java mfcc_MFCC特征提取过程详解

article/2025/10/20 19:57:01

一、MFCC概述

在语音识别(Speech Recognition)和话者识别(Speaker Recognition)方面,最常用到的语音特征就是梅尔倒谱系数(Mel-scale Frequency Cepstral Coefficients,简称MFCC)。根据人耳听觉机理的研究发现,人耳对不同频率的声波有不同的听觉敏感度。从200Hz到5000Hz的语音信号对语音的清晰度影响对大。两个响度不等的声音作用于人耳时,则响度较高的频率成分的存在会影响到对响度较低的频率成分的感受,使其变得不易察觉,这种现象称为掩蔽效应。由于频率较低的声音在内耳蜗基底膜上行波传递的距离大于频率较高的声音,故一般来说,低音容易掩蔽高音,而高音掩蔽低音较困难。在低频处的声音掩蔽的临界带宽较高频要小。所以,人们从低频到高频这一段频带内按临界带宽的大小由密到疏安排一组带通滤波器,对输入信号进行滤波。将每个带通滤波器输出的信号能量作为信号的基本特征,对此特征经过进一步处理后就可以作为语音的输入特征。由于这种特征不依赖于信号的性质,对输入信号不做任何的假设和限制,又利用了听觉模型的研究成果。因此,这种参数比基于声道模型的LPCC相比具有更好的鲁邦性,更符合人耳的听觉特性,而且当信噪比降低时仍然具有较好的识别性能。

梅尔倒谱系数(Mel-scale Frequency Cepstral Coefficients,简称MFCC)是在Mel标度频率域提取出来的倒谱参数,Mel标度描述了人耳频率的非线性特性,它与频率的关系可用下式近似表示:

0f0207de9323e3598f4a1e3c493f5687.png

式中f为频率,单位为Hz。下图展示了Mel频率与线性频率的关系:

2184e19a406d5f0303e8a5bad2e996b1.png

图1 Mel频率与线性频率的关系

二、语音特征参数MFCC提取过程

基本步骤:

3e37487937e5529c546bfb7bcfe10119.png

图2 MFCC参数提取基本流程

1.预加重

预加重处理其实是将语音信号通过一个高通滤波器:

6e84581b55e969891bf75a00abf4e37c.png(2)

式中μ的值介于0.9-1.0之间,我们通常取0.97。预加重的目的是提升高频部分,使信号的频谱变得平坦,保持在低频到高频的整个频带中,能用同样的信噪比求频谱。同时,也是为了消除发生过程中声带和嘴唇的效应,来补偿语音信号受到发音系统所抑制的高频部分,也为了突出高频的共振峰。

2.分帧

先将N个采样点集合成一个观测单位,称为帧。通常情况下N的值为256或512,涵盖的时间约为20~30ms左右。为了避免相邻两帧的变化过大,因此会让两相邻帧之间有一段重叠区域,此重叠区域包含了M个取样点,通常M的值约为N的1/2或1/3。通常语音识别所采用语音信号的采样频率为8KHz或16KHz,以8KHz来说,若帧长度为256个采样点,则对应的时间长度是256/8000×1000=32ms。

3.加窗(Hamming Window)

将每一帧乘以汉明窗,以增加帧左端和右端的连续性。假设分帧后的信号为S(n), n=0,1…,N-1, N为帧的大小,那么乘上汉明窗后8a42cf6abd23451f68f03342c1c6825d.png,W(n)形式如下:

69b02b2b85b8d9070fe3940e1d6672bb.png(3)

不同的a值会产生不同的汉明窗,一般情况下a取0.46

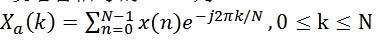
4.快速傅里叶变换

由于信号在时域上的变换通常很难看出信号的特性,所以通常将它转换为频域上的能量分布来观察,不同的能量分布,就能代表不同语音的特性。所以在乘上汉明窗后,每帧还必须再经过快速傅里叶变换以得到在频谱上的能量分布。对分帧加窗后的各帧信号进行快速傅里叶变换得到各帧的频谱。并对语音信号的频谱取模平方得到语音信号的功率谱。设语音信号的DFT为:

cd57a152059feade428fe27aa947ee91.png(4)

式中x(n)为输入的语音信号,N表示傅里叶变换的点数。

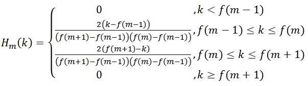
5. 三角带通滤波器

将能量谱通过一组Mel尺度的三角形滤波器组,定义一个有M个滤波器的滤波器组(滤波器的个数和临界            带的个数相近),采用的滤波器为三角滤波器,中心频率为f(m),m=1,2,...,M。M通常取22-26。各                f(m)之间的间隔随着m值的减小而缩小,随着m值的增大而增宽,如图所示:

958f64bb9cad203c02bded8e8bf1b229.png

图3 Mel频率滤波器组

三角滤波器的频率响应定义为:

604a522af6a0380867daae9cec7faf22.png(5)

式中fcf4d5928dfc5feed776117745d89973.png

三角带通滤波器有两个主要目的:

对频谱进行平滑化,并消除谐波的作用,突显原先语音的共振峰。(因此一段语音的音调或音高,是不会呈现在 MFCC 参数内,换句话说,以 MFCC 为特征的语音辨识系统,并不会受到输入语音的音调不同而有所影响) 此外,还可以降低运算量。

6.计算每个滤波器组输出的对数能量为:

fac744b8b1a1249586b30fd68e923580.png(6)

7.经离散余弦变换(DCT)得到MFCC系数:

c7d5aea0777e87c2b3ada4af512f16e1.png(7)

将上述的对数能量带入离散余弦变换,求出L阶的Mel-scale Cepstrum参数。L阶指MFCC系数阶数,通常取12-16。这里M是三角滤波器个数。

8.对数能量

此外,一帧的音量(即能量),也是语音的重要特征,而且非常容易计算。因此,通常再加上一帧的对数能量(定义:一帧内信号的平方和,再取以10为底的对数值,再乘以10)使得每一帧基本的语音特征就多了一维,包括一个对数能量和剩下的倒频谱参数。

注:若要加入其它语音特征以测试识别率,也可以在此阶段加入,这些常用的其它语音特征包含音高、过零率以及共振峰等。

9.动态差分参数的提取(包括一阶差分和二阶差分)

标准的倒谱参数MFCC只反映了语音参数的静态特性,语音的动态特性可以用这些静态特征的差分谱来描述。实验证明:把动、静态特征结合起来才能有效提高系统的识别性能。差分参数的计算可以采用下面的公式:

e64b567c213927342228c1c996cefeab.png(8)

式中,dt表示第t个一阶差分,Ct表示第t个倒谱系数,Q表示倒谱系数的阶数,K表示一阶导数的时间差,可取1或2。将上式的结果再代入就可以得到二阶差分的参数。

总结:

因此,MFCC的全部组成其实是由:

N维MFCC参数(N/3 MFCC系数+ N/3 一阶差分参数+ N/3 二阶差分参数)+帧能量(此项可根据需求替换)

MATLAB实现

HTK实现:

转自:http://my.oschina.net/jamesju/blog/193343


http://chatgpt.dhexx.cn/article/ImIxv1Vc.shtml

相关文章

tensorflow 2 实现 mfcc 获取

原创: Lebhoryirt-thread.com时间: 2020/05/11结合 tf2 官网mfcc例程阅读本篇文档食用更佳rfft 部分没有吃透,未来待补Update: 新增tensorflow2 调用tf1的API 实现mfcc提取;Update: 新增全文代码下载链接Date: 2020/07/27 文章目录 0x00 前言概述0x01 读…

语音识别MFCC系列(四)——MFCC特征参数提取

最好先看下下面三篇(其中系统的讲述了离散傅里叶变换,能量密度谱为什么是DFT系数的平方除以总点数,为什么512点的离散傅里叶变换只选前257个分量,离散余弦变换,为什么采样频率要大于真实信号最大频率的两倍&#xff0c…

MFCC 特征提取

HTK以及My_htk数据链接: https://pan.baidu.com/s/1Ajo7d-odrRiAwmCB_CQTzQ 提取码:hqnv 一:文件准备 HTK 和 HTK–samples 下载 HTK 和 HTK–samples 两个压缩文件,保存至 F 盘根目录下。 下载地址:http://htk.eng.…

MFCC概述

在进行端点处理之后,就可以得到需要处理的信号。但是要进行语音识别就必须进行一个处理:特征提取。进行特征提取我们这里采用的就是FMCC。 具体的流程是怎么样的呢? 那就是: 概述: MFCC:Mel频率倒谱系数的缩写。Mel频…

matlab实现MFCC

MFCC MFCC(Mel-frequency cepstral coefficients):梅尔频率倒谱系数。 梅尔频率是基于人耳听觉特性提出来的, 它与Hz频率成非线性对应关系。 MFCC提取过程: 首先对语音进行预处理。 预处理又包括对语音进行预加重、分…

理解MFCC

文章目录 提取音频的整体步骤预加重分帧加窗FFT(快速傅里叶变换)声谱图(Spectrogram)梅尔频谱和梅尔倒谱 倒谱(cepstrum)就是一种信号的傅里叶变换经对数运算后再进行傅里叶反变换得到的谱记住一句话,在梅尔频谱上做倒…

MFCC详细步骤及解析

MFCC(Mel-frequency cepstral coefficients):梅尔频率倒谱系数。梅尔频率是基于人耳听觉特性提出来的, 它与Hz频率成非线性对应关系。梅尔频率倒谱系数(MFCC)则是利用它们之间的这种关系,计算得到的Hz频谱特征。主要有 以下几个步骤:预加重&a…

MFCC理解

MFCC 在语音识别(SpeechRecognition)和话者识别(SpeakerRecognition)方面,最常用到的语音特征就是梅尔倒谱系数(Mel-scaleFrequency Cepstral Coefficients,简称MFCC)。根据人耳听觉…

MFCC特征介绍

MFCC特征介绍 在语音识别技术中,需要提取音频的特征,然后就可以使用该音频进行模型的训练或者是进行识别,目前很常用的一种特征叫做MFCC特征,又叫做梅尔倒谱系数特征。MFCC特征保留了语义相关的一些内容,过滤掉了诸如…

深入理解MFCC(梅尔频率倒谱系数)

从倒谱图出发 MFCC是Mel Frequency Cepstral Coefficient的简称,要理解MFCC特征,就需要先明白这里引入的一个新的概念——Cepstral,这个形容词的名词形式为Cepstrum,即倒谱图(频谱图Spectrum前四个字母倒着拼&#xf…

MFCC特征提取

在语音识别方面,最常用到的语音特征就是梅尔倒谱系数(Mel-scaleFrequency Cepstral Coefficients,简称MFCC)。 MFCC的提取过程包括预处理、快速傅里叶变换、Mei滤波器组、对数运算、离散余弦变换、动态特征提取等步骤。 1.预处理 …

MFCC算法讲解及实现(matlab)

史上最详细的MFCC算法实现(附测试数据) 1.matlab安装voicebox语音包2.MFCC原理讲解3.MFCC算法设计实现(matlab)3.1 .wav格式语音文件提取【x(200000*1)】3.2 预加重【x(200000*1)】3.3 分帧{S(301*1103)}3.4 加窗{C(301*1103)}3.5…

Parquet encoding

Dictionary encoding

Parquet原理剖析

行存VS列存 广义的数据分析系统大致分为可以分为计算层、数据格式层和存储层。 计算层主要负责数据查询的介入和各种逻辑计算,如:MR、Spark、Flink。 存储层承载数据持久化存储,以文件语义或类似文件语义(对象存储)对接计算层。 数据格式层&…

Spark 实战 - 3.一文搞懂 parquet

一.引用 parquet 文件常见于 Spark、Hive、Streamin、MapReduce 等大数据场景,通过列式存储和元数据存储的方式实现了高效的数据存储与检索,下面主要讲 parquet 文件在 spark 场景下的存储,读取与使用中可能遇到的坑。 二.Parquet 加载方式 …

Spark Parquet使用

Spark SQL下的Parquet使用最佳实践和代码实战 分类: spark-sql(1) 一、Spark SQL下的Parquet使用最佳实践 1)过去整个业界对大数据的分析的技术栈的Pipeline一般分为以下两种方式: a)Data Source -> HD…

Arrow 之 Parquet

Parquet-format 左边是文件开头及具体的数据, 右边是文件结尾的 Footer Metadata There are three types of metadata: file metadata, column (chunk) metadata and page header metadata. All thrift structures are serialized using the TCompactProtocol. Co…

parquet存入mysql_解密列存 parquet

在做数据分析的时候,相对于传统关系型数据库,我们更倾向于计算列之间的关系。在使用传统关系型数据库时,基于此的设计,我们会扫描很多我们并不关心的列,这导致了查询效率的低下,大部分数据库 io 比较低效。因此目前出现了列式存储。Apache Parquet 是一个列式存储的文件格…

Parquet原理

在互联网大数据应用场景下,通常数据量很大且字段很多, 但每次查询数据只针对其中的少数几个字段,这时候列式存储是极佳的选择。 列式存储要解决的问题: 把IO只给查询需要用到的数据 只加载需要被计算的列空间节省 列式的压缩效…

parquet--golang使用

github 其实如果不适用一些可视化工具解析parquet文件,不太好看parquet文件内部正常应该是什么样的。但是使用一些可视化工具的话,可以发现,parquet文件会像表格,如excel文件,csv文件那样,排列数据。通过结…