文章目录
- 一、决策树介绍
- 二、利用信息增益选择最优划分属性
- 三、ID3代码实现
- 1.jupyter下python实现
- 2. 使用sklearn实现ID3
- 四、C4.5算法实现
- 五、CART算法实现
- 六、总结
- 参考文献
一、决策树介绍
-
决策树是一种基于树结构来进行决策的分类算法,我们希望从给定的训练数据集学得一个模型(即决策树),用该模型对新样本分类。决策树可以非常直观展现分类的过程和结果,一旦模型构建成功,对新样本的分类效率也相当高。
-
最经典的决策树算法有ID3、C4.5、CART,其中ID3算法是最早被提出的,它可以处理离散属性样本的分类,C4.5和CART算法则可以处理更加复杂的分类问题。使用算法ID3, C4.5和C5.0生成树算法使用熵。这一度量是基于信息学理论中熵的概念。
-
分类树(决策树)是一种十分常用的分类方法。它是一种监督学习,所谓监督学习就是给定一堆样本,每个样本都有一组属性和一个类别,这些类别是事先确定的,那么通过学习得到一个分类器,这个分类器能够对新出现的对象给出正确的分类。这样的机器学习就被称之为监督学习。
-
下面,我们就对以下表格中的西瓜样本构建决策树模型。
| 色泽 | 根蒂 | 敲声 | 纹理 | 脐部 | 触感 | 好瓜 |
|---|---|---|---|---|---|---|
| 青绿 | 蜷缩 | 浊响 | 清晰 | 凹陷 | 硬滑 | 是 |
| 乌黑 | 蜷缩 | 沉闷 | 清晰 | 凹陷 | 硬滑 | 是 |
| 乌黑 | 蜷缩 | 浊响 | 清晰 | 凹陷 | 硬滑 | 是 |
| 青绿 | 蜷缩 | 沉闷 | 清晰 | 凹陷 | 硬滑 | 是 |
| 浅白 | 蜷缩 | 浊响 | 清晰 | 凹陷 | 硬滑 | 是 |
| 青绿 | 稍蜷 | 浊响 | 清晰 | 稍凹 | 软粘 | 是 |
| 乌黑 | 稍蜷 | 浊响 | 稍糊 | 稍凹 | 软粘 | 是 |
| 乌黑 | 稍蜷 | 浊响 | 清晰 | 稍凹 | 硬滑 | 是 |
| 乌黑 | 稍蜷 | 沉闷 | 稍糊 | 稍凹 | 硬滑 | 否 |
| 青绿 | 硬挺 | 清脆 | 清晰 | 平坦 | 软粘 | 否 |
| 浅白 | 硬挺 | 清脆 | 模糊 | 平坦 | 硬滑 | 否 |
| 浅白 | 蜷缩 | 浊响 | 模糊 | 平坦 | 软粘 | 否 |
| 青绿 | 稍蜷 | 浊响 | 稍糊 | 凹陷 | 硬滑 | 否 |
| 浅白 | 稍蜷 | 沉闷 | 稍糊 | 凹陷 | 硬滑 | 否 |
| 乌黑 | 稍蜷 | 浊响 | 清晰 | 稍凹 | 软粘 | 否 |
| 浅白 | 蜷缩 | 浊响 | 模糊 | 平坦 | 硬滑 | 否 |
| 青绿 | 蜷缩 | 沉闷 | 稍糊 | 稍凹 | 硬滑 | 否 |
二、利用信息增益选择最优划分属性
样本有多个属性,该先选哪个样本来划分数据集呢?原则是随着划分不断进行,我们希望决策树的分支节点所包含的样本尽可能属于同一分类,即“纯度”越来越高。
- 信息熵
所谓信息熵,是一个数学上颇为抽象的概念,在这里不妨把信息熵理解成某种特定信息的出现概率。
样本集合D中第k类样本所占的比例p_k(k=1,2,…,|Y|),|Y|为样本分类的个数,则D的信息熵为:

Ent(D)的值越小,则D的纯度越高。 - 信息增益
使用属性a对样本集D进行划分所获得的“信息增益”的计算方法是,用样本集的总信息熵减去属性a的每个分支的信息熵与权重(该分支的样本数除以总样本数)的乘积,通常,信息增益越大,意味着用属性a进行划分所获得的“纯度提升”越大。因此,优先选择信息增益最大的属性来划分。
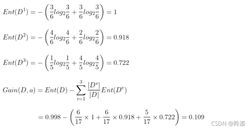
西瓜样本集中,以属性“色泽”为例,它有3个取值{青绿、乌黑、浅白}

同理也可以计算出其他几个属性的信息增益,选择信息增益最大的属性作为根节点来进行划分,然后再对每个分支做进一步划分。
三、ID3代码实现
在代码路径下新建watermelon.txt文件
1.jupyter下python实现
- 导入模块
用pandas模块的read_csv()函数读取数据文本;用numpy模块将dataframe转换为list(列表);用Counter来完成计数;用math模块的log2函数计算对数。
#导入模块
import numpy as np
import pandas as pd
import math
import collections
- 导入数据
def import_data():data = pd.read_csv('..watermelon.txt')data.head(10)data=np.array(data).tolist()# 特征值列表labels = ['色泽', '根蒂', '敲击', '纹理', '脐部', '触感']# 特征对应的所有可能的情况labels_full = {}for i in range(len(labels)):labelList = [example[i] for example in data]uniqueLabel = set(labelList)labels_full[labels[i]] = uniqueLabelreturn data,labels,labels_full
- 调用函数获取数据
data,labels,labels_full=import_data()
- 计算初始的信息熵,就是不分类之前的信息熵值
def calcShannonEnt(dataSet):"""计算给定数据集的信息熵(香农熵):param dataSet::return:"""# 计算出数据集的总数numEntries = len(dataSet)# 用来统计标签labelCounts = collections.defaultdict(int)# 循环整个数据集,得到数据的分类标签for featVec in dataSet:# 得到当前的标签currentLabel = featVec[-1]# # 如果当前的标签不再标签集中,就添加进去(书中的写法)# if currentLabel not in labelCounts.keys():# labelCounts[currentLabel] = 0## # 标签集中的对应标签数目加一# labelCounts[currentLabel] += 1# 也可以写成如下labelCounts[currentLabel] += 1# 默认的信息熵shannonEnt = 0.0for key in labelCounts:# 计算出当前分类标签占总标签的比例数prob = float(labelCounts[key]) / numEntries# 以2为底求对数shannonEnt -= prob * math.log2(prob)return shannonEnt
- 查看初始信息熵
print(calcShannonEnt(data)) # 输出为:0.9975025463691153

- 获取每个特征值的数量,这是为后面计算信息增益做准备
def splitDataSet(dataSet, axis, value):"""按照给定的特征值,将数据集划分:param dataSet: 数据集:param axis: 给定特征值的坐标:param value: 给定特征值满足的条件,只有给定特征值等于这个value的时候才会返回:return:"""# 创建一个新的列表,防止对原来的列表进行修改retDataSet = []# 遍历整个数据集for featVec in dataSet:# 如果给定特征值等于想要的特征值if featVec[axis] == value:# 将该特征值前面的内容保存起来reducedFeatVec = featVec[:axis]# 将该特征值后面的内容保存起来,所以将给定特征值给去掉了reducedFeatVec.extend(featVec[axis + 1:])# 添加到返回列表中retDataSet.append(reducedFeatVec)return retDataSet
- 计算信息增益来确定最好的数据集划分
def chooseBestFeatureToSplit(dataSet, labels):"""选择最好的数据集划分特征,根据信息增益值来计算:param dataSet::return:"""# 得到数据的特征值总数numFeatures = len(dataSet[0]) - 1# 计算出基础信息熵baseEntropy = calcShannonEnt(dataSet)# 基础信息增益为0.0bestInfoGain = 0.0# 最好的特征值bestFeature = -1# 对每个特征值进行求信息熵for i in range(numFeatures):# 得到数据集中所有的当前特征值列表featList = [example[i] for example in dataSet]# 将当前特征唯一化,也就是说当前特征值中共有多少种uniqueVals = set(featList)# 新的熵,代表当前特征值的熵newEntropy = 0.0# 遍历现在有的特征的可能性for value in uniqueVals:# 在全部数据集的当前特征位置上,找到该特征值等于当前值的集合subDataSet = splitDataSet(dataSet=dataSet, axis=i, value=value)# 计算出权重prob = len(subDataSet) / float(len(dataSet))# 计算出当前特征值的熵newEntropy += prob * calcShannonEnt(subDataSet)# 计算出“信息增益”infoGain = baseEntropy - newEntropy#print('当前特征值为:' + labels[i] + ',对应的信息增益值为:' + str(infoGain)+"i等于"+str(i))#如果当前的信息增益比原来的大if infoGain > bestInfoGain:# 最好的信息增益bestInfoGain = infoGain# 新的最好的用来划分的特征值bestFeature = i#print('信息增益最大的特征为:' + labels[bestFeature])return bestFeature
- 判断各个样本集的各个属性是否一致
def judgeEqualLabels(dataSet):"""判断数据集的各个属性集是否完全一致:param dataSet::return:"""# 计算出样本集中共有多少个属性,最后一个为类别feature_leng = len(dataSet[0]) - 1# 计算出共有多少个数据data_leng = len(dataSet)# 标记每个属性中第一个属性值是什么first_feature = ''# 各个属性集是否完全一致is_equal = True# 遍历全部属性for i in range(feature_leng):# 得到第一个样本的第i个属性first_feature = dataSet[0][i]# 与样本集中所有的数据进行对比,看看在该属性上是否都一致for _ in range(1, data_leng):# 如果发现不相等的,则直接返回Falseif first_feature != dataSet[_][i]:return Falsereturn is_equal
- 绘制决策树(字典)
def createTree(dataSet, labels):"""创建决策树:param dataSet: 数据集:param labels: 特征标签:return:"""# 拿到所有数据集的分类标签classList = [example[-1] for example in dataSet]# 统计第一个标签出现的次数,与总标签个数比较,如果相等则说明当前列表中全部都是一种标签,此时停止划分if classList.count(classList[0]) == len(classList):return classList[0]# 计算第一行有多少个数据,如果只有一个的话说明所有的特征属性都遍历完了,剩下的一个就是类别标签,或者所有的样本在全部属性上都一致if len(dataSet[0]) == 1 or judgeEqualLabels(dataSet):# 返回剩下标签中出现次数较多的那个return majorityCnt(classList)# 选择最好的划分特征,得到该特征的下标bestFeat = chooseBestFeatureToSplit(dataSet=dataSet, labels=labels)print(bestFeat)# 得到最好特征的名称bestFeatLabel = labels[bestFeat]print(bestFeatLabel)# 使用一个字典来存储树结构,分叉处为划分的特征名称myTree = {bestFeatLabel: {}}# 将本次划分的特征值从列表中删除掉del(labels[bestFeat])# 得到当前特征标签的所有可能值featValues = [example[bestFeat] for example in dataSet]# 唯一化,去掉重复的特征值uniqueVals = set(featValues)# 遍历所有的特征值for value in uniqueVals:# 得到剩下的特征标签subLabels = labels[:]subTree = createTree(splitDataSet(dataSet=dataSet, axis=bestFeat, value=value), subLabels)# 递归调用,将数据集中该特征等于当前特征值的所有数据划分到当前节点下,递归调用时需要先将当前的特征去除掉myTree[bestFeatLabel][value] = subTreereturn myTree
- 调用函数并打印,就可以看到一个字典类型的树了
mytree=createTree(data,labels)
print(mytree)

- 绘制可视化树
import matplotlib.pylab as plt
import matplotlib# 能够显示中文
matplotlib.rcParams['font.sans-serif'] = ['SimHei']
matplotlib.rcParams['font.serif'] = ['SimHei']# 分叉节点,也就是决策节点
decisionNode = dict(boxstyle="sawtooth", fc="0.8")# 叶子节点
leafNode = dict(boxstyle="round4", fc="0.8")# 箭头样式
arrow_args = dict(arrowstyle="<-")def plotNode(nodeTxt, centerPt, parentPt, nodeType):"""绘制一个节点:param nodeTxt: 描述该节点的文本信息:param centerPt: 文本的坐标:param parentPt: 点的坐标,这里也是指父节点的坐标:param nodeType: 节点类型,分为叶子节点和决策节点:return:"""createPlot.ax1.annotate(nodeTxt, xy=parentPt, xycoords='axes fraction',xytext=centerPt, textcoords='axes fraction',va="center", ha="center", bbox=nodeType, arrowprops=arrow_args)def getNumLeafs(myTree):"""获取叶节点的数目:param myTree::return:"""# 统计叶子节点的总数numLeafs = 0# 得到当前第一个key,也就是根节点firstStr = list(myTree.keys())[0]# 得到第一个key对应的内容secondDict = myTree[firstStr]# 递归遍历叶子节点for key in secondDict.keys():# 如果key对应的是一个字典,就递归调用if type(secondDict[key]).__name__ == 'dict':numLeafs += getNumLeafs(secondDict[key])# 不是的话,说明此时是一个叶子节点else:numLeafs += 1return numLeafsdef getTreeDepth(myTree):"""得到数的深度层数:param myTree::return:"""# 用来保存最大层数maxDepth = 0# 得到根节点firstStr = list(myTree.keys())[0]# 得到key对应的内容secondDic = myTree[firstStr]# 遍历所有子节点for key in secondDic.keys():# 如果该节点是字典,就递归调用if type(secondDic[key]).__name__ == 'dict':# 子节点的深度加1thisDepth = 1 + getTreeDepth(secondDic[key])# 说明此时是叶子节点else:thisDepth = 1# 替换最大层数if thisDepth > maxDepth:maxDepth = thisDepthreturn maxDepthdef plotMidText(cntrPt, parentPt, txtString):"""计算出父节点和子节点的中间位置,填充信息:param cntrPt: 子节点坐标:param parentPt: 父节点坐标:param txtString: 填充的文本信息:return:"""# 计算x轴的中间位置xMid = (parentPt[0]-cntrPt[0])/2.0 + cntrPt[0]# 计算y轴的中间位置yMid = (parentPt[1]-cntrPt[1])/2.0 + cntrPt[1]# 进行绘制createPlot.ax1.text(xMid, yMid, txtString)def plotTree(myTree, parentPt, nodeTxt):"""绘制出树的所有节点,递归绘制:param myTree: 树:param parentPt: 父节点的坐标:param nodeTxt: 节点的文本信息:return:"""# 计算叶子节点数numLeafs = getNumLeafs(myTree=myTree)# 计算树的深度depth = getTreeDepth(myTree=myTree)# 得到根节点的信息内容firstStr = list(myTree.keys())[0]# 计算出当前根节点在所有子节点的中间坐标,也就是当前x轴的偏移量加上计算出来的根节点的中心位置作为x轴(比如说第一次:初始的x偏移量为:-1/2W,计算出来的根节点中心位置为:(1+W)/2W,相加得到:1/2),当前y轴偏移量作为y轴cntrPt = (plotTree.xOff + (1.0 + float(numLeafs))/2.0/plotTree.totalW, plotTree.yOff)# 绘制该节点与父节点的联系plotMidText(cntrPt, parentPt, nodeTxt)# 绘制该节点plotNode(firstStr, cntrPt, parentPt, decisionNode)# 得到当前根节点对应的子树secondDict = myTree[firstStr]# 计算出新的y轴偏移量,向下移动1/D,也就是下一层的绘制y轴plotTree.yOff = plotTree.yOff - 1.0/plotTree.totalD# 循环遍历所有的keyfor key in secondDict.keys():# 如果当前的key是字典的话,代表还有子树,则递归遍历if isinstance(secondDict[key], dict):plotTree(secondDict[key], cntrPt, str(key))else:# 计算新的x轴偏移量,也就是下个叶子绘制的x轴坐标向右移动了1/WplotTree.xOff = plotTree.xOff + 1.0/plotTree.totalW# 打开注释可以观察叶子节点的坐标变化# print((plotTree.xOff, plotTree.yOff), secondDict[key])# 绘制叶子节点plotNode(secondDict[key], (plotTree.xOff, plotTree.yOff), cntrPt, leafNode)# 绘制叶子节点和父节点的中间连线内容plotMidText((plotTree.xOff, plotTree.yOff), cntrPt, str(key))# 返回递归之前,需要将y轴的偏移量增加,向上移动1/D,也就是返回去绘制上一层的y轴plotTree.yOff = plotTree.yOff + 1.0/plotTree.totalDdef createPlot(inTree):"""需要绘制的决策树:param inTree: 决策树字典:return:"""# 创建一个图像fig = plt.figure(1, facecolor='white')fig.clf()axprops = dict(xticks=[], yticks=[])createPlot.ax1 = plt.subplot(111, frameon=False, **axprops)# 计算出决策树的总宽度plotTree.totalW = float(getNumLeafs(inTree))# 计算出决策树的总深度plotTree.totalD = float(getTreeDepth(inTree))# 初始的x轴偏移量,也就是-1/2W,每次向右移动1/W,也就是第一个叶子节点绘制的x坐标为:1/2W,第二个:3/2W,第三个:5/2W,最后一个:(W-1)/2WplotTree.xOff = -0.5/plotTree.totalW# 初始的y轴偏移量,每次向下或者向上移动1/DplotTree.yOff = 1.0# 调用函数进行绘制节点图像plotTree(inTree, (0.5, 1.0), '')# 绘制plt.show()if __name__ == '__main__':createPlot(mytree)

- 这里树少了一些标签,需要补全树之后再次输出
def makeTreeFull(myTree, labels_full, default):"""将树中的不存在的特征标签进行补全,补全为父节点中出现最多的类别:param myTree: 生成的树:param labels_full: 特征的全部标签:param parentClass: 父节点中所含最多的类别:param default: 如果缺失标签中父节点无法判断类别则使用该值:return:"""# 这里所说的父节点就是当前根节点,把当前根节点下不存在的特征标签作为子节点# 拿到当前的根节点root_key = list(myTree.keys())[0]# 拿到根节点下的所有分类,可能是子节点(好瓜or坏瓜)也可能不是子节点(再次划分的属性值)sub_tree = myTree[root_key]# 如果是叶子节点就结束if isinstance(sub_tree, str):return# 找到使用当前节点分类下最多的种类,该分类结果作为新特征标签的分类,如:色泽下面没有浅白则用色泽中有的青绿分类作为浅白的分类root_class = []# 把已经分好类的结果记录下来for sub_key in sub_tree.keys():if isinstance(sub_tree[sub_key], str):root_class.append(sub_tree[sub_key])# 找到本层出现最多的类别,可能会出现相同的情况取其一if len(root_class):most_class = collections.Counter(root_class).most_common(1)[0][0]else:most_class = None# 当前节点下没有已经分类好的属性# print(most_class)# 循环遍历全部特征标签,将不存在标签添加进去for label in labels_full[root_key]:if label not in sub_tree.keys():if most_class is not None:sub_tree[label] = most_classelse:sub_tree[label] = default# 递归处理for sub_key in sub_tree.keys():if isinstance(sub_tree[sub_key], dict):makeTreeFull(myTree=sub_tree[sub_key], labels_full=labels_full, default=default)
调用并再次绘制树
makeTreeFull(mytree,labels_full,default='未知')
createPlot(mytree)

2. 使用sklearn实现ID3
- 导入包
# 导入包
import pandas as pd
from sklearn import tree
import graphviz
- 读取文件,可以看到读出来的数据
df = pd.read_csv('watermelon.txt')
df.head(10)

- 将特征值全部转化为数字
df['色泽']=df['色泽'].map({'浅白':1,'青绿':2,'乌黑':3})
df['根蒂']=df['根蒂'].map({'稍蜷':1,'蜷缩':2,'硬挺':3})
df['敲声']=df['敲声'].map({'清脆':1,'浊响':2,'沉闷':3})
df['纹理']=df['纹理'].map({'清晰':1,'稍糊':2,'模糊':3})
df['脐部']=df['脐部'].map({'平坦':1,'稍凹':2,'凹陷':3})
df['触感'] = np.where(df['触感']=="硬滑",1,2)
df['好瓜'] = np.where(df['好瓜']=="是",1,0)
x_train=df[['色泽','根蒂','敲声','纹理','脐部','触感']]
y_train=df['好瓜']
print(df)
id3=tree.DecisionTreeClassifier(criterion='entropy')
id3=id3.fit(x_train,y_train)
print(id3)

- 训练并进行可视化,DecisionTreeClassifier的参数为entropy时是id3算法,默认是CART算法,没有C4.5算法
id3=tree.DecisionTreeClassifier(criterion='entropy')
id3=id3.fit(x_train,y_train)
labels = ['色泽', '根蒂', '敲击', '纹理', '脐部', '触感']
dot_data = tree.export_graphviz(id3
,feature_names=labels
,class_names=["好瓜","坏瓜"]
,filled=True
,rounded=True
)
graph = graphviz.Source(dot_data)
graph

四、C4.5算法实现
- C4.5算法介绍
C4.5是决策树核心算法ID3的改进算法,所以步骤和ID3是一样的,只是把信息增益变为信息增益率了,就是算出来信息增益之后再除以该特征的信息熵。 - 由于变得不多,只是把得到信息增益的那步再增加一步,得到信息增益率
## 实现C4.5算法
def chooseBestFeatureToSplit_4(dataSet, labels):"""选择最好的数据集划分特征,根据信息增益值来计算:param dataSet::return:"""# 得到数据的特征值总数numFeatures = len(dataSet[0]) - 1# 计算出基础信息熵baseEntropy = calcShannonEnt(dataSet)# 基础信息增益为0.0bestInfoGain = 0.0# 最好的特征值bestFeature = -1# 对每个特征值进行求信息熵for i in range(numFeatures):# 得到数据集中所有的当前特征值列表featList = [example[i] for example in dataSet]# 将当前特征唯一化,也就是说当前特征值中共有多少种uniqueVals = set(featList)# 新的熵,代表当前特征值的熵newEntropy = 0.0# 遍历现在有的特征的可能性for value in uniqueVals:# 在全部数据集的当前特征位置上,找到该特征值等于当前值的集合subDataSet = splitDataSet(dataSet=dataSet, axis=i, value=value)# 计算出权重prob = len(subDataSet) / float(len(dataSet))# 计算出当前特征值的熵newEntropy += prob * calcShannonEnt(subDataSet)# 计算出“信息增益”infoGain = baseEntropy - newEntropyinfoGain = infoGain/newEntropy#print('当前特征值为:' + labels[i] + ',对应的信息增益值为:' + str(infoGain)+"i等于"+str(i))#如果当前的信息增益比原来的大if infoGain > bestInfoGain:# 最好的信息增益bestInfoGain = infoGain# 新的最好的用来划分的特征值bestFeature = i#print('信息增益最大的特征为:' + labels[bestFeature])return bestFeature
- 创建树的函数还是改了一下,免得混淆
def createTree_4(dataSet, labels):"""创建决策树:param dataSet: 数据集:param labels: 特征标签:return:"""# 拿到所有数据集的分类标签classList = [example[-1] for example in dataSet]# 统计第一个标签出现的次数,与总标签个数比较,如果相等则说明当前列表中全部都是一种标签,此时停止划分if classList.count(classList[0]) == len(classList):return classList[0]# 计算第一行有多少个数据,如果只有一个的话说明所有的特征属性都遍历完了,剩下的一个就是类别标签,或者所有的样本在全部属性上都一致if len(dataSet[0]) == 1 or judgeEqualLabels(dataSet):# 返回剩下标签中出现次数较多的那个return majorityCnt(classList)# 选择最好的划分特征,得到该特征的下标bestFeat = chooseBestFeatureToSplit_4(dataSet=dataSet, labels=labels)print(bestFeat)# 得到最好特征的名称bestFeatLabel = labels[bestFeat]print(bestFeatLabel)# 使用一个字典来存储树结构,分叉处为划分的特征名称myTree = {bestFeatLabel: {}}# 将本次划分的特征值从列表中删除掉del(labels[bestFeat])# 得到当前特征标签的所有可能值featValues = [example[bestFeat] for example in dataSet]# 唯一化,去掉重复的特征值uniqueVals = set(featValues)# 遍历所有的特征值for value in uniqueVals:# 得到剩下的特征标签subLabels = labels[:]subTree = createTree(splitDataSet(dataSet=dataSet, axis=bestFeat, value=value), subLabels)# 递归调用,将数据集中该特征等于当前特征值的所有数据划分到当前节点下,递归调用时需要先将当前的特征去除掉myTree[bestFeatLabel][value] = subTreereturn myTree
- 调用函数,看一下字典型的树
mytree_4=createTree_4(data,labels)
print(mytree_4)

- 然后补全之后再可视化
makeTreeFull(mytree_4,labels_full,default='未知')
createPlot(mytree_4)

五、CART算法实现
- CART介绍
CART算法是一种二分递归分割技术,把当前样本划分为两个子样本,使得生成的每个非叶子结点都有两个分支,因此CART算法生成的决策树是结构简洁的二叉树。由于CART算法构成的是一个二叉树,它在每一步的决策时只能是“是”或者“否”,即使一个feature有多个取值,也是把数据分为两部分。 - 使用sklearn库实现,导入包
import pandas as pd
from sklearn import tree
import graphviz
- 导入数据并读取
df = pd.read_csv('watermelon.txt')
df.head(10)
- 将特征值化为数字
df['色泽']=df['色泽'].map({'浅白':1,'青绿':2,'乌黑':3})
df['根蒂']=df['根蒂'].map({'稍蜷':1,'蜷缩':2,'硬挺':3})
df['敲声']=df['敲声'].map({'清脆':1,'浊响':2,'沉闷':3})
df['纹理']=df['纹理'].map({'清晰':1,'稍糊':2,'模糊':3})
df['脐部']=df['脐部'].map({'平坦':1,'稍凹':2,'凹陷':3})
df['触感'] = np.where(df['触感']=="硬滑",1,2)
df['好瓜'] = np.where(df['好瓜']=="是",1,0)
x_train=df[['色泽','根蒂','敲声','纹理','脐部','触感']]
y_train=df['好瓜']
- 训练得到树,并且可视化
# 构建模型并训练
labels = ['色泽', '根蒂', '敲击', '纹理', '脐部', '触感']
gini=tree.DecisionTreeClassifier()
gini=gini.fit(x_train,y_train)
#实现决策树的可视化
gini_data = tree.export_graphviz(gini
,feature_names=labels
,class_names=["好瓜","坏瓜"]
,filled=True
,rounded=True
)
gini_graph = graphviz.Source(gini_data)
gini_graph

六、总结
决策树理解还是不难的,就是要清楚每种算法的划分依据,步骤大致是先计算评判标准,后面再根据评判结果排序,最后根据顺序来递归建树。
参考文献
机器学习笔记(4)——ID3决策树算法及其Python实现
挑选西瓜(决策树实现)












