【笔记】概统论与数理统计第五章知识点总结

article/2025/10/9 7:33:21

5.1 正态分布及其密度函数和分布函数

正态分布是自然界中最常见的分布,很多特征都服从正态分布,背后的原理是中心极限定理

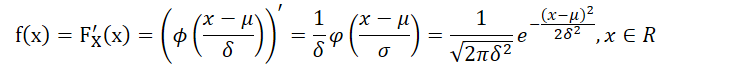
1. 标准正态分布X~N(0, 1)

  • 随机变量X的概率密度函数φ(x)
  • 随机变量x的分布函数𝝓(𝒙)
    • 性质(偶函数)

      • \phi(0)=\frac{1}{2}
      • \phi(x)=1- \phi(x)

2. 一般正态分布𝐗~𝐍(𝝁, \sigma^2)

  • Z = \frac{X-\mu}{\sigma} ~ N(0, 1)
  • X的分布函数

  • 正态分布的密度函数

    • 关于 x = µ 对称

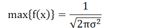
    • 曲线顶点为
    • 曲线以 x 轴为渐进线, 且在 x = µ ± σ 处有拐点
    • µ:位置参数,σ 不变,µ 改变,则曲线形态不变,整体平移
    • σ:刻度参数:µ 不变,σ 改变,曲线形态改变, \sigma^2越小, 曲线越高瘦。

5.2 正态分布的数字特征与线性性质

  • 正态分布的数字特征: 设随机变量 X ∼ N(µ, \sigma^2), 则 E(X) = µ, D(X) = \sigma^2
  • 正态分布的线性性质:设 X ∼ N(µ, \sigma^2), 当 b = 0 时, 有 Y = a + bX ∼ N(a + bµ, b^2\sigma^2).
  • 正态分布的可加性(可推广)

5.3 二维正态分布

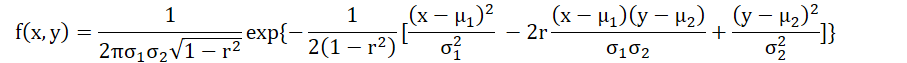
  • 二维正态分布(X, Y) N(\mu_1, \mu_2; \sigma_1^2, \sigma_2^2; r)
  • 二维密度函数

    • |r| < 1,r=R(X, Y) 是X,Y的相关系数
  • 二维正态分布的边缘分布

  • 二维正态分布的独立性:设 (X, Y) ∼N(\mu_1, \mu_2; \sigma_1^2, \sigma_2^2; r),则 X 与 Y 相互独立的充要条件为相关系数 r = 0

  • 二维正态分布的条件分布仍然是正态分布:X1 和 X2 独立, 并且都服从一维的标准正态分布

  • 二维标准正态分布:N(0, 0; 1, 1; 0)

  • 正态分布的判别方法:二维随机变量 (X, Y) 服从二维正态分布的充要条件是 X 和 Y 的任意非零线性组合 Z = aX + bY 服从一维正态分布, 即 Z ∼ N(E(Z), D(Z))

  • 正态分布的线性性质:假设 (X, Y) 是二维正态分布的随机变量,那么,设 U = aX + bY, V = cX + dY。则(U, V) 也服从二维正态分布


http://chatgpt.dhexx.cn/article/WXZKZFlK.shtml

相关文章

【概率论】5-10:二维正态分布(The Bivariate Normal Distributions)

title: 【概率论】5-10:二维正态分布(The Bivariate Normal Distributions) categories: - Mathematic - Probability keywords: - The Bivariate Normal Distributions toc: true date: 2018-04-05 22:03:55 Abstract: 本文介绍第一个多变量连续分布——双变量正态分布(本篇内…

连续型概率分布——正态分布(二维)

1. 定义&#xff1a;设二维连续型随机变量&#xff08;X&#xff0c;Y)的联合概率密度为 其中μ1&#xff0c;μ2&#xff0c;σ1&#xff0c;σ2&#xff0c;ρ均为常数&#xff0c;且σ1>0, σ2>0, |ρ|<1则称&#xff08;X&#xff0c;Y&#xff09;服从参数为μ1&…

【考研数学】三. 微分方程

文章目录 三. 微分方程1. 概念理解2. 求一阶微分方程的通解的方法2.1 可分离变量法2.2 换元法2.3 公式法&#xff08;线性&#xff09;2.4 变量替换&#xff08;非线性&#xff09; 3. 二阶微分方程的通解3.1 二阶常系数齐次微分方程的通解3.2 二阶常系数非齐次微分方程的通解3…

PKM是什么意思?

原创不易,麻烦点个关注,点个赞,谢谢各位。 PKM是什么意思? 这三个字母代表着:Personal Knowledge Management,个人知识管理系统。简单地说,就是构建一个系统,把你重要的信息都放在里面管理起来。 PKM? 锁定目标,正向学习 周期整理,合理保存 积极共享,树立品牌 大…

字符串匹配的KPM算法

转至&#xff1a;http://www.ruanyifeng.com/blog/2013/05/Knuth–Morris–Pratt_algorithm.html 字符串匹配是计算机的基本任务之一。 举例来说&#xff0c;有一个字符串"BBC ABCDAB ABCDABCDABDE"&#xff0c;我想知道&#xff0c;里面是否包含另一个字符串"…

学习报告:kmp

我们应该都知道一个这样子的题目&#xff0c; 输入两个字符串&#xff0c;求一个字符串在另一个字符串出现的次数&#xff0c;我们可以使用两个for循环来解决这个事&#xff0c;可是这个方法的时间要太久了&#xff0c;所以就需要我们kmp&#xff0c;我们先来介绍一个表 这个表…

图解+原理推导完全读懂KPM算法

文章目录 串定长顺序存储方式串的模式匹配BF算法KMP算法KMP算法原理KMP算法实现求模式串T的next值算法 时间复杂度分析BF算法分析KMP算法分析KMP算法与BF算法比较 串定长顺序存储方式 我们显式地在串的索引为0处存储串长。 #define MAXSTRLEN 255 // 用户可在255以内定义最…

英文打字速度180kpm

刚测了一下打字&#xff1b; 基本在180kpm左右&#xff1b; 作为程序员应该足够用了&#xff1b; 我看了一下kpm的意思&#xff1b; 请问英文的打字速度的KPM要多少才是一般录入员的速度呢?我177KPM是高还是低呀??? - ...... 一分钟要打60个字以上,大约要打420kpm,你的17…

4. 串的【朴素模式匹配算法】、【KPM算法:求next数组、nextval数组】

串的模式匹配:在主串中,找到与模式串相同的子串,并返回其所在位置。 其实就是给出一个串abc,找到abc在主串的位置【abc都要匹配】 模式串:给出一个串abc 子串:主串中的abc【可能没有】 文章目录 1. 串的朴素模式匹配算法1.1 方法一:用k记录位置1.2 方法二:不用k2. KPM算…

KPM算法详解(Next数组)

由LeetCode_28引发的思考 最开始用了剪枝思想的朴素解法虽然做出来了&#xff0c;在看答案的时候发现了有一种叫KMP的算法专门就是解决快速查找匹配串问题的&#xff0c;进行了深入的学习。 下面的图源自宫水三叶的解答 我们有两个字符串&#xff0c;在原串中寻找是否有匹配串。…

【C#】KPM算法解决字符串匹配问题

KPM算法解决字符串匹配问题 什么是KPM算法步骤Ⅰ根据《最大长度表》部分匹配表&#xff08;next&#xff09;寻找最长前缀后缀 Ⅱ 根据 部分匹配表 进行匹配 代码实现 什么是KPM算法 Knuth-Morris-Pratt 字符串查找算法&#xff0c;简称为 “KMP算法”&#xff0c;常用于在一个…

串的匹配 (KPM算法由来引导)

前言: 引入 KPM 算法的前提是 , B-F算法中,匹配失败后不必完全从头再来 , 找到可以利用的信息 , 可以进行跳跃性匹配 下面 , 我们对字符串匹配的一些思路进行剖析: 开始匹配的操作 ,我们会让 目标串 s , 和 模式串进行对齐,就像如图所示: 我们当然是从串 t 的头结点开始对比 对…

KPM匹配算法

KPM匹配算法 不管在工作中还是学习中经常会遇到串的模式匹配&#xff0c;一般来说&#xff0c;串的模式匹配算法主要是两种【朴素模式匹配和KPM模式匹配】一种改良【KPM的改良】&#xff0c;下面先看一下朴素模式匹配&#xff1a;朴素模式匹配主要思想比较简单也比较粗暴&…

KPM算法

算法 字符串匹配之朴素算法和KMP算法及JAVA代码实现 2017年06月02日 10:31:12 阅读数&#xff1a;941 暴力匹配算法 假设现在我们面临这样一个问题&#xff1a;有一个文本串S&#xff0c;和一个模式串P&#xff0c;现在要查找P在S中的位置&#xff0c;怎么查找呢&#xff1…

Python KPM算法

知识点说明&#xff1a; 先说前缀&#xff0c;和后缀吧 比如有一个串&#xff1a;abab 则在下标为3处的&#xff08;前缀和后缀都要比下标出的长度小1&#xff0c;此处下标为3出的长度是4&#xff09; 前缀为&#xff1a;a,ab,aba 后缀为&#xff1a;b,ba,bab 一、要获取…

KPM算法——数据结构|复习局|串|复杂模式匹配算法|二维数组解决KPM

数据结构复习局——KPM算法 何为KPM&#xff1f;事先规则状态匹配dp——状态转移图状态X获得dp数组值看看图再理解下 写在前面&#xff1a; 本文仅为作者个人学习记录&#xff0c;详细具体内容参考自知乎大佬labuladong &#x1f448;点击与大佬&#x1f93a;击剑&#x1f93a;…

KMP算法原理及实例

KMP是为了解决串的匹配问题。 一、基础知识 1、概念 1.串的匹配问题&#xff1a;就是在一个长的主串s中找到另一个的短的子串t。 2.目标串&#xff08;主串\文本串&#xff09;&#xff1a;被匹配的母串&#xff0c;串s被称为目标串。 3.模式串(子串&#xff09;&#xff1a…

KPM算法思想及实现

一、比较暴力算法和KMP算法 1、暴力算法&#xff1a; 双指针遍历主串和子串&#xff0c;当发现主串和子串不匹配时&#xff0c;双指针同时回溯 2、KMP算法&#xff1a; 双指针遍历主串和子串&#xff0c;当发现主串和子串不匹配时&#xff0c;通过比较子串的next数组只回溯…

正定矩阵的性质

正定矩阵的定义&#xff1a;若矩阵A是n阶方阵&#xff0c;并且它的二次型大于0&#xff0c;即&#xff0c;则矩阵A是正定矩阵。 正定矩阵的性质&#xff1a; 正定矩阵的所有特征值都为正数。正定矩阵行列式为正数两个正定矩阵的和为正定矩阵&#xff08;两个正定矩阵的乘积不…

顺序主子式

设A为 阶矩阵&#xff0c;子式 称为A的i阶顺序主子式。 [1] 对于 阶的矩阵A&#xff0c;其共有n阶顺序主子式&#xff0c;即矩阵A的顺序主子式由 共n个行列式按顺序排列而成。