TVM系列 - 量化

article/2025/10/3 19:46:17

TVM系列 - 量化

  • TVM量化原理
    • TVM量化现状
    • TVM量化原理介绍
    • TVM量化代码解析

TVM量化原理

关于量化的方式其实已经有足够的文章去了解目前最主流的两种:离线量化及训练时量化(大家应该能理解,其实就是伪量化),而tvm的作者之一也对这些文章有一个初步的汇总:tvm作者关于量化方式的讨论,这部分不做过多讨论,直接进入tvm量化的部分

TVM量化现状

事实上,可能tvm团队将主要精力放到了autotvm,以框架整体的优化上(毕竟这部分才是tvm的特点呀),tvm的单纯量化效果并不理想,不仅精度有所下降,正常的,但是速度还有可能会变慢。这点还有待我自己亲自去验证:
TVM8bit测试
不过再配合上优秀的AutoTVM,这些都不是问题了。
当然,随着TVM的不断发展,相信TVM也会逐渐把量化这块,不仅是精度速度的提升,更是针对更多bit情况的支持。

TVM量化原理介绍

TVM的量化总体可以分为三个阶段:
Annotation:annotation会将TVM原本的pass进行重写,根据不同算子(var)类型插入伪量化
Calibration:熟悉量化的同学应该都知道,weights的量化所需要的的(f_min, f_max)并不会变,就直接求当前张量中的最大最小值。但是activation的量化(f_min, f_max)是需要随着训练样本的变化不断维护一个整体的值得,就像bn层scale和bias一样,一般的方式是通过exponential moving averages(EMA),而calibration的作用就是调整这个(f_min, f_max)
Realization:这个就非常好理解了,根据伪量化训练得到的参数,进行实质的量化过程
TVM量化流程

直观一点的看TVM整个量化流程的话,整体还是延续了tensorflow伪量化的路线,为pass中每一个中间var插入一个伪量化节点,而具体伪量化的方法与tensorflow稍有差异,tensorflow跑的是非对称量化,而TVM目前默认跑的是对称量化。
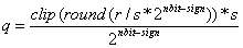
对比看下tensorflow量化与TVM量化的公式:

Tensorflow 将会带来全新的写作体验;
TVM
在这里插入图片描述
让我们给他转换一下:
在这里插入图片描述

这样看上去是不是就舒服多了,其实他们做的都是同样的事情,将从fp32到int8的误差,包括rounding的误差及clamp的误差,在训练过程中即考虑进去,只不过确实对称量化会看上去有点膈应。
TVM conv层插入伪量化示例
上图是TVM为conv2d算子插入伪量化的示意图,需要注意的是,

  1. TVM插入伪量化的时候是要对input,weights,以及activation进行区分的,这也对应了我前面所说的,这两个的参数优化是不同的。

  2. 由于伪量化无法拿到实际跑得模型的数据分布和数据类型的,具体要等到真正跑的时候才知道,所以到时候会不会有溢出的风险伪量化是不知道的,这是非常危险的。事实上,真正成熟的量化算法,都是要对量化过程中每个量化出来的张量进行一个缩放,保证不会有溢出的风险。tvm量化算法更新

  3. 上图就是TVM量化的实际操作过程,首先根据模型和要部署的硬件,选择要量化的ops,也就是Topology,以及量化的目标bit数,这里要量化到几bit并不是人为确定(当然肯定也可以人为写死),而是一个不断搜索的过程;然后根据一个小的calibration的图片集获得threshold,将threshold-bit-topology确定的量化模型去测试下,然后进行下一个标定循环 。

  4. 下面来聊聊伪量化在训练标定过程中都要解决哪些问题。一般认为量化的损失来自于两个方面:

    • 取整损失,例如r = [6.8, 7.2, -0.6], scale = (7.2+0.6)/127 = 0.061417, q1 = 7.2/scale = 117.23,那么他的量化值就是117,有了0.23的损失
    • 截断损失 ,因为scale是取最优区间,那么边界的点势必会有超过最大量化值得情况,那么就要截断到最大量化值,就有了截断损失

    那么就要针对这两种损失,将这两种损失都加入到伪量化中去,在训练阶段就将误差消化掉。我们看下TVM的伪量化代码如何实现:

@_op.register_compute("relay.op.annotation.simulated_quantize")
def simulated_quantize_compute(attrs, inputs, out_type):"""Compiler for simulated_quantize."""assert len(inputs) == 4assert attrs.signassert attrs.rounding == "round"data, scale, clip_min, clip_max = inputsif attrs.kind == QAnnotateKind.IDENTITY:return [topi.identity(data)]scaled_data = topi.divide(data, scale)# simulate saturated errorclipped_data = topi.maximum(topi.minimum(scaled_data, clip_max), clip_min)# simulate rounding errorround_data = topi.round(clipped_data)# recover datardata = topi.multiply(round_data, scale)return [rdata]

TVM量化代码解析

TVM的量化非常方便,即插即用,前面说过,TVM量化的话就是使用加入了伪量化后的pass替代原来的pass,我们看一个官方提供的例子:

def test_mul_rewrite():"""a test case where rhs of mul is not constant"""data = relay.var("data", shape=(1, 16, 64, 64))multiplier = relay.sigmoid(relay.var("data", shape=(1, 16, 1, 1)))conv = relay.nn.conv2d(data, relay.var("weight"),kernel_size=(3, 3),padding=(1, 1),channels=16)act = relay.nn.relu(data=conv)quantize_and_build(act * multiplier)pool = relay.nn.global_avg_pool2d(data=act)quantize_and_build(act * pool)

入口就是函数:

def quantize_and_build(out):f = relay.Function(relay.analysis.free_vars(out), out)mod, params = testing.create_workload(f)with relay.quantize.qconfig(skip_conv_layers=[]):qmod = relay.quantize.quantize(mod, params)relay.build(qmod, "llvm", params=params)return qmod

可以看到这里,调用的就是relay.quantize.quantize函数,因为这个函数实在太长了,我就只是放上来主体部分,

	1. mod = prerequisite_optimize(mod, params)2.   calibrate_pass = tvm.transform.module_pass(calibrate(dataset), opt_level=1,name="QuantizeCalibrate")quant_passes = [partition(),annotate(),calibrate_pass]if not current_qconfig().do_simulation:quant_passes.append(realize())quant_passes.append(_transform.FoldConstant())quantize_seq = tvm.transform.Sequential(quant_passes)with tvm.transform.PassContext(opt_level=3,required_pass=["QuantizeAnnotate","QuantizeCalibrate","QuantizeRealize"]):3.       with quantize_context():mod = quantize_seq(mod)4. q_cfg = current_qconfig()assert q_cfg.partition_conversions in ['disabled', 'enabled', 'fully_integral']if q_cfg.partition_conversions != 'disabled':quantized_dtypes = {q_cfg.dtype_input, q_cfg.dtype_weight, q_cfg.dtype_activation}ensure_fully_integral = q_cfg.partition_conversions == 'fully_integral'return partition_conversions(mod, quantized_dtypes, ensure_fully_integral)

从代码中可以看到,TVM量化首先需要做的就是
标号1,就是图优化部分,具体做哪些图优化就可以自己选了,比如算子融合,常量折叠这些。(顺便说下,关于TVM的下一篇文章应该就是图优化的部分了哦,先从基于支配树的算子融合开始)
接下来,就是
标号2那里定义,整个量化的步骤,包括定义quant_passes,如果发现config中设置不需要伪量化,也就是现在是inference阶段了,那就把realize加进去,否则只需要annotate及calibrate去优化量化参数就够了。
标号3就是说,现在开始做量化了,将一个fp32的inference graph转成int类型的inference graph,具体可以参照第一张图,没什么好说的。
标号4部分,意思就是,把realize的graph,或者说对于一个op的前向推断的步骤分成前中后三部分:比如conv2d,input_quantization -> input_quantization*weight_quantization(core function) -> ouput_dequantization,之所以要每一个算子计算完之后都要dequant回去,是因为很有可能某些算子没量化呀,你不还得用fp32嘛 😦
不过最优解肯定是全部都量化掉,直接int32跑到底,所以TVM搞了个参数ensure_fully_integral来保证所有的算子都被量化了

本文所有内容都是基于自己理解所写,肯定有不对的地方,欢迎大家交流讨论


http://chatgpt.dhexx.cn/article/LW89lr4o.shtml

相关文章

TVM-初识TVM

目录 TVM简介那么TVM是什么?TVM做了哪些工作 TVM简介 随着深度学习的发展,深度学习的能力可以说是越来越强大,识别率节节攀升,与此同时,深度学习框架也变得越来越多,目前比较主流的深度学习框架包括&#…

【TVM系列二】TVM介绍

文章同步更新在公众号 AIPlayer,欢迎扫码关注,共同进步 目录 一、TVM的工作流程 1、整体流程 2、关键数据结构 3、Transformations 4、搜索空间和基于机器学习的转换 5、目标代码转化 二、逻辑架构组件 三、运行TVM实例 1、交叉编译runtime 2、…

TVM:简介

TVM:简介概述 Apache TVM 是一个用于 CPU、GPU 和机器学习加速器的开源机器学习编译器框架。它旨在使机器学习工程师能够在任何硬件后端上高效地优化和运行计算。本教程的目的是通过定义和演示关键概念,引导您了解 TVM 的所有主要功能。新用户应该能够从…

TVM简介

TVM与LLVM的架构非常相似。TVM针对不同的深度学习框架和硬件平台,实现了统一的软件栈,以尽可能高效的方式,将不同框架下的深度学习模型部署到硬件平台上。 如果从编译器的视角来看待如何解决这个问题,各种框架写的网络可以根据特…

TVM概述

TVM TVM是陈天奇领导的一个DL加速框架项目。它处于DL框架(如tensorflow、pytorch)和硬件后端(如CUDA、OpenCL)之间,兼顾了前者的易用性和后者的执行效率。 官网: https://tvm.apache.org/ 代码&#xf…

TVM[2] —— TVM简介和发展

TVM[2] —— TVM简介和发展 文章目录 TVM[2] —— TVM简介和发展1. TVM 简介1.1 是什么1.2 做什么1.3 基本步骤 2. TVM 的发展2.1 现状——四类抽象2.2 问题——两向boundary2.3 未来——从箭头到圈2.4 New Capabilities with Unity 下期预告:3. TVM 技术栈全解析&a…

TVM 学习指南(个人版)

文章目录 0x0. 前言0x1. 前端0x1.1 Tensor IR(TIR)0x1.2 了解tvm.ir基础设施0x1.3 Relay IR0x1.4 RelaxD0:数据流块作为第一优先级的构造D1:形状推导作为第一优先级的计算D1a: match_shapeD1b. 从符号整数元组构造ShapeShape传播的方法Implications for …

一步一步解读神经网络编译器TVM(一)——一个简单的例子

TOC 前言 这是一个TVM教程系列,计划从TVM的使用说明,再到TVM的内部源码?为大家大致解析一下TVM的基本工作原理。因为TVM的中文资料比较少,也希望贡献一下自己的力量,如有描述方面的错误,请及时指出。 那啥是TVM&am…

P29 JTextArea文本域

P29 JTextArea文本域 1.概述2.代码实例3.效果演示 系统:Win10 Java:1.8.0_333 IDEA:2020.3.4 Gitee:https://gitee.com/lijinjiang01/JavaSwing 1.概述 JTextArea:文本区域。JTextArea 用来编辑多行的文本。JTextArea…

java 刷新jtextarea_Java JTextArea不能实时刷新的问题

相信JTextArea用法都了解吧, JTextArea textArea new JTextArea();生成一块空白的区域, 我的需求就是点击发送邮件按钮后,后台的执行日志能输出到textArea中。 但是我点击发送按钮的时候,由于邮件的附件要好久,界面一…

java 获得jtextarea_java JTextArea中获得光标所在行数

[java]代码库import java.awt.BorderLayout; import java.awt.Rectangle; import java.awt.event.ActionEvent; import java.awt.event.ActionListener; import javax.swing.JButton; import javax.swing.JFrame; import javax.swing.JScrollPane; import javax.swing.JTextAre…

java jtextarea 事件_JTextArea事件处理

[java]代码库import java.awt.*; import java.awt.event.*; import javax.swing.*; /*由于会使用到复原和事件驱动功能,因此需要将javax.swing.undo和javax.swing.event两个package包含进来 */ import javax.swing.undo.*; import javax.swing.event.*; /*JTextArea…

JTextArea用法

JTextArea用法 import java.awt.Color; import java.awt.Font; import java.awt.Point; import java.awt.Dimension; import javax.swing.BorderFactory; import javax.swing.JScrollPane; import javax.swing.JTextArea; import javax.swing.JFrame; import javax.swing.Imag…

7、Java Swing JTextArea:文本域组件。 JScrollPane:滚动窗口

文本域与文本框的最大区别就是文本域允许用户输入多行文本信息。在 Swing 中使用 JTextArea 类实现一个文本域, JTextArea常用构造方法如下: JTextArea()----创建一个默认的文本域。JTextArea(int rows,int columns)----创建一个具有指定行数和列数的文…

Swing014——JTextArea:文本域组件

一、API简介 二、实例 package component;import java.awt.BorderLayout; import java.awt.Dimension; import java.awt.event.ActionEvent; import java.awt.event.ActionListener;import javax.swing.JButton; import javax.swing.JFrame; import javax.swing.JPanel; impor…

AUC和ROC

AUC(Area Under Curve)被定义为ROC曲线下的面积,显然这个面积的数值不会大于1。又由于ROC曲线一般都处于yx这条直线的上方,所以AUC的取值范围在0.5和1之间。使用AUC值作为评价标准是因为很多时候ROC曲线并不能清晰的说明哪个分类器…

如何理解西瓜书中AUC和Lrank

首先AUC的定义就是ROC曲线的面积。这是西瓜书上给的定义式子 很容易看出是微积分的思想。 为什么说AUC越大ROC越理想呢?首先思考一下ROC的定义是什么,从定义入手一切都很简单。只不过是概念多了可能会把你给绕糊涂了。ROC曲线是这样画出来的&#xff1a…

模型评估指标AUC

模型评估指标AUC 、 AUC(Area Under Curve)被定义为ROC曲线下与坐标轴围成的面积,显然这个面积的数值不会大于1。又由于ROC曲线一般都处于yx这条直线的上方,所以AUC的取值范围在0.5和1之间。AUC越接近1.0,检测方法真实…

AUC与ROC

ROC曲线 含义 ROC曲线用来衡量阈值对模型的影响,在模型输入不变的情况下改变判断标准而获得不同的结果。是一条描述随着判断阈值变化而得到不同真阳率和假阳率结果的曲线。 例子 为了直观理解,我们做出以下三个假设: 假设1 感冒有三种…

ROC与AUC理解

ROC与AUC 简介ROC曲线ROC的动机ROC曲线特殊点 ROC曲线的绘制为什么使用ROCROC曲线使用多个实例概率/得分相同 AUC(Area Under ROC Curve)AUC判断分类器优劣的标准:AUC的物理意义损失公式AUC值的计算对于auc物理意义的理解: sklearn使用参考 简介 ROC:&a…