阻抗、输入阻抗、特性阻抗……傻傻分不清楚

article/2025/10/23 8:30:29

有时候,发现对各种阻抗傻傻分不清楚,“好记性不如烂笔头”,那就把它们一个个写下来。
在这里插入图片描述
01.阻抗
具有电阻、电感和电容的电路,对电路中的电流所起的阻碍作用叫做阻抗。阻抗又称为交流(AC)电阻,它适用于所有的电路元件,而不仅仅适用于电阻器。
在这里插入图片描述
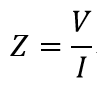
02.输入阻抗
一个电路输入端的等效阻抗,称之为输入阻抗。输入阻抗没有固定的值,从传输线前端看进去的输入阻抗随时间而变化,随着端接、线长和测量时间(往返时间)的不同,输入阻抗可以为任意值。
在这里插入图片描述
03.输入阻抗
信号每一步感受到的阻抗称为瞬时阻抗。举例来说,信号在传输线中,信号所受到的瞬时阻抗仅由传输线的两个固有参数–传输线的横截面和材料特性共同决定,与传输线的长度无关。

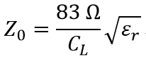
04.特性阻抗
特性阻抗的数值上与均匀传输线的瞬时阻抗相等,它是传输线的固有属性,且仅与材料特性、介电常数和单位长度电容有关,而与传输长度无关。

对于均匀传输线,其特性阻抗为:
在这里插入图片描述
特性阻抗值的选择,并不是唯一的,一般采用50,是因为衰减可以降到最低。

05.电阻
说到电阻,一般是针对直流的情况。在直流电中,物体对电流阻碍的作用叫做电阻。电阻是电阻器这类理想元件的固有品质因数。

06.电抗
在交流电的领域中则除了电阻会阻碍电流以外,电容及电感也会阻碍电流的流动,这种作用就称之为电抗。

电容的电抗称作电容抗,简称容抗。

电容的电抗称作电感抗,简称感抗。

关于电阻、容抗和感抗相关的关系,搞懂下面的公式:

在这里插入图片描述
07.总结
虽然阻抗、输入阻抗、瞬时阻抗和特性阻抗听起来很相似,但它们之间有很大的区别,如果仅仅说“阻抗”,就很含糊,还是说得清楚明白一点。


http://chatgpt.dhexx.cn/article/14IWPPZS.shtml

相关文章

深入浅出理解输入输出阻抗-音频电路输入输出阻抗

输入阻抗,输出阻抗,这两个参数似乎没那么重要,但事实并非如此。下面说下我的看法吧。 一个问题 音频中的耦合电容从0.1uF-220uF都有,这是有病吗?都是用作隔离直流的,怎么就不能统一呢? 明白…

输入阻抗如何测量?

原文来自微信公众号【小小的电子之路】 输入阻抗是指从电路的输入端看进去所得到的等效阻抗,它可以反映电路从信号源获取电压或者电流的能力。 1、输入阻抗 假设一个电路的输入阻抗为Zin,该电路采用电压源供电,实际电压源总存在内阻Zs&…

输入阻抗,输出阻抗

输入输出阻抗,是怎么玩的?你会不? 很多同学还搞不清楚输入阻抗和输出阻抗这两个参数,我就截取一段来给大家看看。 输入阻抗,输出阻抗,这两个参数似乎没那么重要,但事实并非如此。 我们经常会看…

浅谈输入阻抗、输出阻抗和阻抗匹配

一、关于阻抗的基本概念 首先说说电阻(Resistance),在电路中对电流通过具有阻碍作用,并且造成能量消耗的部分,称为电阻。电阻常用R表示,单位欧姆(Ω),导体电阻值由导体的材料、横截面…

输入阻抗和输出阻抗概念

一、输入阻抗 输入阻抗是指一个电路输入端的等效阻抗。在输入端上加上一个电压源U,测量输入端的电流I,则输入阻抗Rin就是U/I。你可以把输入端想象成一个电阻的两端,这个电阻的阻值,就是输入阻抗。 输入阻抗跟一个普通的电抗元件没什么两样&a…

输入电阻、输出电阻、特性阻抗、阻抗匹配

一、输入阻抗和输出阻抗 1.输入阻抗 输入阻抗(input impedance)是指一个电路输入端的等效阻抗。在输入端上加上一个电压源U,测量输入端的电流I,则输入阻抗Rin就是U/I。你可以把输入端想象成一个电阻的两端,这个电阻的阻值&#…

IC基础知识3-输入阻抗和输出阻抗

目录 1. 计算方法2. 计算举例 1. 计算方法 输入阻抗:通过在输入端加上一个电压源U,测试输入端的电流I,则输入阻抗RinU/I。输入阻抗越大越好,电阻越大,可以得到的分压越大,驱动能力越强。输入阻抗越大&…

电路中的输入输出阻抗以及阻抗匹配

## 输入输出阻抗和阻抗匹配 输入输出阻抗和阻抗匹配 输入输出阻抗和阻抗匹配 输入输出阻抗定义一、电压驱动电路二、电流驱动电路三、总结参考资料 输入输出阻抗和阻抗匹配 输入输出阻抗定义 输入阻抗:是指一个电路输入端的等效阻抗。在输入端上加上一个电压源U&am…

ReactiveX -Rx

转载:https://www.open-open.com/lib/view/open1440166491833.html ReactiveX是Reactive Extensions的缩写,一般简写为Rx,最初是LINQ的一个扩展,由微软的架构师Erik Meijer领导的团队开发,在2012年11月开源&#xff0c…

Java中ReactiveX(RxJava)的使用

1.1 ReactiveX概述 ReactiveX官网:ReactiveX 1.1.1 Android的MVP开发模式 MVP的工作流程 Presenter负责逻辑的处理Model提供数据View负责显示 作为一种新的模式,在MVP中View并不直接使用Model,它们之间的通信是通过Presenter来进行的&am…

ReactiveX-Observable

Observable (此篇文章翻译自ReactiveX的官方文档) 在ReactiveX中,Observer(观察者)订阅了一个Observable(观察对象)。那么这个观察者会对观察对象发生的任何单一的变化,或者是一连串的变化做出…

ReactiveX 简介

Observable 在ReactiveX中,观察者订阅了一个Observable。然后,该观察者对Observable发出的任何项目或项目序列做出反应。 这种模式有利于并发操作,因为它不需要在等待Observable发出对象时阻塞,而是以观察者的形式创建一个哨兵&…

ReactiveX简介

一、ReactiveX简介 在学习RxJava前首先需要了解ReactiveX,因为RxJava是ReactiveX的一种Java的实现形式。 ReactiveX的官网地址为: http://reactivex.io/ReactiveX官网对于自身的介绍是: An API for asynchronous programming with observa…

搭建物联网服务器(一):购买阿里云服务器

一、购买阿里云服务器 2019年双十一一起拼团抢购阿里云服务器,一年86元钱;打算做个物联网的服务器玩玩; 二、解决问题 阿里云经常出现连接中断,查出问题是服务器的保活机制影响链接,于是进行处理; 解决方…

物联网服务器协议命令,物联网使用HTTP协议传输数据

物联网设备使用HTTP协议传输数据也是一种常用的方式,而且HTTP协议是个很成熟的东西,在服务器上很容易部署。 HTTP协议并不是很复杂的东西。其处在互联网的应用层,因此这个协议只是规定了数据包的格式。具体的数据传递则是由TCP/IP来实现的。 …

物联网协议(设备到物联网服务)

物联网中的网络分为设备到设备的网络与设备到物联网服务的网络。其中,设备到物联网服务的网络通信协议有HTTP,Websocket,MQTT等。 HTTP协议 HTTP(超文本传输协议)是一个负责从万维网服务器获取超文本到本地浏览器的传…

物联网系统上位机源码,含服务器和客户端 物联网服务端程序

物联网系统上位机源码,含服务器和客户端 物联网服务端程序,可以接受市面上大多数透传数据的DTU登录,以及和DTU双向通讯 程序功能:能分组管理,不同的组别用户只可见自己组别的设备,设备和客户端登录掉线直观…

物联网python开发实践

文章目录 第1章 物联网邂逅python物联网组成架构发展现状典型应用使用python的理由python与网关/云平台 第2章 开启python之旅版本选择、搭建开发环境python语言介绍 第3章 python数据结构第4章 python高级特性第5章 物联网核心组件网络通信方案网络通信协议硬件物联网云平台 第…

物联网系统怎么部署服务器,如何搭建物联网云服务器

如何搭建物联网云服务器 内容精选 换一换 创建并登录弹性云服务器,请参见《弹性云服务器快速入门》中“购买弹性云服务器”和“登录弹性云服务器”。该弹性云服务器用于连接文档数据库实例,需要与待连接的实例处于同一虚拟私有云子网内。创建弹性云服务器时,要选择操作系统,…

DGIOT物联网开源平台——腾讯云轻量应用服务器部署

为了节省开发者和实施工程师的时间,降低部署难度,本文提供了一套基于linux系统的一键式部署方式,以便快速交付,提升学习和商用部署的效率。 安装部署 1.服务器(本案例采用腾讯云服务器作为示例) 腾讯云地…