概率第三章 二维随机变量及其分布

article/2025/10/9 6:18:33

目录

一、二维随机变量及其分布

1、二维随机变量

2、二维离散型随机变量(X,Y)

3、二维连续型随机变量(X,Y)

二、二维随机变量的独立性

三、二维均匀分布和二维正态分布

二维均匀分布

二维正态分布

四、二个随机变量函数Z=g(X,Y)的分布

X、Y均为离散型随机变量:

X、Y均为连续型随机变量:

X为离散型随机变量,Y为连续型随机变量:

Z=max{X,Y}的分布:转为小于等于号    P{max{X,Y}≤z}=P{X≤z,Y≤z}=P{X≤z}P{Y≤z}

Z=min{X,Y}的分布:转为大于号   P{min{X,Y}>z}=P{X>z,Y>z}=P{X>z}P{Y>z}


必考:二维两个相互独立随机变量的条件概率密度;两个随机变量函数Z=g(X,Y)的分布;

一、二维随机变量及其分布

1、二维随机变量

●设X、Y是样本空间上的两个随机变量,则称向量(X,Y)为二维随机变量 /随机向量


二维随机变量(X,Y)的分布函数 /随机变量X和Y的联合分布函数:

●分布函数F(x,y)的性质:


●二维随机变量(X,Y)关于X和关于Y的边缘分布:

边缘分布和二维随机变量分布函数的关系:


●在条件Y=y下X的条件分布,记作:

 在条件X=x下Y的条件分布,记作:


2、二维离散型随机变量(X,Y)

摘要:定义—概率分布(性质)—边缘分布(与概率分布的关系)—条件分布

●二维离散型随机变量的定义:满足条件→称(X,Y)为二维离散型随机变量。


●二维概率分布/分布律:

也可用表格形式表示:(习惯把x1、x2…竖着写,把y1、y2…横着写)

●二维概率分布pij的性质:

(概率大于0)

(概率之和等于1)


(X,Y)关于X和关于Y的边缘分布:

边缘分布pi·和p·j与二维概率分布pij的关系:

pi·= P{X=xi} =pi1+pi2+……+pin;    确定X=xi,Y可取任意值,

p·j= P{Y=yj} =p1j+p2j+……+pnj        确定Y=Yj,X可取任意值,

(eg.确定X=x1,即i=1,p1·= P{X=1} =p11+p12+…+p1n)

(eg.确定Y=Y1,即j=1,p·1= P{Y=1} =p11+p21+…+pn1)


●若P{Y=yj>0},则有在条件Y=yj下X的条件分布


3、二维连续型随机变量(X,Y)

摘要:定义—概率密度(性质)—边缘密度—条件密度

●二维连续型随机变量的定义:满足条件→称(X,Y)为二维连续型随机变量。


二维随机变量(X,Y)的概率密度 /随机变量X和Y的联合概率密度:f(x,y)

●概率密度f(x,y)的性质:

(概率密度大于0;

概率密度在-∞→+∞上积分等于1;

求(X,Y)落在某区域的概率,可以转化为在区域D上对概率密度的二重积分)

★概率密度的性质(3)每年必考!


(X,Y)关于X和关于Y的边缘密度:

注意分别是对y积分和对x积分,被积函数是概率密度f(x,y),积分区间是-∞→+∞


●若fY(y)>0,则有在条件Y=y下X的条件密度:

★fY(y)>0是条件密度fX|Y(x|y)成立的重要条件,经常考,要记牢!

同理,fX(x)>0是条件密度fY|X(y|x)成立的重要条件。


小总结:连续型随机变量

★与分布函数F(x,y)相关的积分,积分区间一般为 -∞→x和 -∞→y

原因是

eg.一维随机变量X的分布函数F(x)的计算公式:

eg.二维随机变量(X,Y)的分布函数F(x,y)的计算公式:

★与概率密度f(x,y)相关的积分,积分区间一般为 -∞→+∞

原因是概率密度的性质,在-∞→+∞上对概率密度f(x,y)积分结果是1(全部的概率之和为1)

eg.一维随机变量X的概率密度f(x)的性质:

eg.二维随机变量(X,Y)的概率密度f(x,y)的性质:

★易记错的公式:

二维随机变量(X,Y)关于X的边缘密度:

和关于Y的边缘密度:。分别是对y积分和对x积分,被积函数是概率密度f(x,y),积分区间是-∞→+∞。

推导过程:


题型:求二维连续型随机变量(X,Y)的边缘密度

★(1)小题步骤:

1、由0<y<x<1画分区图,找出概率密度不为0的区域(方便后续对概率密度的积分和确定积分区间),和概率密度为0的区域

2、边缘密度公式——

3、等号写在哪——可以先模糊分区,最后再看端点加等号

关键分析:

由于边缘密度是对概率密度f(x,y)的定积分,而非零概率密度f(x,y)只在0<y<x<1平面上取到。除此以外的部分概率密度f(x,y)都为0,自然边缘密度也都为0。

所以求边缘密度时只考虑在0<y<x<1平面上的积分即可:

边缘密度fX(x)是对y积分,定积分上下限由y的取值范围确定

——由非零概率密度的区域0<y<x<1推得0<y<x——y的积分区间为0→x

边缘密度fY(y)是对x积分,定积分上下限由x的取值范围确定

——由非零概率密度的区域0<y<x<1推得y<x<1——x的积分区间为y→1

★(2)小题步骤:

1、先求出条件。由边缘密度fY(y)>0时→ 0<y<1时,才有条件密度fX|Y(x|y)存在。

2、将计算出的边缘密度fY(y)和联合密度f(x,y)代入条件密度公式。这里注意题干中联合密度f(x,y)的分区:0<y<x<1和其他,要照抄!


综合题:2013数三真题

第(1)题值得好好思考,思路很绕,一定要想清晰了!


二、二维随机变量的独立性

定义:随机变量X与Y相互独立:

离散型随机变量X与Y相互独立↔ 二维随机变量(X,Y)的概率分布=两个边缘分布相乘 pij=pi·p·j

连续型随机变量X与Y相互独立↔ 维随机变量(X,Y)的联合密度=边缘密度相乘 f(x,y)=fX(x) fY(y)

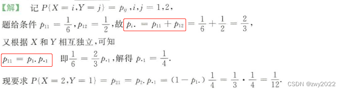
题型:设X和Y相互独立,已知(X,Y)的联合分布部分数值,求剩余数值p21

关键:pij=pi·p·j,

(X,Y)关于X的边缘分布:p1·= P{X=1} =p11+p12+……+p1n    确定X=x1,即i=1,Y可取任意值

(X,Y)关于Y的边缘分布:p·1= P{Y=1} =p11+p21+……+pn1     确定Y=Y1,即j=1,X可取任意值

题型:已知离散型二维随机变量(X,Y)的联合分布,判断X与Y是否相互独立

 

★题型:给定分布,求概率P{X≥Y}

 


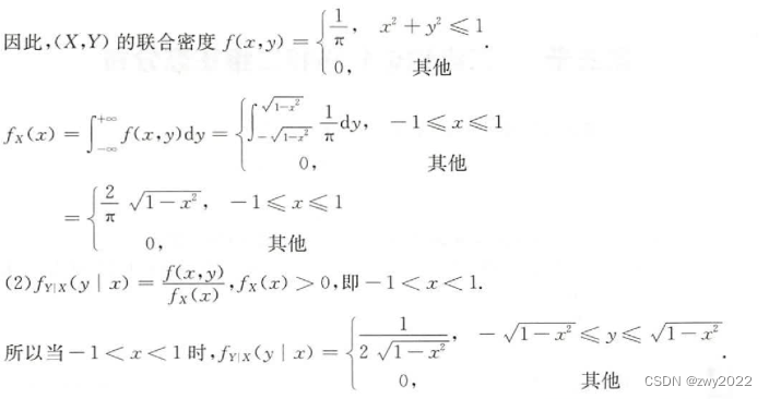
三、二维均匀分布和二维正态分布

二维均匀分布

定义

性质

★关键:

1、分区要准确!

(X,Y)的联合密度f(x,y),根据x、y的取值情况分类

(X,Y)关于X的边缘密度fX(x),根据x的取值分类

在X=x条件下Y的条件密度fY|X(y|x),根据y的取值分类

2、积分上下限要准确!

边缘密度fX(x)是对y积分,定积分上下限由y的取值范围确定——由非零概率密度的区域x^2+y^2≤1推得y^2≤1-x^2——积分区间为:

 3、对端点特别小心!

(2)求条件密度,条件密度fY|X(y|x)成立的条件是fX(x)>0。查阅(1)中求的fX(x),可以推出fX(x)>0时,-1<x<1。千万注意端点!这里取不到端点!


比较下面这个题,只能取到一边端点:

 可以推出fY(y)>0时,0 ≤ y<2。这里只能取到一个端点!

二维正态分布

定义

 性质

 (X,Y)符合二维正态分布,则其边缘分布一定也是正态。

由 (X,Y)符合二维正态分布→X、Y都符合正态分布,

但是由X、Y都符合正态分布推不出 (X,Y)符合二维正态分布。

要再加一个条件,只有当X、Y都符合正态分布,且X与Y相互独立时,才可以推出(X,Y)符合二维正态分布。


四、二维随机变量函数Z=g(X,Y)的分布

X、Y均为离散型随机变量:

Z=g(X,Y)的分布律的求法与一维离散型类似。

X、Y均为连续型随机变量:

公式法:

X为离散型随机变量,Y为连续型随机变量:

Z=max{X,Y}的分布:转为小于等于号    P{max{X,Y}≤z}=P{X≤z,Y≤z}=P{X≤z}P{Y≤z}

(可以假设X≤Y,Z=max{X,Y}=Y,则max{X,Y}≤z即X<Y≤z,写成X≤z且Y≤z)

Z=min{X,Y}的分布:转为大于号   P{min{X,Y}>z}=P{X>z,Y>z}=P{X>z}P{Y>z}

(可以假设X≤Y,Z=min{X,Y}=X,则min{X,Y}>z即Y>X>z,写成X>z且Y>z)


http://chatgpt.dhexx.cn/article/V9Bv0o9D.shtml

相关文章

一维正态分布、二维正态分布的matlab实现

%%%%%%%%%%%%%%%%%%%%%%%%%%%%%%%%%%%%%%%%%% %本程序用于产生一维正态分布、二维正态分布 %%%%%%%%%%%%%%%%%%%%%%%%%%%%%%%%%%%%%%%%%% %绘制一维正态分布 xlinspace(-3,3); ynormpdf(x,0,1); figure(1) plot(x,y,r); %绘制二维正态分布 x-20:0.5:20; y-20:0.5:20; mu[-1,2];…

Matlab二维正态分布可视化

高维分布一直都是一个很抽象的概念,本人在学的时候很多概念不太能理解,于是使用了Matlab进行了可视化。并对均值、方差以及相关系数进行了调整。  图中x,y为两个变量的取值,z为出现的概率密度。 图1 三维图1 图2 俯视图1 变量x的均值为0&…

概统 | 连续型概率分布——正态分布(二维)

​ 编辑 设二维连续型随机变量(X,Y)的联合概率密度为

PT_二维连续型随机变量(二维均匀分布@二维正态分布)

文章目录 PT经典二维分布二维均匀分布二维正态分布二维均匀分布性质例 正态分布小结一维正态分布二维正态分布 二维正态分布二维正态概率密度边缘密度函数😊分布函数😊性质独立性二维随机变量函数的相关分布规律确定性和不确定性🎈正态分布的…

【笔记】概统论与数理统计第五章知识点总结

5.1 正态分布及其密度函数和分布函数 正态分布是自然界中最常见的分布,很多特征都服从正态分布,背后的原理是中心极限定理 1. 标准正态分布X~N(0, 1) 随机变量X的概率密度函数φ(x)随机变量x的分布函数𝝓(𝒙) 性质(偶…

【概率论】5-10:二维正态分布(The Bivariate Normal Distributions)

title: 【概率论】5-10:二维正态分布(The Bivariate Normal Distributions) categories: - Mathematic - Probability keywords: - The Bivariate Normal Distributions toc: true date: 2018-04-05 22:03:55 Abstract: 本文介绍第一个多变量连续分布——双变量正态分布(本篇内…

连续型概率分布——正态分布(二维)

1. 定义&#xff1a;设二维连续型随机变量&#xff08;X&#xff0c;Y)的联合概率密度为 其中μ1&#xff0c;μ2&#xff0c;σ1&#xff0c;σ2&#xff0c;ρ均为常数&#xff0c;且σ1>0, σ2>0, |ρ|<1则称&#xff08;X&#xff0c;Y&#xff09;服从参数为μ1&…

【考研数学】三. 微分方程

文章目录 三. 微分方程1. 概念理解2. 求一阶微分方程的通解的方法2.1 可分离变量法2.2 换元法2.3 公式法&#xff08;线性&#xff09;2.4 变量替换&#xff08;非线性&#xff09; 3. 二阶微分方程的通解3.1 二阶常系数齐次微分方程的通解3.2 二阶常系数非齐次微分方程的通解3…

PKM是什么意思?

原创不易,麻烦点个关注,点个赞,谢谢各位。 PKM是什么意思? 这三个字母代表着:Personal Knowledge Management,个人知识管理系统。简单地说,就是构建一个系统,把你重要的信息都放在里面管理起来。 PKM? 锁定目标,正向学习 周期整理,合理保存 积极共享,树立品牌 大…

字符串匹配的KPM算法

转至&#xff1a;http://www.ruanyifeng.com/blog/2013/05/Knuth–Morris–Pratt_algorithm.html 字符串匹配是计算机的基本任务之一。 举例来说&#xff0c;有一个字符串"BBC ABCDAB ABCDABCDABDE"&#xff0c;我想知道&#xff0c;里面是否包含另一个字符串"…

学习报告:kmp

我们应该都知道一个这样子的题目&#xff0c; 输入两个字符串&#xff0c;求一个字符串在另一个字符串出现的次数&#xff0c;我们可以使用两个for循环来解决这个事&#xff0c;可是这个方法的时间要太久了&#xff0c;所以就需要我们kmp&#xff0c;我们先来介绍一个表 这个表…

图解+原理推导完全读懂KPM算法

文章目录 串定长顺序存储方式串的模式匹配BF算法KMP算法KMP算法原理KMP算法实现求模式串T的next值算法 时间复杂度分析BF算法分析KMP算法分析KMP算法与BF算法比较 串定长顺序存储方式 我们显式地在串的索引为0处存储串长。 #define MAXSTRLEN 255 // 用户可在255以内定义最…

英文打字速度180kpm

刚测了一下打字&#xff1b; 基本在180kpm左右&#xff1b; 作为程序员应该足够用了&#xff1b; 我看了一下kpm的意思&#xff1b; 请问英文的打字速度的KPM要多少才是一般录入员的速度呢?我177KPM是高还是低呀??? - ...... 一分钟要打60个字以上,大约要打420kpm,你的17…

4. 串的【朴素模式匹配算法】、【KPM算法:求next数组、nextval数组】

串的模式匹配:在主串中,找到与模式串相同的子串,并返回其所在位置。 其实就是给出一个串abc,找到abc在主串的位置【abc都要匹配】 模式串:给出一个串abc 子串:主串中的abc【可能没有】 文章目录 1. 串的朴素模式匹配算法1.1 方法一:用k记录位置1.2 方法二:不用k2. KPM算…

KPM算法详解(Next数组)

由LeetCode_28引发的思考 最开始用了剪枝思想的朴素解法虽然做出来了&#xff0c;在看答案的时候发现了有一种叫KMP的算法专门就是解决快速查找匹配串问题的&#xff0c;进行了深入的学习。 下面的图源自宫水三叶的解答 我们有两个字符串&#xff0c;在原串中寻找是否有匹配串。…

【C#】KPM算法解决字符串匹配问题

KPM算法解决字符串匹配问题 什么是KPM算法步骤Ⅰ根据《最大长度表》部分匹配表&#xff08;next&#xff09;寻找最长前缀后缀 Ⅱ 根据 部分匹配表 进行匹配 代码实现 什么是KPM算法 Knuth-Morris-Pratt 字符串查找算法&#xff0c;简称为 “KMP算法”&#xff0c;常用于在一个…

串的匹配 (KPM算法由来引导)

前言: 引入 KPM 算法的前提是 , B-F算法中,匹配失败后不必完全从头再来 , 找到可以利用的信息 , 可以进行跳跃性匹配 下面 , 我们对字符串匹配的一些思路进行剖析: 开始匹配的操作 ,我们会让 目标串 s , 和 模式串进行对齐,就像如图所示: 我们当然是从串 t 的头结点开始对比 对…

KPM匹配算法

KPM匹配算法 不管在工作中还是学习中经常会遇到串的模式匹配&#xff0c;一般来说&#xff0c;串的模式匹配算法主要是两种【朴素模式匹配和KPM模式匹配】一种改良【KPM的改良】&#xff0c;下面先看一下朴素模式匹配&#xff1a;朴素模式匹配主要思想比较简单也比较粗暴&…

KPM算法

算法 字符串匹配之朴素算法和KMP算法及JAVA代码实现 2017年06月02日 10:31:12 阅读数&#xff1a;941 暴力匹配算法 假设现在我们面临这样一个问题&#xff1a;有一个文本串S&#xff0c;和一个模式串P&#xff0c;现在要查找P在S中的位置&#xff0c;怎么查找呢&#xff1…

Python KPM算法

知识点说明&#xff1a; 先说前缀&#xff0c;和后缀吧 比如有一个串&#xff1a;abab 则在下标为3处的&#xff08;前缀和后缀都要比下标出的长度小1&#xff0c;此处下标为3出的长度是4&#xff09; 前缀为&#xff1a;a,ab,aba 后缀为&#xff1a;b,ba,bab 一、要获取…