMP算法: 双指针遍历主串和子串,当发现主串和子串不匹配时,通过比较子串的next数组只回溯…

正定矩阵的性质

正定矩阵的定义:若矩阵A是n阶方阵,并且它的二次型大于0,即,则矩阵A是正定矩阵。 正定矩阵的性质: 正定矩阵的所有特征值都为正数。正定矩阵行列式为正数两个正定矩阵的和为正定矩阵(两个正定矩阵的乘积不…

顺序主子式

设A为 阶矩阵,子式 称为A的i阶顺序主子式。 [1] 对于 阶的矩阵A,其共有n阶顺序主子式,即矩阵A的顺序主子式由 共n个行列式按顺序排列而成。

【矩阵论笔记】平方根分解

定义 例子 首先判断顺序主子式。 R矩阵每一行除以对角元 平方根分解推导 因为A的分解是唯一的,可以得到 L R T LR^{T} LRT 例题 待定系数法

MATLAB_数值计算_用平方根法解线性方程组—(Cholesky分解)

利用对称正定矩阵的乔累斯基分解求解对称正定方程组的方法称为平方根法对称正定矩阵A的对角元为正实对称矩阵A正定的充要条件是A的所有特征值为正对称正定矩阵非奇异,其逆亦为对称正定矩阵实对称矩阵A正定的充要条件是A的所有顺序主子式为正正定矩阵的顺序主子阵是正…

正定与半正定矩阵,判别的方法不能混用,否则出错

坑:特征值有0可以知道该矩阵不可能正定,那可以用顺序主子式判断是否为半正定吗? 答案:不能 例子:A,特征值为一个0,两个正数>那就是半正定啦呀 但是,主子式二阶小于0那就不正定了呀两种方法…