拉格朗日乘数法的原理,我用10幅图把它讲清楚

article/2025/10/3 8:55:08

机器学习是一个目标函数优化问题,给定目标函数f,约束条件会有一般包括以下三类:

  1. 仅含等式约束

  2. 仅含不等式约束

  3. 等式和不等式约束混合型

当然还有一类没有任何约束条件的最优化问题

关于最优化问题,大都令人比较头疼,首先大多教材讲解通篇都是公式,各种符号表达,各种梯度,叫人看的云里雾里。

有没有结合几何图形阐述以上问题的?很庆幸,还真有这么好的讲解材料,图文并茂,逻辑推导严谨,更容易叫我们理解拉格朗日乘数法KKT条件为什么就能求出极值。

1 仅含等式约束

假定目标函数是连续可导函数,问题定义如下:

然后,

通过以上方法求解此类问题,但是为什么它能求出极值呢

这是本篇文章写作目的,解释为什么这种方法就能求出极值。

2 找找 sense

大家时间都有限,只列出最核心的逻辑,找找sense, 如有兴趣可回去下载PPT仔细体会。

此解释中对此类问题的定义:

为了更好的阐述,给定一个具体例子,锁定:

所以,f(x)的一系列取值包括0,1,100,10000等任意实数:

但是,约束条件h(x)注定会约束f(x)不会等于100,不会等于10000...

一个可行点:

3 梯度下降

我们想要寻找一个移动x的规则,使得移动后f(x+delta_x)变小,当然必须满足约束h(x+delta_x)=0

使得f(x)减小最快的方向就是它的梯度反方向,即


因此,要想f(x+delta_x) 变小,通过图形可以看出,只要保持和梯度反方向夹角小于90,也就是保持大概一个方向,f(x+delta_x)就会变小,转化为公式就是:

如下所示的一个delta_x就是一个会使得f(x)减小的方向,但是这种移动将会破坏等式约束: h(x)=0,关于准确的移动方向下面第四小节会讲到

4 约束面的法向

约束面的外法向:

约束面的内法向:

绿圈表示法向的正交方向

x沿着绿圈内的方向移动,将会使得f(x)减小,同时满足等式约束h(x) = 0

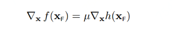
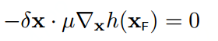
5 提出猜想

我们不妨大胆假设,如果满足下面的条件:


根据第四小节讲述,delta_x必须正交于h(x),所以:

所以:

至此,我们就找到f(x)偏导数等于0的点,就是下图所示的两个关键点(它们也是f(x)与h(x)的临界点)。且必须满足以下条件,也就是两个向量必须是平行的:

6 完全解码拉格朗日乘数法

至此,已经完全解码拉格朗日乘数法,拉格朗日巧妙的构造出下面这个式子:

还有取得极值的的三个条件,都是对以上五个小节中涉及到的条件的编码

关于第三个条件,稍加说明。

对于含有多个变量,比如本例子就含有2个变量x1, x2,就是一个多元优化问题,需要求二阶导,二阶导的矩阵就被称为海塞矩阵(Hessian Matrix)

与求解一元问题一样,仅凭一阶导数等于是无法判断极值的,需要求二阶导,并且二阶导大于0才是极小值,小于0是极大值,等于0依然无法判断是否在此点去的极值。


- END -

如果看到这里,说明你喜欢这篇文章,请转发、点赞。扫描下方二维码或者微信搜索「perfect_iscas」,添加好友后即可获得10套程序员全栈课程+1000套PPT和简历模板向我私聊「进群」二字即可进入高质量交流群。

扫描二维码进群↓

在看 


http://chatgpt.dhexx.cn/article/heveI0uU.shtml

相关文章

java 获取随机数方法,java生成随机数的三种方法

随机数有三种生成方式: 1、通过Math.random()方法 2、通过System.currentTimeMillis()方法获取毫秒数 3、通过Random类 第一种:常用方法Math.random()方法,是获取0-1之间的double类型的小数,在通过int类型墙砖即可 示例&#xff1…

Java生成随机数的方式

目录 Random基础使用优缺点分析 SecureRandom基础使用 总结:持续更新 Random Random 类诞生于 JDK 1.0,它产生的随机数是伪随机数,也就是有规则的随机数。Random 使用的随机算法为 linear congruential pseudorandom number generator (LGC)…

Java 生成随机数的 5 种方式,你知道几种?

点击上方“码农突围”,马上关注 这里是码农充电第一站,回复“666”,获取一份专属大礼包 真爱,请设置“星标”或点个“在看” 作者:专职跑龙套链接:https://www.jianshu.com/p/2f6acd169202 1. Math.random(…

java 生成随机数 (Random函数)

目录 一、Random是什么? 二、使用步骤 1.引入库 2.创建对象 3.生成随机数 4.完整代码 总结 一、Random是什么? 生成随机数函数 二、使用步骤 1.引入库 代码如下: import java.util.Random; 2.创建对象 代码如下: R…

Java中生成随机数的4种方式!

在 Java 中,生成随机数的场景有很多,所以本文我们就来盘点一下 4 种生成随机数的方式,以及它们之间的区别和每种生成方式所对应的场景。 1.Random Random 类诞生于 JDK 1.0,它产生的随机数是伪随机数,也就是有规则的…

谈论SQL注入攻击的重要性

"SQL注入”是一种利用未过滤/未审核用户输入的攻击方法(“缓存溢出”和这个不同),意思就是让应用运行本不应该运行的SQL代码。黑客或者恶搞的用户,利用了程序开发人员在开发的时候没有对SQL进行严格的处理而造成的漏洞&#…

【SQL注入攻击介绍】

目录 前言 本质和危害 分类 注入一般步骤 注入实战 前言 sql注入一直以来都稳居owasp-top10榜首,近年来更是爆出很多的数据库泄露攻击事件,如最近上海某公安存在数据库泄露事件。今天简单的分析以下sql注入的一些特性和方式: owasp-t…

SQL注入攻击与防护

目录 一、SQL注入攻击概述 1.1 SQL注入概念 1.1.1 标准查询过程 1.1.2 SQL注入定义 1.2 SQL注入根本原因 1.3 SQL注入条件 1.4 SQL注入防范 1.4.1 根本原因:过滤不严 1.4.2 安全设计原则:数据与代码分离 1.5 SQL注入流程 1.6 SQL注入分类 1.…

使用日志进行调查 - SQL 注入攻击示例

日志文件是服务器提供的非常有价值的信息。几乎所有服务器、服务和应用程序都提供某种日志记录。日志文件记录在服务或应用程序运行期间发生的事件和操作。 日志文件为我们提供了服务器行为的精确视图以及关键信息,例如何时、如何以及由谁访问服务器。此类信息可以…

Web—SQL注入攻击

文章目录 一、mysql常用语句二、SQL注入概念1. 产生原因2. 攻击分类 三、攻击流程1. 常用检测语句如何识别SQL注入2. Mysql注入常用函数3. 查询数据的核心语法4. 联合查询5. 报错注入6. 布尔盲注7. 时间盲注8. SQL注入爆库语句9. Sqlmap常用命令 四、常见防护手段及绕过方式1. …

DVWA SQL注入攻击

SQL注入原理 SQL注入就是通过SQL命令插入到web表单递交或输入域名页面请求的查询字符串,最终达到欺骗服务器执行恶意的SQL命令。具体来说,它是利用现有应用程序,将恶意的SQL命令注入到后台数据库引擎执行的能力,它可以通过在WEB表…

sql注入攻击实例mysql_SQL 注入攻击案例

一、检测注入点 二、判断是否存在 SQL 注入可能 三、数据库爆破 四、字段爆破 五、数据库表爆破 六、用户名、密码爆破 七、总结 一、检测注入点 首先,在 http://120.203.13.75:6815/?id=1 目标站点页面发现了 ?id,说明可以通过查询 id=1 的内容来获得页面。 这相当于查询语…

SQL注入攻击实战演示(附源码)

SQL注入是一种非常常见的数据库攻击手段,SQL注入漏洞也是网络世界中最普遍的漏洞之一。大家也许都听过某某学长通过攻击学校数据库修改自己成绩的事情,这些学长们一般用的就是SQL注入方法。 文章目录: 何谓SQL注入? SQL数据库操…

SQL注入攻击入门

目录 一、SQL注入的原理 SQL注入漏洞的条件 二、SQL注入的危害 三、SQL注入的分类 1、注入点数据类型分类 (1)数字型注入 (2)字符型注入 2、注入点位置分类 3、注入方法分类 (1)布尔型注入 &…

数学里上凹,下凹,上凸,下凸

https://zhidao.baidu.com/question/238541854.html 数学里上凹,下凹,上凸,下凸统称为曲线的凸知性,其是指在平面坐标系里的图形样式: 1、开口向上的曲线,称为上凹,或称为下凸,形状…

凸凹函数

凹凸函数的代数定义 若函数f(x)为凸函数,那么- f(x) 为凹函数。所以,清楚了凸函数,等价于清楚了凹函数 凸函数的定义 对于一元函数f(x),如果对于任意tϵ[0,1]均满足:f(tx1(1−t)x2)≤tf(x1)(1−t)f(x2),则称…

一元函数的凹性concavity以及二阶导数

凹性(concavity)与函数导数的变化率有关。一个函数f是上凹(即抛物线方向开口向上),其导数f是增函数,也意味着f的导数(即f)是正数;类似的一个函数f是下凹(即抛物线方向开口向下),其导…

转载--32个鲜为人知的自学网站

分享32个鲜为人知并且完全免费的高质量自学网站,每个都是堪称神器,让你相见恨晚。 1:Oeasy 是一个完全免费的综合视频教程网站,非常良心实用。 它提供的视频教程非常丰富并且质量很高,包括:PS 教程、手机摄…

分享32个高质量的自学网站

原文作者:木子淇 链接:有哪些高质量的自学网站? - 知乎 来源:知乎 1:Oeasy http://oeasy.org/Oeasy 是一个完全免费的综合视频教程网站,非常良心实用。 它提供的视频教程非常丰富并且质量很高&#xf…