方阵的行列式determinant
eigen values特征值
Determinants det A=|A|
这三个性质定义了行列式:
1. det I=1
2. exchange rows:reverse sign of det
置换矩阵 det P=1 even
= -1 odd
3.
matlab求行列式: pivot formula主元公式
矩阵可逆, 行列式≠0
如果矩阵可逆,化简后各列都含有主元、
应用:box in 3D,体积是2^3=8倍
行和列性质一致
L和U都是对角阵,再转都不受影响
任何一种置换都可区分奇偶,
引入下节课的逆序数
行列式的求解公式
survivor:各行各列均有元素、
教授只是在用行列式的三个基本性质推出其计算方式,但是没有说基本性质怎么来的
在数学上,特别是在矩阵理论中,置换矩阵是一个方形二进制矩阵,它在每行和每列中只有一个1,而在其他地方则为0。
n x n det:
逆序数适合计算机
代数余子式cofactors
代数余子式的概念是从大公式提炼出来的,
代数余子式的作用是把n阶行列式,化简为n-1阶行列式
co是表示一起的前缀,factor是因子,这里指a11,cofactor就指括号里的东西
e.g.三对角线矩阵
1,0,-1,-1,0,1 ,.... 行列式的值以6为周期 循环
行列式应用一:formula for 
通过高斯消元法得到的
.要引入伴随矩阵 根据行列式的性质可以得出
A逆= 1/|A|* A的伴随矩阵
代数余子式组成的矩阵 C(cofactor matrix)
伴随矩阵
有两行变一样的了
A screwed up
这个解释不是特别直观,第1列的a如果乘以第二列的b的代数余子式,则会构成a同列取了两个元素,这会导致行操作消元得到det余子式的det为0
相当于求一个有两个行相同的矩阵的行列式,比如把最后一行替换成第一行这么一个矩阵
写一个3*3的就明白了,当其中两行一样的时候,分别根据这两行进行分解出代数余子式,两个式子是一样的,也就是说如果错误分解,根据错误分解的式子写原行列式就是相当于是一个两行相同的行列式
行列式应用二:克莱姆法则
cramers rule for
不可逆要么是求解空间,要么就是求最优解
这个公式解必须和消元法得到的解一样
余子式*什么东西,就是把什么都。东西放到对应位置
为什么是列不是行?因为转置
由于解由行列式定义,所以只能表示有唯一解的nxn方程组,即系数矩阵为满秩方阵
克莱默法则计算量比高斯消元大了很多
行列式应用三:|det A|=volume of box
三维里是列向量构成的平行多面体的体积
箱子通过行向量还是列向量定义都无所谓,因为行列式转置、他的值不会改变
在这个旋转变换中没有被旋转的向量称为特征向量
矩阵和转置矩阵的行列式一样
向量外积
在三维几何中,向量a和向量b的外积结果称为法向量,该向量垂直于a和b向量构成的平面。在3D图像学中,外积的概念非常有用,可以通过两个向量的外积,生成第三个垂直于a,b的法向量,从而构建X、Y、Z坐标系。
在二维空间中,外积还有另外一个几何意义:|a×b|在数值上等于由向量a和向量b构成的平行四边形的面积。
知道两边及夹角用向量积,知道三边用海伦,知道坐标就用这个
这个行列式相当于求一个Box的体积, 体积等于底面积*高。而高等于一,底面积为三角形的两倍
其实把一个坐标设为(0, 0)求面积和求一个三棱柱的体积效果是一样的,但是因为没有括号存在,求体积要更简单。
1那一列是凑出来的,当成高为1的平行六面体的一半体积来算。三棱柱,六面体的一半,有5个面
是把二维的面积转化为三维的体积,面积与体积的数值一致。从三角形变成高为一的立体图形
升维,机器学习的向量机里划分超平面经常需要
要扩充为方阵,相当于三角形在高为1的平面内。只有方阵才有行列式
特征值和特征向量
eigenvector特征向量
eigenvalue特征值 λ
矩阵作用在向量上,矩阵A的作用就像,输入向量x,结果得到向量Ax,就像一个函数
微积分的函数,作用在数字x上,得到f(x)
在线性代数中,我们扩展到多维上,作用在向量x上,得到向量Ax
这些向量中我感兴趣的是那些,变换前后方向一致的向量、这些是比较特殊的,多数向量而言,Ax是不同方向的。有特定的向量能使得Ax平行于x,这些就是特征向量
(A如果不是方阵,得到的向量与原来的向量不同维)
λ=0时,特征向量是多少?零空间的向量Ax=0
if A是奇异矩阵,then λ=0 是特征值。(奇异矩阵means 把他作用到向量x后得到0,即 可以把某个非零向量转化为0 )
Ax=0有非零解说明矩阵奇异,故0是奇异矩阵一个非零特征向量的特征值
问题:怎么求向量x和所有λ值
注意,we don't have an equation like Ax =B , 不能用消元法
这里 两个未知数 λ和x ,他们相乘作为一项
e.g. 投影矩阵P的特征向量和特种值
投影空间列空间内的向量
e.g.置换矩阵A,
用来交换x1和x2顺序,
交换后的向量(x1,x2)怎么才能是初始向量(x1,x2)和一个因子的乘积
λ= 1,交换以后不发生改变
λ= -1,得到初始向量的相反向量
特征值的性质:
n x n矩阵有n个特征值(maybe not n different ones,重复出现的λ 是这门课的难点根源)
特征值的和 = 对角线元素和 这个 和 叫做 trace迹
特征方程characteristic equation or 特征值方程eigenvalue equation
矩阵越特殊,得到的特征值也越特殊
e.g. 对称矩阵,λ是实数,两个特征向量垂直,
方程中的6代表:trace
方程中的8代表:det A。 特征值之积=行列式
如果对矩阵做变动(本例中+ ),特征向量和特征值怎么改变(反映出矩阵的重要信息)
特征值+3,特征向量没变
注意:
FLASE, 因为没理由相信 x 也是B的特征向量
特征值不满足线性关系 或乘积关系,因为特征向量一般不同,
如果B是单位矩阵的倍数,ok
复特征值(Complex eigenvalues)
e.g. 旋转矩阵,用Q表示,因为他是 正交矩阵orthogonal matrices 中的重要例子
这个矩阵将每个向量旋转90°,这样一想,那这货是不是可怜的没有特征值和特征向量了呀!因为每个进去的向量都被旋转方向了,惨啊!
特征向量需要和作用前的向量 同方向。哪些向量旋转后和他自己平行?in trouble
韦达定理
反对称矩阵特征值全为虚数(反对称矩阵:关于对角线对称元素 符号正好相反)
i 的意义就是逆时针旋转90
旋转矩阵,等效于乘i,
i ,-i 一对 共轭复数(虚部± )
共轭 they're complex conjugates of each other
三角矩阵和重复的特征值(Triangular matrices and repeated eigenvalues)
对于三角矩阵: 他们的特征值就是对角线上的元素:
注意这个矩阵的两个特征值一样,并且特征向量线性相关。
退化矩阵degenerate matrix
特征向量的短缺
将矩阵对角化
一个非奇异矩阵是可以通过特征值和特征向量进行对角分解的。
将矩阵A的特征向量按列组成矩阵S ,特征向量矩阵
前提:n个线性无关特征向量,
消元法中LU矩阵
格拉姆-施密特正交化中QR矩阵
矩阵对角化公式
A的N次幂
如何理解矩阵的平方呢?比如 ?
if Ax=λx
then:
推广到N次幂: ,
特征向量相同,因为 the same x as for A
eigenvalue 和eigenvectors 提供了 理解矩阵幂的好方法
什么条件下。矩阵的幂趋向于0、i would call that matrix stable
哪些矩阵可对角化:
A is sure to have n indep evectors
(and be diagonaligable)
if all the λ’s are different
(no repeated λ's)
matlab 指令: eig(rand(10,10)) 可以求得10个不同的eigenvalue
重复的特征值(Repeated eigenvalues)
may or may not have n indep evectors
e.g.1,单位阵: 他的所有特征值都为1,但是每个特征向量显然不同。
每一组向量都是单位阵的特征向量组
因此,如果矩阵本来就是对角矩阵,then 和矩阵A相同,对角矩阵的特征值就摆在你眼前
e.g.2 A是三角矩阵: ,他拥有两个相同的特征值2. 特象向量为 A−λI=
的零空间,
零空间仅仅是一维的、没有足够特征向量
My algebraic multiplicity is 2. 计量特征值重复次数时,用代数重度.。这个重数,就是它作为多项式根的次数。多项式是:,二重根,所以代数重度为2
但 几何重度geometric multiplicity,对于特征向量来说,就是这个矩阵的零空间,唯一的特征向量是: ,
所以A的两个特征向量线性相关,~ 不能对角化
差分方程(
) difference equation
矩阵可对角化 例子,解方程:
状态转移方程
一阶差分方程组(叫做system,因为有: vectors 和 matrix A)
先把 写成特征向量的线性组合:
这里的特征向量是矩阵A的
特征向量全部线性无关,所以n个n维特征向量可以表示任何一个n维向量
multiplication by A 相当于 以某个数值乘以特征向量
就是A^2x=λAx=λ^2x和u=Sc的应用,A^n 后,A的特征值也会变λ^n
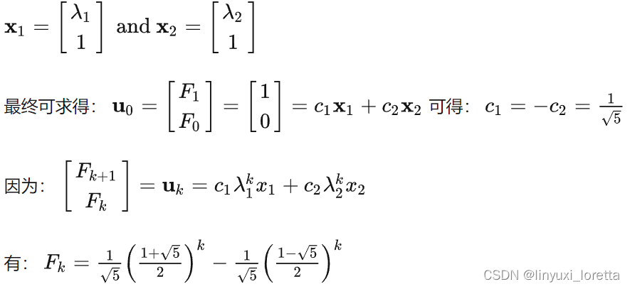
斐波那契数列(Fibonacci sequence)
Fibonacci sequence 是一个数列:0,1,1,2,3,5,8,13.. 有:
数列增长的速度有多快?由特征值决定
问题:目前只有一个代数方程,而不是方程组;二阶
trick:用2x2的方程组,代替原来的二阶差分方程
把二阶标量方程转化为了一阶向量方程组
对称阵特征向量为实数,且 正交,
来自不同特征值的特征向量正交,因为一个没有旋转的线性变换只能在正交的方向上保持稳定
实对称矩阵一定可以被正交矩阵对角化,
特征向量:
前项决定了趋势; 因为 k-->无穷 , (-0.618)^k ---> 0
解题思路:
对于动态增长的一阶方程组,从 开始,关键在于 确定A的特征值及特征向量
特征值决定增长的趋势,发散至无穷还是收敛于0,全由他决定
then 需要找到一个展开式、把 展开成a combination of eigenvectors(互相独立)
接着套公式
微分方程
这节需要明白,e^x的导数是本身。因此才能转化为线性代数问题
常系数线性方程 的解是指数形式的
找指数是多少,以及他的系数--- 用线代
这和矩阵的乘幂完全类似
我们先来研究一个随时间变化的系统,
给个初始条件:设 u1=1,u2=0
先研究下A的特征值和特征向量:
因为A为奇异矩阵,所以 λ1=0 ,由通过矩阵特征值之和为矩阵的迹,所以有 λ2=−3 。这个矩阵微分方程的解会有: e^(−3t) 和 e^(0t)=1 。随着时间的流逝 e^(−3t) 最终会---> 0,而 e^(0t)=1 则会永远保持不变为1。得出小结论:特征值为0的特征向量就是最终的稳态解
微分算子的特征函数
通解:
纯指数形式是上次讲的纯幂形式在微分方程中的类似体
差分方程:前进有限步,一次一步的方程,得到幂形式power
exponential指数形式
稳定性 (看特征值)
1.stability 系统趋向于: u(t)→0 当 Re(λ)<0
指数形式的绝对值(模)
| e^(6it) | =1 | cos(6t)+ i sin(6t) |^2 =cos^2+sin^2=1
复数次幂上实部算长度虚部算辐角
复数在单位圆上转悠,管事的只有实数部分 ,实部会导致最终结果趋于0还是无穷。虚部就像一些小杂音
2. steady state 趋向于稳态: 一个特征值为0,其他特征值都<0
3. Blow up if any Re λ>0
稳定性for 2x2 矩阵:
只满足 a+d= λ1+λ2<0 不够,反例:
确定系数
、
回顾一下上一题的最后一步,我们通过初试值求得常数项:
系数根据初始条件确定,不随时间变换
So that's a system of 2 equations in 2 unknowns coupled,
u1,u2互相耦合
eigenvalue和eigenvectors 的作用是解耦(又称对角化)
now,can i think in S 和 Λ 的形式?
关键在于:以eigenvectors为基,将u表示成Sv,得到关于v的对角化方程组
这是各未知数之间没有联系的方程组,easy to solve
这里的v0指的是t=0时向量C的值,,是一个向量而不是常数
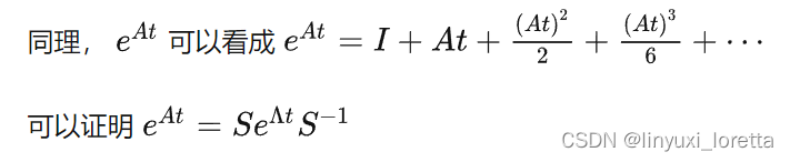
矩阵指数:e的指数是一个矩阵
就是原方程的解u(t),
定义:
二阶微分方程的求解方法
1 2nd order equ.---> 2x2 1st order
现控里的状态方程
5阶微分方程、---> 5x5矩阵,原方程的系数出现在矩阵的第一行,其余四行各含有一个1,表示其余方程。 so the eigenvalues will come out in a natural way connected to the differential equ.
递推数列和微分方程的特征方程法就是这么来的
线性代数,只能对付线性的,也就是常微分方程组
这种骚操作同样可以推广到n阶微分方程,对于k阶微分方程,我们需要k x k状态矩阵来描述。
应用1. 马尔科夫矩阵,
what ?满足两条性质
1. 每个元素≥0
马尔科夫矩阵 和概率 思想有关联,概率值是非负的
2.all cloumns add to 1
马尔科夫矩阵的幂 还是马尔科夫矩阵
steady state:
微分方程的稳态:eigenvalue λ=0,实部都小于零
矩阵幂的稳态:和λ=1,及其eigenvector关联在一起,
这个矩阵存在一个λ=1,因为每列相加=1的性质,
要点:稳态时,λ的值:
u0扩展成特征向量,通式
eigenvector x1≥ 0 ----> steady state >0, if 初始值为正
why λ=1? 这个矩阵存在一个λ=1,因为每列相加=1的性质,
A-1I singular == 1是特征值 == 行列式=0
存在非零行向量使得A的行向量线性组合为0
A'X=0有非0解【1,1,1】,detA'=detA=0
在A的零空间中的向量一定是特征向量,
三列线性相关、三列的某个线性组合为零向量,组合的分量得到特征向量,且那就是稳态
小备注:矩阵A 和 A转置的特征值相等
特征向量
应用:
2x2---> 2个州,人口问题
矩阵A表示,一年后发生了人口的迁移
4个元素,表示总人口的一部分,正的(因为考察的是概率),加起来=1(留下还是迁移,)
在t=k+1时的人数
注意:矩阵A一直保持不变,每次变动的概率一样
在k时刻,0.9的人留在加州,0.1的人从加州(California)搬到麻省(Massachusetts)
第一列从加州,第一行到加州,第二行到麻省
稳态是?几百年后怎么变化,
先看初始状态,第0时刻:
也就是说一开始人都在麻省,后面开始慢慢流入加州。
加州在美国西部,在横断山脉的左侧,中间是内华达沙漠,早期殖民美洲时所有人口都在东海岸,是在淘金热之后才逐渐移民到西部去的
k步以后人数怎么变化:需要计算特征值和特征向量
λ1=1,特征向量x1=【2,1】 ,注意 都是正的,
无限步之后:
稳态由 特征向量x1给出,是这个向量的倍数。c倍数如何确定?加起来是1000
k步:
c1=1000/3 c2= 2000/3
这里注意一下,再其他的教科书或者教程中,并不是列之和为1而是行之和为1. 所以所有的操作都要进行转置。
应用2. 傅里叶级数
是投影矩阵的应用
傅里叶级数和投影(Fourier series and projections)
把函数看做向量,而且是正交向量,我们有:
无穷维,但关键性质还是正交。
向量v 正交向量q1,q2,q3
函数f(x) 正交函数 the constant,cosx,sinx,cos2x,...(infinitely因为空间无限维)
傅里叶级数成立的原因是他们是正交的
sin和cos 就像正交向量一样,他们是正交函数基。why正交?像向量一样他们一样用内积来定义正交(还记得向量是如何定义正交的么? 内积为0.)
其实是一样的,每点对应一个维度,每点的函数值给出向量在对应维度投影的长度,函数内积就是向量内积。
向量有n个元素,而函数是连续的
在每个x值上,f(x)*g(x)
对于连续的情况 ,加法--->积分(累加和的极限)
复习Part2
1. 正交性、
(1)标准正交矩阵或者直接叫正交矩阵: Q 每列都是由互相垂直且长度为1的列向量组成:
Q=[q1…qn]⇒
(2)投影矩阵,最小二乘法解决 Ax=b 问题。当等式本来无解时,我们找到最优解
(3)通过Gram-Schmidt 正交化来正交化一个矩阵。
2.行列式
性质1、2、3定义了行列式,---->4-10
Big formula(n! terms,±)
代数余子式cofactor formula/ 公式
3. eigenvalue & eigvectors
特征值: Ax=λx ,
det(A−λI)=0 ,求特征向量的方程
对角化相关知识,如果A 拥有n个线性无关的eigvectors, 则 ,
可用来算矩阵的幂:
题1 . 设有
- a) 找出投影矩阵P。 将一个向量投影到a上
- b) P的rank是?
显然rank(P) 为1(把所有向量投影到1条线上了嘛)
- c) P的列空间是?
C(A) 就是a
- d) P的特征值是?
因为rank(A)=1 所以 有两个相同的为0的eigvalue,又根据trace,所以 第三个eigvalue为1
零空间中的向量一定是特征向量,特征向量不一定在零空间中
n X n矩阵有n个特征值,这个奇异矩阵有两行(列)均可化为000 所以特征值为1,0,0
- e) 找出P的特征值 = 1对应的特征向量
你可以根据公式算一把,也可以用我的猪脑子想一想,特征值为1,也就是说那个向量不会动,肯定就是在这条线上的那个向量,所以特征值=1对应的特征向量就是a
因为若我将投影矩阵用到a上,还是会得到a
- f)
题3. 找到一组在这个平面里的正交向量, 使用Gram-Shmidt 方法,
题4.
Ax = λ x => x = λ A^{-1} x => (1/λ )x =A^{-1}x
Ax = λ x => (A + I)x = λ x + x = (λ + 1)x
题5.
作为方程组来解
方法:把递归式表示为向量方程
还记得如何处理二阶微分方程?通过引入向量、原方程变成一阶向量方程
求矩阵的特征值,
|λ|的大小是判断稳定性的关键
实部^2+虚部^2=1, 位于单位圆上的复数 e^(iθ),即cosθ+isinθ,--->60°、 θ=π/3
特征值λ1、λ2 的6次方=1,---> 矩阵A 的6次方的特征值为1、1,单位阵
题6 考虑下列一组对称矩阵
- a) 找到投影矩阵P使一个向量投影到 A3 上
可以发现 A3 为奇异矩阵,不可逆。投影也是3x3矩阵、不过投影到A3列空间,在平面上,
套公式
- b) A3 的特征值和特征向量是?
- c) 找到投影矩阵P使一个向量投影到 A4
对称、可逆
这题难道让你套公式算 A4 嘛? 那会很累的,转念一想,如果A4 可逆,矩阵的列空间就是R4列空间本身,整个四维空间。 则P=I(可逆矩阵的投影矩阵都是I).
可逆?求行列式。事实上满足非0的行列式项仅有1,1,3,3,所以行列式非0
代数余子书展开: , det不为0 ,所以。。。答案就是I
奇数号矩阵都是奇异的、偶数号矩阵都是可逆的