阻抗匹配的简单理解

article/2025/10/23 8:18:00

阿尔伯特·爱因斯坦声称:“科学的大多数基本思想本质上都很简单,并且通常可以用每个人都能理解的语言来表达。” 我不确定 21 世纪的物理学是否仍然如此(试着找一个能简单解释超弦理论的人)。尽管如此,这也是我对本专栏的信条。我尝试用简单的术语来呈现复杂的概念。本着这种精神,让我们解决一个棘手的问题。

在过去的 10 年中,我曾多次讨论阻抗匹配的主题。为什么?仅仅是因为它经常被误解——或者被认为是黑魔法。不过它并不是这样,阻抗匹配既简单又基本。此外,它不仅是射频或超高速设计人员关心的问题。它也可能在接近直流电 (DC) 的情况下发生。你要证据吗?就在一个月前,我们的一位客户向我们咨询了一个特定开关电源的效率问题。你猜怎么着?这是一个阻抗不匹配问题。我们在适当的位置添加了一个小电感器,成功提高了效率。

在本文中,我将介绍有关阻抗匹配的基础知识。除了音频之外,我不会介绍任何其他内容,因此你将能够轻松地复制和测试我的示例。 

基础

让我们从最基本的例子开始:DC。假设你有一个电压为 U0 的电池,例如 12 V。不幸的是,不存在完美的电源,因此该电池的内部寄生串联电阻 (R IN) 为 1 Ω。这意味着空载时电池电压为 U0 = 12V,当负载电流为1A,它只有 11V等。假设你将此电池用作电源并将其端子连接到外部电阻器 R 上(参见 图 1)。欧姆定律的应用很简单。通过电路的电流为:

外部电阻器消耗的功率 P很容易计算:

图1 这是最简单的直流电源阻抗匹配示例。该负载中最大耗散功率的负载 R值是多少?

现在想象一下,你无法更改源内阻R IN,但希望在电阻器 R 上消耗尽可能多的功率。这意味着你希望将尽可能多的能量从源传输到负载。你有什么选择?如果你使用较高的 R 值,则通过它的电流会很小,因此耗散功率会很低。相反,如果你使用非常低值的电阻器(接近短路),则通过电路的电流会非常高,但电阻器中消耗的功率也会非常低。事实上,在后一种情况下,会消耗大量功率,但仅消耗在电池的内部电阻上,而不会消耗在外部电阻上。在等式 2 中,P 为零,R = 0 或 R = 无穷大。因此,R 必须有一个中间值,它给出了外部电阻器的最大功耗,意味着从电池到负载的最佳功率传输。这就是阻抗匹配,最佳值为 R = R IN。你可以自己检查它,通过绘制函数R/(R IN  + R)2,当R IN = 1时,或者检查R = R IN时,它的导数是否为空?

简而言之,从直流电源提取尽可能多的功率的最佳负载是与该电源的内部电阻具有相同值的电阻。在我的示例中,对于具有 1-Ω 串联电阻的 12-V 电池,你必须使用 1-Ω 负载。通过电路的电流将为 6 A(即 I = 12V/(1 + 1 Ω))。负载中消耗的功率为 36 W(即 P = R × I 2  = 1 × 6 2)。任何其他负载值都将提供较低的传输功率。

这个基本结果适用于任何必须优化功率传输的情况。这并不意味着你必须始终匹配源和负载的阻抗,但如果你的目标是从源获得尽可能多的功率,则应该这样做。当然,如果可以降低源的内阻,可以获得更大的功率,但这里假设是不可能的。

从直流到 1 kHz

如果我们从直流换到交流,情况完全一样,用阻抗代替电阻。如果你有一个具有给定阻抗  Z S的源 并将其连接到具有给定阻抗 Z L的负载,则如果两个阻抗匹配,则功率传输将最大。

它几乎与DC相同,你知道阻抗 Z 是电阻 R 和可能的电抗 X 的总和(容性阻抗为负,感性阻抗为正)。我们通常使用复数来简化符号并写成:

不要害怕 j 变量。只需将其视为使用单个表达式管理一对两个独立值(在本例中为 R 和 X)的简单方法。

对于 DC,我们看到当源电阻和负载电阻相等时阻抗匹配。在交流电中,当源阻抗和负载阻抗是所谓的复共轭时,阻抗是匹配的。这仅仅意味着两个电阻应该相等,就像在 DC 中一样,并且两个电抗的值应该相等但符号相反。换句话说,一个轻微的容性源必须与一个轻微的感性负载相匹配,反之亦然。

现在举个例子,假设你有一个幅度为 ±10-V 且串行阻抗为 1-kΩ 的 1-kHz 正弦信号源。如果要从中提取尽可能多的功率,则必须使用电抗为 0 的 1kΩ 负载。我使用免费的 QUCS 电路模拟器为你做了一个小型模拟( 见图 2)。示波器通过两个虚拟仪表向你显示施加在负载电阻上的电压和电流波形。此处的电压为 ±5 V(因为源电阻和负载电阻均为 1 kΩ,分压器为 2),电流为 ±5 mA。我添加了一个小方程来计算负载中消耗的 RMS 功率(在本例中为 12.4 mW)。这是你可以从该来源获得的最大值。

图2 阻抗为1kΩ 的源与1kΩ 负载完美匹配。在这种情况下,输出功率为12.4 mW

负载不匹配

好的,让我们保持相同的源(1 kHz、10 V PP、1 kΩ),但将其连接到 4-Ω 负载。发生什么了?仿真结果 如图3所示。负载的阻抗远低于 1 kΩ,因此电源内部电阻上的电压降变得非常高,施加在负载上的电压仅为 ±40 mV。通过电路的电流为 ±10 mA,但负载中的总 RMS 功率从 12.4 mW 大幅降低至 0.197 mW。

图3 当负载严重失配时(此处为 1 kΩ 至 4 Ω),传输的功率非常小

这是阻抗不匹配问题的一个很好的例子。你可以轻松地复制它。打开低频发生器,将其设置为 1 kHz(或使用 PC 的音频输出),添加一个 1-kΩ 电阻器以模拟高输出阻抗,然后连接一个 4-Ω 扬声器。我敢肯定,你必须靠近扬声器才能听到任何声音。

想象一下,你既不能改变源的 1-kΩ 阻抗,也不能改变负载的 4-Ω 阻抗。你如何改善这种情况(即能量转移到负载)?通过在它们之间添加阻抗匹配网络。这种网络必须将 1-kΩ 阻抗转换为 4-Ω 阻抗。这必须以尽可能少的额外损耗来完成,因此甚至不要考虑添加其他电阻器。是否可以?是的,确实有两个主要的解决方案。

第一种是简单地使用变压器。想想看。高阻抗意味着电压高而电流低,而低阻抗则相反。因此,在我的示例中,你可以使用源侧匝数多于负载侧匝数的变压器。这将降低电压并增加电流,从而降低阻抗。更准确地说,初级与次级匝数比必须是阻抗比的平方根。在这种情况下,它是 15.8(即,√(1000/4)=15.8)。你可以自己尝试使用,例如,一个 230 至 15V 的小型变压器,其匝数比为 15.3(即 230/15)。这应该会显著提高音频水平。

变压器实际上是一个非常好的阻抗匹配解决方案,因为它可以在很宽的频率范围内工作。它确实主要用于音频应用,从电子管放大器到麦克风或大功率音频分配网络。但是,假设变压器对于你的应用来说过于庞大或昂贵。那么第二个解决方案就有意义了。仅使用两个无源部件,电感器或电容器,我将在一分钟内向你展示如何操作。从理论上讲,第二种方法总是可行的,但它有两个缺点。首先,部分值可能并不总是真实的,这取决于失配,其次,这种无源匹配网络本质上是窄带的。这意味着它仅在给定频率附近工作。让我们看看如何在我的示例中使用此方法。

计算这种匹配网络的最简单方法是使用在线计算工具。比如www.leleivre.com上有一个不错的 工具 ( 见图 4)。我在这里输入了设计数据:1-kHz 频率、1-kΩ 源和 4-Ω 负载。然后该工具给出了两个 LC 网络。第一种配置使用一个 2.5uF 并联电容器(接地)和一个串联 10mH 电感器。第二个使用相反的配置。我选择了后者并将其添加到仿真图中( 见图 5)。你可以仔细检查。我在源侧保留了一个 1 kΩ 电阻器和一个 4 Ω 负载。然后我添加了 L1 = 10 mH 和 C1 = 2.5µH。仿真表明负载中消耗的功率现在从 0.197 增加到 12.4 mW。请记住,这正是我们在完美匹配的 1kΩ 负载下得到的!

图4 在线匹配网络计算器示例

图5 添加 LC 匹配网络后,功率传输恢复到最佳状态 (12.4 mW)。

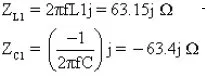
可能是一个快速的手动计算将帮助你了解正在发生的事情。我相信你还记得在 1kHz 频率下如何计算电感 L1 和电容 C1 的阻抗,对吧?我们有:

如果考虑源电阻器 (R1) 和电感器 (L1),它们是并联的。所以它们的总阻抗为:

算一下,你会得到 ZR1 + L1 = 4 + 63.4j。看,电阻部分现在是 4 Ω,根据需要,但有 +63.4j 的感抗。但是,在ZC1 = –63.4j时,添加串联电容器会抵消这个电抗,我们得到 4 Ω。

到高阻

再一次,这里没有什么魔法。这只是基本的电路行为。如果你按照我的建议使用发生器、1-kΩ 电阻器和 4-Ω 扬声器构建测试电路,我强烈建议你使用 10-mH 电感器和 2.5-µF 电容器(2.2 µF 很可能使工作)。将它们添加到电路中,你应该会从扬声器中获得更清晰的信号。

到目前为止,我已经证明了 LC 网络可以将高阻抗转换为较低的阻抗,但它也可以以另一种方式工作。在 图 6中,我以 ±1-V 源为例,仍为 1 kHz,内部电阻为 4-Ω,并通过正确的 LC 匹配网络将其连接到 220-Ω 负载,使用相同的在线工具计算,模拟表明它有效。输出功率为 31.4 mW,这是可能的最大值。你可以自己检查。这似乎并不奇怪,但请再次查看 图 6 并关注波形。匹配网络后,电压接近±4-V PP. 这高于 ±1 V 的输入电压。其他地方没有电源。该电路是完全无源的。这意味着这种从低到高的阻抗网络实际上正在增加信号电压。这与升压转换器非常相似。电感器和电容器构成一个谐振网络,从而增加电压。当然,电路不会提高输出能量,电压升高,但电流相应降低。

图6 低到高阻抗匹配网络的示例。输出电压(蓝色)几乎是源电压的四倍。

带通问题

如前所述,这种 LC 匹配网络仅在单一频率下工作。当我计算各部分的数值时,我在频率框中输入了 "1kHz"。如果输入信号的频率不再是1 kHz,同一个网络会发生什么?我让 QUCS 计算一下( 见图 7)。正如预期的那样,输出功率在单个频率(此处为 1 kHz)处最大,并且一旦频率远离该值,输出功率就会降低。更准确地说,这样的 LC 匹配网络有一个品质因数 Q,它设定了匹配的带宽。当阻抗失配变高时,Q 也会变高,从而使带宽变窄。

图7 LC 匹配网络的缺点是带宽很窄

如果你读过一本关于阻抗匹配网络的书,比如参考部分中列出的那本非常好的书,你会了解到,不仅可以使用两个L或C,还可以使用三个L或C来构建更先进的匹配网络。那里的部件可以安排成并联/串联/平行配置(所谓的pi网络),或者串联/并联/串联(T网络)。然而,可以证明,简单的LC网络实际上是提供更广泛的频率匹配。所有其他pi型或T网络将有更高的Q值,所以在频率方面会更窄。

然而,有一些技术可以获得更广泛的阻抗匹配,但这需要更多的无源器件。最简单的是链式LC方法。正如所解释的,如果输入和输出阻抗更接近,匹配网络有更宽的频率响应。因此,与其使用一个匹配网络将4Ω转换为220Ω,不如使用一个中间阻抗Z,首先将4欧姆转换为Z,然后将Z转换为220Ω。由于两者的Q值都比单一网络低,整体设计将提供一个更宽的频带。最理想的情况是将Z计算为输入和输出阻抗的几何平均值,这里分别为4和220Ω。这样,Z≈30Ω(即√800)。我计算了两个匹配网络,从4到30Ω,然后从30到220Ω,模拟结果见图8。如果你把它与以前的版本相比较,你会发现整体输出功率是相同的,但在频率方面的匹配要宽得多。当然,没有什么能阻止你使用两级以上,你将得到更广泛的匹配。不要犹豫,下载QUCS并自己测试一下吧。

图8 使用两级 LC 网络增加了匹配的通带。 

为了使事情尽可能简单,我只谈了纯电阻源和负载,但同样的计算和方法也可用于有无功负载的情况,如天线。本文中,我也避免了展示一个很棒但令人生畏的工具——史密斯图表,这将在以后的文章中介绍。

最后提醒大家,你必须相信,阻抗匹配实际上既有用又简单。而且,与往常一样,说服自己的最佳方法是亲自尝试。我希望这篇文章能帮助你迈出第一步!享受阻抗匹配的乐趣!


http://chatgpt.dhexx.cn/article/Do1ZpWkL.shtml

相关文章

如何用示波器测量输出阻抗

本文介绍了测量函数信号发生器、放大器或其他电路的输出阻抗的方法。这种方法适用于频率较低的场景,并不适应于所有的电路类型。本实验中用低频(1k Hz)的正弦波测量。 本文以汉泰的 DSO8060 为例,测量其输出阻抗,该示波器带有信号…

什么是阻抗?影响阻抗的因素有哪些?

问 什么是阻抗? 答 在具有电阻、电感和电容的电路里,对电路中的电流所起的阻碍作用叫做阻抗。 问 什么是阻抗匹配? 答 阻抗匹配是指信号源或者传输线跟负载之间达到一种适合的搭配。阻抗匹配主要有两点作用,调整负载功率和…

为什么阻抗匹配是输入阻抗与输出阻抗相等?

要说明什么是阻抗匹配,首先要知道有这么两个概念:输入阻抗和输出阻抗,那么什么是输入阻抗和输出阻抗呢? 输入阻抗Zin是由电阻或设备输入端看进去的阻抗。 而输出阻抗Zout是由设备输出端看过去的阻抗。任意电阻或设备的输出可以等…

输入阻抗-输出阻抗-阻抗匹配原理详解

本文转载来源:阻抗匹配是什么意思_阻抗匹配原理详解-电子发烧友网 (elecfans.com) 本文主要详解什么是阻抗匹配,首先介绍了输入及输出阻抗是什么,其次介绍了阻抗匹配的原理,最后阐述了阻抗匹配的应用领域。 一、输入阻抗 输入阻抗…

什么是阻抗?

目录 1、电阻和阻抗 2、电容和阻抗 3、电感和阻抗 在电子产品设计时,经常听到工程师说:阻抗多少?阻抗匹配吗? 那么什么是阻抗? 在一般状态下,导体多少都存有阻止电流流动的作用,其阻止程度…

二端口输入阻抗和输出阻抗

1、输入阻抗和输出阻抗定义: 实际中用的基本都是二端口网络,以二端口电路说明。(还有二端口的其他参数:Y参数、Z参数、T参数、H参数,请参考《电路》。) 二端口输入阻抗和输出阻抗定义参考链接&#xff1a…

阻抗、输入阻抗、特性阻抗……傻傻分不清楚

有时候,发现对各种阻抗傻傻分不清楚,“好记性不如烂笔头”,那就把它们一个个写下来。 01.阻抗 具有电阻、电感和电容的电路,对电路中的电流所起的阻碍作用叫做阻抗。阻抗又称为交流(AC)电阻,它…

深入浅出理解输入输出阻抗-音频电路输入输出阻抗

输入阻抗,输出阻抗,这两个参数似乎没那么重要,但事实并非如此。下面说下我的看法吧。 一个问题 音频中的耦合电容从0.1uF-220uF都有,这是有病吗?都是用作隔离直流的,怎么就不能统一呢? 明白…

输入阻抗如何测量?

原文来自微信公众号【小小的电子之路】 输入阻抗是指从电路的输入端看进去所得到的等效阻抗,它可以反映电路从信号源获取电压或者电流的能力。 1、输入阻抗 假设一个电路的输入阻抗为Zin,该电路采用电压源供电,实际电压源总存在内阻Zs&…

输入阻抗,输出阻抗

输入输出阻抗,是怎么玩的?你会不? 很多同学还搞不清楚输入阻抗和输出阻抗这两个参数,我就截取一段来给大家看看。 输入阻抗,输出阻抗,这两个参数似乎没那么重要,但事实并非如此。 我们经常会看…

浅谈输入阻抗、输出阻抗和阻抗匹配

一、关于阻抗的基本概念 首先说说电阻(Resistance),在电路中对电流通过具有阻碍作用,并且造成能量消耗的部分,称为电阻。电阻常用R表示,单位欧姆(Ω),导体电阻值由导体的材料、横截面…

输入阻抗和输出阻抗概念

一、输入阻抗 输入阻抗是指一个电路输入端的等效阻抗。在输入端上加上一个电压源U,测量输入端的电流I,则输入阻抗Rin就是U/I。你可以把输入端想象成一个电阻的两端,这个电阻的阻值,就是输入阻抗。 输入阻抗跟一个普通的电抗元件没什么两样&a…

输入电阻、输出电阻、特性阻抗、阻抗匹配

一、输入阻抗和输出阻抗 1.输入阻抗 输入阻抗(input impedance)是指一个电路输入端的等效阻抗。在输入端上加上一个电压源U,测量输入端的电流I,则输入阻抗Rin就是U/I。你可以把输入端想象成一个电阻的两端,这个电阻的阻值&#…

IC基础知识3-输入阻抗和输出阻抗

目录 1. 计算方法2. 计算举例 1. 计算方法 输入阻抗:通过在输入端加上一个电压源U,测试输入端的电流I,则输入阻抗RinU/I。输入阻抗越大越好,电阻越大,可以得到的分压越大,驱动能力越强。输入阻抗越大&…

电路中的输入输出阻抗以及阻抗匹配

## 输入输出阻抗和阻抗匹配 输入输出阻抗和阻抗匹配 输入输出阻抗和阻抗匹配 输入输出阻抗定义一、电压驱动电路二、电流驱动电路三、总结参考资料 输入输出阻抗和阻抗匹配 输入输出阻抗定义 输入阻抗:是指一个电路输入端的等效阻抗。在输入端上加上一个电压源U&am…

ReactiveX -Rx

转载:https://www.open-open.com/lib/view/open1440166491833.html ReactiveX是Reactive Extensions的缩写,一般简写为Rx,最初是LINQ的一个扩展,由微软的架构师Erik Meijer领导的团队开发,在2012年11月开源&#xff0c…

Java中ReactiveX(RxJava)的使用

1.1 ReactiveX概述 ReactiveX官网:ReactiveX 1.1.1 Android的MVP开发模式 MVP的工作流程 Presenter负责逻辑的处理Model提供数据View负责显示 作为一种新的模式,在MVP中View并不直接使用Model,它们之间的通信是通过Presenter来进行的&am…

ReactiveX-Observable

Observable (此篇文章翻译自ReactiveX的官方文档) 在ReactiveX中,Observer(观察者)订阅了一个Observable(观察对象)。那么这个观察者会对观察对象发生的任何单一的变化,或者是一连串的变化做出…

ReactiveX 简介

Observable 在ReactiveX中,观察者订阅了一个Observable。然后,该观察者对Observable发出的任何项目或项目序列做出反应。 这种模式有利于并发操作,因为它不需要在等待Observable发出对象时阻塞,而是以观察者的形式创建一个哨兵&…

ReactiveX简介

一、ReactiveX简介 在学习RxJava前首先需要了解ReactiveX,因为RxJava是ReactiveX的一种Java的实现形式。 ReactiveX的官网地址为: http://reactivex.io/ReactiveX官网对于自身的介绍是: An API for asynchronous programming with observa…