群体均值和协方差矩阵定义 (Population Mean and Covariance Matrix)
1、学术定义

2、常规定义

协方差矩阵中每个元素的求法

用中文来描述,就是:
协方差(i,j)=(第i列的所有元素-第i列的均值)*(第j列的所有元素-第j列的均值)
3、协方差矩阵性质

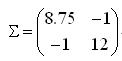
Example
X、Y是一个列向量,它表示了每种情况下每个样本可能出现的数。比如给定

则X表示x轴可能出现的数,Y表示y轴可能出现的。注意这里是关键,给定了4个样本,每个样本都是二维的,所以只可能有X和Y两种维度。所以

这里只有X,Y两列,所以得到的协方差矩阵是2x2的矩阵,分别计算协方差矩阵的各个元素

所以,按照定义,给定的4个二维样本的协方差矩阵为:

样本均值和协方差矩阵(Sample Mean and Covariance Matrix)
定义


计算公式为:
样本协方差(i,j)=(第i列所有元素-第i列均值)*(第j列所有元素-第j列均值)/(样本数-1)
Example
1)用Matlab计算

可以看出,matlab计算协方差过程中还将元素统一缩小了3倍
2)下面在给出一个4维3样本的实例,注意4维样本与符号X,Y就没有关系了,X,Y表示两维的,4维就直接套用计算公式,不用X,Y那么具有迷惑性的表达了。




















