二维傅里叶变换深度研究-图像与其频域关系

article/2025/10/3 1:47:39

一:二维傅里叶变换的数学原理

1.2D离散傅里叶公式解释:

那么,其F(u,v) 本质就是:

                                            

后续说明时的”频域”均指的其傅里叶功率谱,后面为了演示方便,所有频域图均经过了fftshift移动到中心位置。

2.2D傅里叶频率图理解:

1).二维cos函数及其F(u,v)

A.图像:cos(0.3x+0.3y),其频域上出现2个极值点,及对应其cos(0.3x+0.3y)函数本身

B.图像:cos(0.3x+0.3y)+ cos(0.3x-0.3y),该图像表现为规则点阵,其傅里叶频域图上则按预期的出现4个极值点

C.图像:cos(0.3x+0.3y)+ cos(0.3x-0.3y)+cos(0.6x+0.4y),同理,会出现6个极值点

2).F(u,v)图意义

F(u,v)图像每一点意义可用如下图清晰解释[1]:

即频谱图像的每一点即表示一个cos函数,点的位置即表示该函数的w1和w2

以下我们通过使用有限个cos函数图像来进行合成lena图像

其中傅里叶频谱图上点的强度表示了求和时的cos函数的权值,越白表示权值越大。从上图可看到,仅使用低频部分的几十个cos函数已基本合成了lena。

二.2-D FFT主要性质

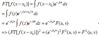
1.理解2D-FFT的平移不变性:

我们用1维公式进行推导:

所以不管1D,还是2D,平移不影响频域功率图,我们通过以下事例来说明该结论

 

     

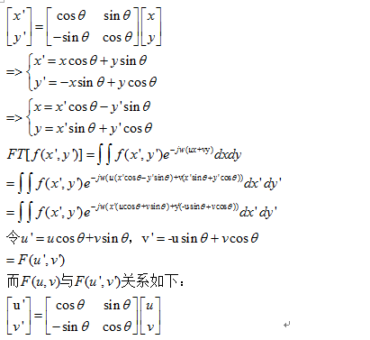
2.理解2D-FFT的旋转同步性:

1)旋转同步性的数学推导:

可见f(x,y)与旋转 后的f(x’,y’)的频域图形也同步为 的偏差

2)旋转同步性的图示:

我们通过如下水平与逆时针15°的图像作为说明

   

三.经典基本图像的频谱图

1.高斯图像的傅里叶变化:

1)高斯点频域的数学推导

为便于推导,我们选择1维高斯函数作为数学说明

即高斯点的频域图还是高斯点,只是方差对应成倒数关系,即时域中高斯函数方差越大,对应频域图像的方差越小。

我们可以想一下高斯低通滤波器,当我们想要一个非常低通的滤波器时:

    频域:要求截止频率很低,也即要该滤波器的非常接近中心,视觉上则表现为高斯函数方差很大。

    时域:需要一个非常低的低通滤波器,我们则要求其核半径非常大,该滤波器视觉上表现为方差非常小。

2)高斯点频域图示

我们通过2个方差不同的高斯点进行说明

     

3)多个高斯点的频域图

该结论同样适合于任何其他图形的叠加,我们通过不同位移量的高斯点进行说明:

       

2.box(sinc)图像的傅里叶变化:

1)box函数数学说明

2)box函数频域图像说明

我们通过不同长宽的数据进行说明:

可以看到,长和高分别变化,会引起频域上其对应的sin相应变化

3)Box函数特例:直线函数

直线可看成box函数的特例,即长宽比特别大的:边长越长,对应方向块效应频率越高;边长越短,对应方块效应频率越低。

A.宽变换:

可以看到,随着宽的变短,水平方向的频率不断变少,最终变成频率为0的常数sin

B.长变化:

可以看到,随着长不断边长,垂直方向线段频率逐渐变高,最终达到1pixel的极限

3.圆域图像的傅里叶变化:

1)圆域函数的数学说明

圆域函数的FT推导需要用到贝塞尔公式,比较复杂。但是可以大致这样认为:

我们可以将圆看成有限个直线的求和,由

结合FT的可加性、旋转同步性、直线函数频域图像,可以推测圆域函数的FT应该类似于直线一样是成周期性的衰减圆环状。

和直线同样性质,圆越大,圆环的频率越高,我们通过如下不同半径的圆进行说明

2)圆环函数

四.部分真实图像的傅里叶变化:

1.牛顿环:

FT后,仍然是环状,因为牛顿环可以看成多个圆域函数的线性叠加

2.特斯拉标记:

2.1 频域与图像对应

该图像主要以几条曲线构成,可以很容易发现该频域图像与其时域的对应关系。

2.2 图像边缘对频谱的影响

可以看到上面2.1中的特斯拉图像取反前后,频域的图像几乎没变化,这符合预期,因为关键的边界信息是相同的。但是取反后中间垂直的2条亮线没有了,这个是由于边缘导致

当背景有颜色时,图像的边缘即构成水平和垂直的阶跃信号,所以我们实际使用的大部分图像,几乎都可以看到其频谱图出现中间2条周期亮线的情况。

2.3 如何消除图像边缘对频谱的影响

图像边缘的阶跃效应会导致频域图中,出现中心两条带旁瓣的亮线,这有时会干扰我们对水平/垂直规律信号的分析。

我们对lena进行FT,如预期的,中心出现亮线。

接下来我们对边缘进行衰减,即可大大降低边缘阶跃效应。可以看到,边缘衰减后,FT图的中心亮线几乎消失。

3.指纹图像:

指纹的纹路是在一个较窄带的范围的纹路信号,其图像可以近似成有限个一定周期、不同方向的cos函数叠加,所以指纹的频谱能量会主要集中在一个环带范围内。下图可以明显看到,其频域图中有一个较亮的环状带。

 

特别说明:

[1].知乎-阿姆斯特朗

[2].数字图像处理-冈萨雷斯

由于原稿是在word中编辑,文中带有公式的段落是直接贴图,可能导致排布不对齐,见谅。


http://chatgpt.dhexx.cn/article/8lXsAXkd.shtml

相关文章

使用matlab对图像进行二维傅里叶变换

这学期选了《图像工程基础》这门课,课上老师留了一个作业:对图像进行二维傅里叶变换。 现在我使用matlab解决这个问题 1.实验基本指令 首先我试了一下matlab图像处理的基本指令 原图: 经过以下指令后 将图片导入matlab后,命名…

二维离散傅里叶变换

在学完一维的傅里叶变换后,紧接着就是二维的傅里叶变换了。直接上干货吧!!! 途中会用到opencv读取与显示图片。 一. 公式 M表示图像的行数,N表示图像的列数。 经过欧拉公式可以得一下形式,这样就可以轻松…

Matlab图像的二维傅里叶变换频谱图特点研究

一、先放一些相关的结论&#xff1a; 1、傅里叶变换的幅值称为傅里叶谱或频谱。 2、F(u)的零值位置与“盒状”函数的宽度W成反比。 3、卷积定理&#xff1a;空间域两个函数的卷积的傅里叶变换等于两个函数的傅里叶变换在频率域中的乘积。f(t)*h(t) <> H(u)F(u) 4、采…

OpenCV学习——图像二值化处理及二维傅里叶变换

小古在本学期选修了《计算机视觉原理与应用》&#xff0c;最近有一份作业 —— 利用matlab或者OpenCV对图像进行一些处理&#xff0c;由于完全没有接触过matlab和OpenCV,但是学习了一些python语言&#xff0c;所以便利用opencv-python来完成作业。 1 图像二值化处理 1.1 图像…

二维傅里叶变换是怎么进行的?

1.首先回顾一下一维FT 通俗来讲&#xff0c;一维傅里叶变换是将一个一维的信号分解成若干个三角波。 对于一个三角波而言&#xff0c;需要三个参数来确定它&#xff1a;频率,幅度 A &#xff0c;相位。因此在频域中&#xff0c;一维坐标代表频率&#xff0c;而每个坐标对应的…

二维傅里叶变换需知

from: https://blog.csdn.net/wenhao_ir/article/details/51037744 代码如下&#xff0c;这个代码是实现灰度图像作二维傅里叶变换后的非线性变换哈~ clear all; Iimread(coins.png); Ffft2((im2double(I))); Ffftshift(F); Fabs(F); Tlog(F1); subplot(1,2,1); imshow(F,[]…

傅里叶级数、一维傅里叶变换到二维傅里叶变换数理推导

傅里叶级数、一维傅里叶变换到二维傅里叶变换数理推导 参考资料&#xff1a; 如何理解傅里叶级数公式 二重傅里叶级数 从傅里叶级数到傅里叶变换 高维傅里叶变换的推导 连续傅里叶变换和离散傅里叶变换 二维离散傅里叶变换 IDL实现傅里叶变换 想要用傅里叶变换的思维处理一个…

二维傅里叶变换简化方式

在处理二维矩阵时&#xff0c;常想着如何把时域转换到频域来处理&#xff0c;因此翻来了以往数分里面的常用的傅里叶(Fourier Transform); &#xff08;Notes:一下公式中 M,N分别为二维矩阵的列数和行数&#xff0c;f(x,y) 代表改二维矩阵&#xff0c;F(u,v)为转换后的矩阵&…

C++中fftw库二维傅里叶变换笔记

目录 1.相关基础知识参考链接 2.二维傅里叶变换作用简介 3.FFTW二维傅里叶变换输出分析 &#xff08;1&#xff09;原始输出数据​ &#xff08;2&#xff09;频谱中心化后的输出数据 4.频谱图绘制 5.二维傅里叶变换逆变换 6.从输出结果中分离各平面波并画出波形平面图…

二维傅里叶变换的理解和使用

目录 似模似样的前言一维傅里叶二维傅里叶 似模似样的前言 最近的瑕疵检测项目需要在有纹理的产品上做很细致的检测。由于当前做项目使用的还是halcon居多&#xff0c;目前知道的方法还是傅里叶变换比较靠谱。 但仅靠halcon自带的样例并不能很好的理解和使用傅里叶&#xff0…

二维傅里叶变换频谱图的直观理解

众所周知&#xff1a;频谱中心代表低频&#xff0c;四周代表高频。 问&#xff1a;那&#xff08;u&#xff0c;v&#xff09;一点代表什么&#xff1f; 答&#xff1a; 1.当为水平方向的正弦图片时&#xff0c;二维傅里叶变换后&#xff0c;其只有u方向的频谱值&#xff1b; 2…

Matlab:二维傅里叶变换

Matlab:二维傅里叶变换 二维傅里叶变换二维衍射模式fft2 函数将二维数据变换为频率空间。例如,您可以变换二维光学掩膜以揭示其衍射模式。 二维傅里叶变换 以下公式定义 mn 矩阵 X 的离散傅里叶变换 Y。 i 是虚数单位,p 和 j 是值范围从 0 到 m–1 的索引,q 和 k 是值范围…

matlab二维傅里叶变换ffshift,形象理解二维傅里叶变换

点击上方“机器学习与生成对抗网络”,关注"星标" 获取有趣、好玩的前沿干货! 来自 | 知乎 阿姆斯特朗 链接 | https://zhuanlan.zhihu.com/p/110026009 文仅交流,侵删 1.回顾一下一维FT 公式: 通俗来讲,一维傅里叶变换是将一个一维的信号分解成若干个复指数波 …

傅里叶变换(二维离散傅里叶变换)

离散二维傅里叶变换 一常用性质&#xff1a; 可分离性、周期性和共轭对称性、平移性、旋转性质、卷积与相关定理&#xff1b; &#xff08;1&#xff09;可分离性&#xff1a; 二维离散傅里叶变换DFT可分离性的基本思想是DFT可分离为两次一维DFT。因此可以用通过计算两次一维…

二维傅里叶变换

fft2 函数将二维数据变换为频率空间。例如&#xff0c;可以变换二维光学掩膜以揭示其衍射模式。 二维傅里叶变换 以下公式定义 mn 矩阵 X 的离散傅里叶变换 Y。 和 是以下方程所定义的复单位根。 i 是虚数单位&#xff0c;p 和 j 是值范围从 0 到 m–1 的索引&#xff0c;q …

【深度好文】二维图像傅里叶变换 YYDS

1. 傅里叶变换原理 在数学中进行傅里叶变换为连续模拟信号&#xff0c;通常来说&#xff1a; 二维连续函数f(x,y)的傅里叶正变换为&#xff1a; 相应的傅里叶逆变换公式为&#xff1a; 但是在计算机领域&#xff0c;计算机一般处理的是数字信号&#xff0c;只能进行有限次计…

微信公众号开发模式没有域名怎么办?申请免费域名

微信公众号开发采用前后端分离模式&#xff0c;那么前端使用微信开发工具开发时&#xff0c;需要域名才能访问&#xff0c;那么域名从何而来呢&#xff1f; 1、申请域名 a)、NetApp申请免费域名 : https://natapp.cn/login b)、域名申请好以后&#xff0c;下载客户端&#xf…

freenom 申请免费域名

为了降低建站成本&#xff0c;可在freenom上申请免费域名&#xff0c;可以免费使用一年。 一. 注册域名 登录freenom.com&#xff0c;输入域名&#xff0c;检测通过后&#xff0c;输入邮箱&#xff0c;登录邮箱完成激活。 二. 配置DNS 上面申请的域名未绑定外网ip&#xff0c…

如何注册一个免费的网站空间和域名

https://www.jianshu.com/p/016c83f70d43 前几天想搞个网站玩玩&#xff0c;于是就上网搜哪里可以注册免费的网站空间和域名&#xff0c;折腾了好几天都没注册成&#xff0c;国内好像已经没有免费的了。只好用英文去搜国外的网站&#xff0c;才找到了一个能注册成功的&#xff…

Freenom免费域名申请

Freenom免费域名申请 准备条件操作流程注意选择域名确定并提交订单方法一(谷歌&#xff0c;FaceBook)方法二(开发者邮箱注册) 注册谷歌&#xff0c;Facebook 注册 防订单失败操作 准备条件 必须拥有一个 谷歌账号 或 Facebook 账号 亦或者 拥有一个 未注册Freenom的邮箱 登录 …