拉格朗日乘数法及python实现拉格朗日乘数法

article/2025/10/3 8:50:29

拉格朗日乘数法(Lagrange Multiplier Method)基本思想
作为一种优化算法,拉格朗日乘子法主要用于解决约束优化问题,它的基本思想就是通过引入拉格朗日乘子来将含有n个变量和k个约束条件的约束优化问题转化为含有(n+k)个变量的无约束优化问题。拉格朗日乘子背后的数学意义是其为约束方程梯度线性组合中每个向量的系数。
如何将一个含有n个变量和k个约束条件的约束优化问题转化为含有(n+k)个变量的无约束优化问题?拉格朗日乘数法从数学意义入手,通过引入拉格朗日乘子建立极值条件,对n个变量分别求偏导对应了n个方程,然后加上k个约束条件(对应k个拉格朗日乘子)一起构成包含了(n+k)变量的(n+k)个方程的方程组问题,这样就能根据求方程组的方法对其进行求解。

维基百科:最优化解
在这里插入图片描述
绿线标出的是约束g(x,y)=c的点的轨迹。蓝线是f(x,y)的等高线。箭头表示斜率,和等高线的法线平行。
从梯度的方向上来看,显然有d1>d2。绿色的线是约束,也就是说,只要正好在这条绿线上的点才可能是满足要求的点。如果没有这条约束,f(x,y)的最小值应该会落在最小那圈等高线内部的某一点上。加上了约束之后,最小值点显然应该是在f(x,y)的等高线正好和约束线相切的位置,因为如果只是相交意味着肯定还存在其它的等高线在该条等高线的内部或者外部,使得新的等高线与目标函数的交点的值更大或者更小,只有到等高线与目标函数的曲线相切的时候,可能取得最优值。
如果我们对约束也求梯度∇g(x,y),则其梯度如图中绿色箭头所示。很容易看出来,要想让目标函数f(x,y)的等高线和约束相切,则他们切点的梯度一定在一条直线上(f和g的斜率平行)。
也即在最优化解的时候:∇f(x,y)=λ(∇g(x,y)-C) (其中∇为梯度算子; 即:f(x)的梯度 = λ* g(x)的梯度,λ是常数,可以是任何非0实数,表示左右两边同向。)
即:▽[f(x,y)+λ(g(x,y)−c)]=0λ≠0
那么拉格朗日函数: F(x,y)=f(x,y)+λ(g(x,y)−c) 在达到极值时与f(x,y)相等,因为F(x,y)达到极值时g(x,y)−c等于零。
min( F(x,λ) )取得极小值时其导数为0,即▽f(x)+▽∑ni=λihi(x)=0,也就是说f(x)和h(x)的梯度共线。
简言之,在F(x,λ)取得最优化解时,即F(x,λ)取极值(导数为0,▽[f(x,y)+λ(g(x,y)−c)]=0)时,f(x)与g(x) 梯度共线,此时就是在条件约束g(x)下,f(x)的最优化解。

例子

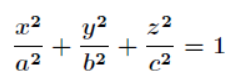
给定椭球,式子如下所示。求这个椭球的内接长方体的最大体积。
在这里插入图片描述
这个问题实际上就是条件极值问题,即在题目条件 下,求解 f(x,y,z)=8xyz的最大值。

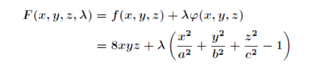
先根据条件消去 z,然后带入转化为无条件极值问题来处理。但是有时候这样做很困难,甚至是做不到的,这时候就需要用拉格朗日乘数法了。通过拉格朗日乘数法将问题转化为
在这里插入图片描述
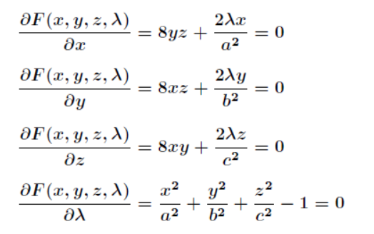
接着,要对**F(x,y,z,λ)**求偏导得到
在这里插入图片描述
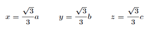
联立前三个方程得到:bx=ay、az=cx,带入第四个方程求解得到
在这里插入图片描述
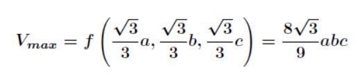
最后,带回原式求解得到最大值,如下所示。
在这里插入图片描述

Python求解

题目同刚刚所求解的例子。

from scipy.optimize import minimize
import numpy as np
e = 1e-10 # 非常接近0的值
fun = lambda x : 8 * (x[0] * x[1] * x[2]) # f(x,y,z) =8 *x*y*z
cons = ({'type': 'eq', 'fun': lambda x: x[0]**2+ x[1]**2+ x[2]**2 - 1}, # x^2 + y^2 + z^2=1{'type': 'ineq', 'fun': lambda x: x[0] - e}, # x>=e等价于 x > 0{'type': 'ineq', 'fun': lambda x: x[1] - e},{'type': 'ineq', 'fun': lambda x: x[2] - e})
x0 = np.array((1.0, 1.0, 1.0)) # 设置初始值
res = minimize(fun, x0, method='SLSQP', constraints=cons)
print('最大值:',res.fun)
print('最优解:',res.x)
print('迭代终止是否成功:', res.success)
print('迭代终止原因:', res.message)

运行结果如下:
在这里插入图片描述

参考教程:https://www.cnblogs.com/maybe2030/p/4946256.html


http://chatgpt.dhexx.cn/article/cvIrPXMo.shtml

相关文章

SVM(一):拉格朗日乘数法详解

目录 what直观理解法高数书上的解法 学习SVM的过程中遇到了这个拉格朗日乘数法,之前学高数的时候也学过,不过看到视频里的直观理解法和高数书上的解法有些不同,于是在这里把这两种方法记录下来,也当做是一次理解的过程。 what 先…

拉格朗日乘数法什么时候考虑端点?解得的点是什么?

问题提出 2013年的真题有一道题是用拉格朗日乘数法只能求出来一个点,当时很费解,因此查阅相关资料后,对这部分的知识做一个小总结。 无条件极值和条件极值 首先,在求无条件极值的时候,我们求的是曲面上的极值点。 例…

拉格朗日乘数法的原理,我用10幅图把它讲清楚

机器学习是一个目标函数优化问题,给定目标函数f,约束条件会有一般包括以下三类: 仅含等式约束仅含不等式约束等式和不等式约束混合型 当然还有一类没有任何约束条件的最优化问题 关于最优化问题,大都令人比较头疼,首先…

java 获取随机数方法,java生成随机数的三种方法

随机数有三种生成方式: 1、通过Math.random()方法 2、通过System.currentTimeMillis()方法获取毫秒数 3、通过Random类 第一种:常用方法Math.random()方法,是获取0-1之间的double类型的小数,在通过int类型墙砖即可 示例&#xff1…

Java生成随机数的方式

目录 Random基础使用优缺点分析 SecureRandom基础使用 总结:持续更新 Random Random 类诞生于 JDK 1.0,它产生的随机数是伪随机数,也就是有规则的随机数。Random 使用的随机算法为 linear congruential pseudorandom number generator (LGC)…

Java 生成随机数的 5 种方式,你知道几种?

点击上方“码农突围”,马上关注 这里是码农充电第一站,回复“666”,获取一份专属大礼包 真爱,请设置“星标”或点个“在看” 作者:专职跑龙套链接:https://www.jianshu.com/p/2f6acd169202 1. Math.random(…

java 生成随机数 (Random函数)

目录 一、Random是什么? 二、使用步骤 1.引入库 2.创建对象 3.生成随机数 4.完整代码 总结 一、Random是什么? 生成随机数函数 二、使用步骤 1.引入库 代码如下: import java.util.Random; 2.创建对象 代码如下: R…

Java中生成随机数的4种方式!

在 Java 中,生成随机数的场景有很多,所以本文我们就来盘点一下 4 种生成随机数的方式,以及它们之间的区别和每种生成方式所对应的场景。 1.Random Random 类诞生于 JDK 1.0,它产生的随机数是伪随机数,也就是有规则的…

谈论SQL注入攻击的重要性

"SQL注入”是一种利用未过滤/未审核用户输入的攻击方法(“缓存溢出”和这个不同),意思就是让应用运行本不应该运行的SQL代码。黑客或者恶搞的用户,利用了程序开发人员在开发的时候没有对SQL进行严格的处理而造成的漏洞&#…

【SQL注入攻击介绍】

目录 前言 本质和危害 分类 注入一般步骤 注入实战 前言 sql注入一直以来都稳居owasp-top10榜首,近年来更是爆出很多的数据库泄露攻击事件,如最近上海某公安存在数据库泄露事件。今天简单的分析以下sql注入的一些特性和方式: owasp-t…

SQL注入攻击与防护

目录 一、SQL注入攻击概述 1.1 SQL注入概念 1.1.1 标准查询过程 1.1.2 SQL注入定义 1.2 SQL注入根本原因 1.3 SQL注入条件 1.4 SQL注入防范 1.4.1 根本原因:过滤不严 1.4.2 安全设计原则:数据与代码分离 1.5 SQL注入流程 1.6 SQL注入分类 1.…

使用日志进行调查 - SQL 注入攻击示例

日志文件是服务器提供的非常有价值的信息。几乎所有服务器、服务和应用程序都提供某种日志记录。日志文件记录在服务或应用程序运行期间发生的事件和操作。 日志文件为我们提供了服务器行为的精确视图以及关键信息,例如何时、如何以及由谁访问服务器。此类信息可以…

Web—SQL注入攻击

文章目录 一、mysql常用语句二、SQL注入概念1. 产生原因2. 攻击分类 三、攻击流程1. 常用检测语句如何识别SQL注入2. Mysql注入常用函数3. 查询数据的核心语法4. 联合查询5. 报错注入6. 布尔盲注7. 时间盲注8. SQL注入爆库语句9. Sqlmap常用命令 四、常见防护手段及绕过方式1. …

DVWA SQL注入攻击

SQL注入原理 SQL注入就是通过SQL命令插入到web表单递交或输入域名页面请求的查询字符串,最终达到欺骗服务器执行恶意的SQL命令。具体来说,它是利用现有应用程序,将恶意的SQL命令注入到后台数据库引擎执行的能力,它可以通过在WEB表…

sql注入攻击实例mysql_SQL 注入攻击案例

一、检测注入点 二、判断是否存在 SQL 注入可能 三、数据库爆破 四、字段爆破 五、数据库表爆破 六、用户名、密码爆破 七、总结 一、检测注入点 首先,在 http://120.203.13.75:6815/?id=1 目标站点页面发现了 ?id,说明可以通过查询 id=1 的内容来获得页面。 这相当于查询语…

SQL注入攻击实战演示(附源码)

SQL注入是一种非常常见的数据库攻击手段,SQL注入漏洞也是网络世界中最普遍的漏洞之一。大家也许都听过某某学长通过攻击学校数据库修改自己成绩的事情,这些学长们一般用的就是SQL注入方法。 文章目录: 何谓SQL注入? SQL数据库操…

SQL注入攻击入门

目录 一、SQL注入的原理 SQL注入漏洞的条件 二、SQL注入的危害 三、SQL注入的分类 1、注入点数据类型分类 (1)数字型注入 (2)字符型注入 2、注入点位置分类 3、注入方法分类 (1)布尔型注入 &…

数学里上凹,下凹,上凸,下凸

https://zhidao.baidu.com/question/238541854.html 数学里上凹,下凹,上凸,下凸统称为曲线的凸知性,其是指在平面坐标系里的图形样式: 1、开口向上的曲线,称为上凹,或称为下凸,形状…

凸凹函数

凹凸函数的代数定义 若函数f(x)为凸函数,那么- f(x) 为凹函数。所以,清楚了凸函数,等价于清楚了凹函数 凸函数的定义 对于一元函数f(x),如果对于任意tϵ[0,1]均满足:f(tx1(1−t)x2)≤tf(x1)(1−t)f(x2),则称…