傅里叶级数、一维傅里叶变换到二维傅里叶变换数理推导

article/2025/10/3 2:18:41

傅里叶级数、一维傅里叶变换到二维傅里叶变换数理推导

参考资料:
如何理解傅里叶级数公式
二重傅里叶级数
从傅里叶级数到傅里叶变换
高维傅里叶变换的推导
连续傅里叶变换和离散傅里叶变换
二维离散傅里叶变换
IDL实现傅里叶变换

想要用傅里叶变换的思维处理一个时序数据,将时序信息转换为参数信息,实现降维的目的。大致了解了一下傅里叶级数,如何从傅里叶级数转到傅里叶变换以及一维傅里叶变换和二维傅里叶变换的过渡,傅里叶变换的求解,快速傅里叶变换等知识。
傅里叶变换是一种从时域信息转为频域信息的手段,可以理解为从不同的角度来观察一个事物,例如总是被用来举例的听到的钢琴曲和乐谱,就是一个是时域一个频域,但是无论是时间维度听到的钢琴声还是频域维度看到的乐谱,他俩实质上描述的东西是一样的。

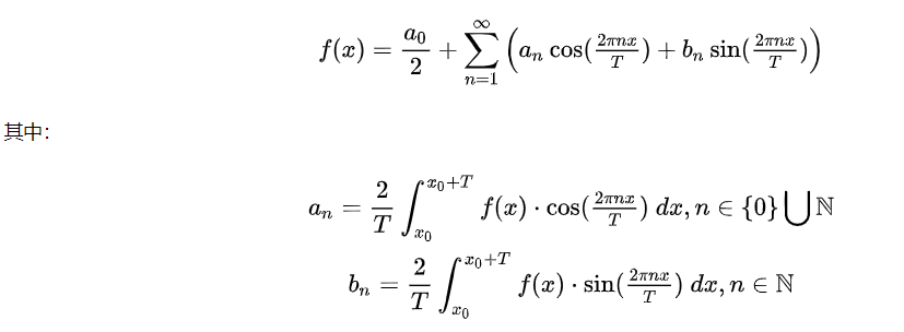
傅里叶级数

首先是傅里叶级数的概念以及这个概念被提出来的初衷。
最早,数学家发现某些周期函数可以由三角函数的和来表示,后来又有人猜测任意周期函数都可以写为三角函数之和。只需要三角函数之和函数满足以下几点:1)有常数项;2)同时包含奇函数和偶函数来组合出任意函数;3)周期与原函数周期相同,为T;4)可以调整振幅来逼近原函数(也就是系数项)。
构造出来的三角函数之和函数大致如下:
在这里插入图片描述
接下来的重点是如何来确定参数:
在这里插入图片描述
在确定参量的时候,引入欧拉公式:
在这里插入图片描述
最终得到的系数表达式为:
在这里插入图片描述
具体的函数构造以及求解原理可以参照博客如何理解傅里叶级数公式。

傅里叶变换

傅立叶级数是基于周期函数的,如果我们把周期推广到无穷,那么也就变为了非周期函数,这就是傅立叶变换。
在这里插入图片描述

一维傅里叶变换到二维傅里叶变换

对于傅里叶变换从一维到二维的扩展,主要参照知乎的一个回答
类比于一维傅里叶变换将一个函数分解成若干个一维的简单函数(正弦波)之和,二维傅里叶变换将一个图像分解成若干个正弦平面波之和。如下图:
在这里插入图片描述
在这里插入图片描述
二维离散傅里叶变换
二维离散傅里叶变换DFT可分离性的基本思想是DFT可分离为两次一维DFT。因此可以用通过计算两次一维的FFT来得到二维快速傅里叶FFT算法。根据快速傅里叶变换的计算要求,需要图像的行数、列数均满足2的n次方,如果不满足,在计算FFT之前先要对图像补零以满足2的n次。
一个M行N列的二维图像f(x,y),先按行队列变量y做一次长度为N的一维离散傅里叶变换,再将计算结果按列向对变量x做一次长度为M傅里叶变换就可以得到该图像的傅里叶变换结果,如式所示:
在这里插入图片描述
将上式分解开来就是如下的两部分,先得到F(x,v),再由F(x,v)得到F(u,v):
在这里插入图片描述
每一行由N个点,对每一行的一维N点序列进行离散傅里叶变换得到F(x,u),再对得到F(x,u)按列向对每一列做M点的离散傅里叶变换,就可以得到二维图像f(x,y)的离散傅里叶变换F(u,v).
在这里插入图片描述
同样,做傅里叶逆变换时,先对列向做一维傅里叶逆变换,再对行做一维逆傅里叶变换,如下式所示:
在这里插入图片描述


http://chatgpt.dhexx.cn/article/mKlZS8kt.shtml

相关文章

二维傅里叶变换简化方式

在处理二维矩阵时,常想着如何把时域转换到频域来处理,因此翻来了以往数分里面的常用的傅里叶(Fourier Transform); (Notes:一下公式中 M,N分别为二维矩阵的列数和行数,f(x,y) 代表改二维矩阵,F(u,v)为转换后的矩阵&…

C++中fftw库二维傅里叶变换笔记

目录 1.相关基础知识参考链接 2.二维傅里叶变换作用简介 3.FFTW二维傅里叶变换输出分析 (1)原始输出数据​ (2)频谱中心化后的输出数据 4.频谱图绘制 5.二维傅里叶变换逆变换 6.从输出结果中分离各平面波并画出波形平面图…

二维傅里叶变换的理解和使用

目录 似模似样的前言一维傅里叶二维傅里叶 似模似样的前言 最近的瑕疵检测项目需要在有纹理的产品上做很细致的检测。由于当前做项目使用的还是halcon居多,目前知道的方法还是傅里叶变换比较靠谱。 但仅靠halcon自带的样例并不能很好的理解和使用傅里叶&#xff0…

二维傅里叶变换频谱图的直观理解

众所周知:频谱中心代表低频,四周代表高频。 问:那(u,v)一点代表什么? 答: 1.当为水平方向的正弦图片时,二维傅里叶变换后,其只有u方向的频谱值; 2…

Matlab:二维傅里叶变换

Matlab:二维傅里叶变换 二维傅里叶变换二维衍射模式fft2 函数将二维数据变换为频率空间。例如,您可以变换二维光学掩膜以揭示其衍射模式。 二维傅里叶变换 以下公式定义 mn 矩阵 X 的离散傅里叶变换 Y。 i 是虚数单位,p 和 j 是值范围从 0 到 m–1 的索引,q 和 k 是值范围…

matlab二维傅里叶变换ffshift,形象理解二维傅里叶变换

点击上方“机器学习与生成对抗网络”,关注"星标" 获取有趣、好玩的前沿干货! 来自 | 知乎 阿姆斯特朗 链接 | https://zhuanlan.zhihu.com/p/110026009 文仅交流,侵删 1.回顾一下一维FT 公式: 通俗来讲,一维傅里叶变换是将一个一维的信号分解成若干个复指数波 …

傅里叶变换(二维离散傅里叶变换)

离散二维傅里叶变换 一常用性质: 可分离性、周期性和共轭对称性、平移性、旋转性质、卷积与相关定理; (1)可分离性: 二维离散傅里叶变换DFT可分离性的基本思想是DFT可分离为两次一维DFT。因此可以用通过计算两次一维…

二维傅里叶变换

fft2 函数将二维数据变换为频率空间。例如,可以变换二维光学掩膜以揭示其衍射模式。 二维傅里叶变换 以下公式定义 mn 矩阵 X 的离散傅里叶变换 Y。 和 是以下方程所定义的复单位根。 i 是虚数单位,p 和 j 是值范围从 0 到 m–1 的索引,q …

【深度好文】二维图像傅里叶变换 YYDS

1. 傅里叶变换原理 在数学中进行傅里叶变换为连续模拟信号,通常来说: 二维连续函数f(x,y)的傅里叶正变换为: 相应的傅里叶逆变换公式为: 但是在计算机领域,计算机一般处理的是数字信号,只能进行有限次计…

微信公众号开发模式没有域名怎么办?申请免费域名

微信公众号开发采用前后端分离模式,那么前端使用微信开发工具开发时,需要域名才能访问,那么域名从何而来呢? 1、申请域名 a)、NetApp申请免费域名 : https://natapp.cn/login b)、域名申请好以后,下载客户端&#xf…

freenom 申请免费域名

为了降低建站成本,可在freenom上申请免费域名,可以免费使用一年。 一. 注册域名 登录freenom.com,输入域名,检测通过后,输入邮箱,登录邮箱完成激活。 二. 配置DNS 上面申请的域名未绑定外网ip&#xff0c…

如何注册一个免费的网站空间和域名

https://www.jianshu.com/p/016c83f70d43 前几天想搞个网站玩玩,于是就上网搜哪里可以注册免费的网站空间和域名,折腾了好几天都没注册成,国内好像已经没有免费的了。只好用英文去搜国外的网站,才找到了一个能注册成功的&#xff…

Freenom免费域名申请

Freenom免费域名申请 准备条件操作流程注意选择域名确定并提交订单方法一(谷歌,FaceBook)方法二(开发者邮箱注册) 注册谷歌,Facebook 注册 防订单失败操作 准备条件 必须拥有一个 谷歌账号 或 Facebook 账号 亦或者 拥有一个 未注册Freenom的邮箱 登录 …

【免费域名】教你免费申请顶级域名

一、输入网址 :https://my.freenom.com/ 二、点击Service->Register a New Domain,注意这里有网络延时至少30秒 三、输入自己想要的域名,点击Check Avaliability,比如我的是abc5500,延时10秒 四、Get it now! ->…

免费域名证书最新申请方式大全

目前市场环境下,可获得域名SSL证书的方式有很多,一般有付费和免费划分。对于想免费使用域名SSL证书的朋友,这里收集整理了几个常用的SSL证书申请方式。 对于SSL证书的用处,简单的来说,就是加密数据传输,使…

免费域名申请及免费DNS解析

一:免费域名申请 1:freenom免费域名申请(有效期12个月) 我是通过科学上网才申请成功。普通方式申请容易出现各种问题不成功。因为freenom网站要连接国外各种服务器检测域名的可用性。 如下图申请成功的域名: 域名再DNS…

freenom域名申请教程

freenom域名申请教程 1. 注册&申请域名 打开freenom官网,注册一个账户【注意:如果没有明显的注册按钮,可以通过如下方式同时申请域名和注册账户】 打开域名申请【不用注册】 选择好了域名之后,点击Checkout;选择…

freenom免费域名的申请+cloudflare(域名代理解析)

视频网址:公众号知识浅谈回复 freenom+cloudflare 领取 第一步:注册 freenom{申请免费域名}: https://my.freenom.com/ 注册步骤 首页->partners->Devlopers->下滑找到Get a Random Domains Account today! 这句话,点击之后进入下一个页面 然后去邮箱激活,再次重复上…

免费申请国外免费域名超详细教程

注意事项: 1.需要准备好VPN(因为是用的国外的,不会搭建的可以看我之前的笔记笔记地址) 2.手机下载Gmail, 注册谷歌邮箱,国内手机号就可以注册手机邮箱 3.谷歌邮箱内验证freenom注册信息时候需要美区手机号验证。这里给…

freenom 加 cloudflare免费域名申请

https://www.freenom.com/zh/index.html?langzh 该网站管理 .tk .ml 等后缀 输入如 aaa.tk购买时需要账号(免费购买),需要一个谷歌账号,可以 social login 购买成功后,可以看见域名 打开 https://dash.cloudflare.…