自动控制原理知识点梳理——1. 自动控制的一般概念 2. 控制系统的数学模型

article/2025/10/22 3:08:10

目录

1. 自动控制的一般概念

1.1知识梳理&逻辑图

2. 控制系统的数学模型

2.1知识梳理&逻辑图

2.2补充内容

2.2.1传递函数的零点和极点

2.2.2典型环节及其传递函数

2.2.3相同的特征多项式和开环传递函数定义

2.2.4由结构图得传递函数

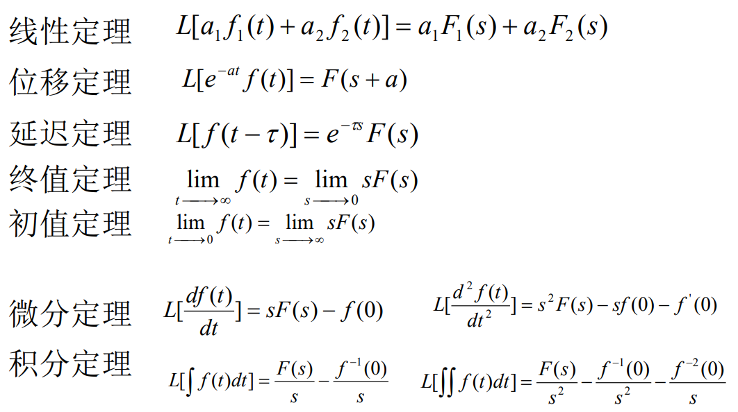
2.2.5拉氏变换知识回顾


1. 自动控制的一般概念

1.1知识梳理&逻辑图

放大看好嘛

2. 控制系统的数学模型

2.1知识梳理&逻辑图

放大看好嘛

2.2补充内容

2.2.1传递函数的零点和极点

传递函数的极点就是微分方程的特征根

传递函数的表示方法:

1)

zi是传递函数零点,pj是传递函数极点。

系数K*=b0/a0称为传递系数或根轨迹增益

这种用零点和极点表示传递函数的方法在根轨迹法中使用较多。

2)

式中,一次因子对应于实数零极点,二次因子对应于共轭复数零极点。

K=bm/an称传递系数或增益。

传递函数的这种表示形式在频率法中使用较多。

2.2.2典型环节及其传递函数

1、比例环节        

2、惯性环节        

3、微分环节        

4、积分环节        

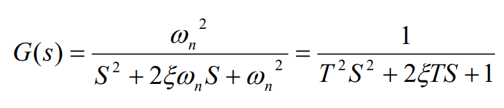
5、振荡环节        

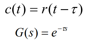
6、纯时间延时环节        

2.2.3相同的特征多项式和开环传递函数定义

系统的闭环传递函数具有相同的特征多项式:

G1(s)G2(s)H(s)为系统的开环传递函数

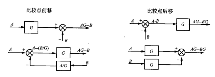
2.2.4由结构图得传递函数

2.2.5拉氏变换知识回顾


http://chatgpt.dhexx.cn/article/74WTQoZa.shtml

相关文章

第2章-系统控制原理 -> 经典控制理论

第1章-多智能体系统回到目录第2章-系统控制原理 -> 线性系统状态空间 文章目录 2 系统控制原理2.1 经典控制理论2.1.2 连续系统求解定义 2.1 [拉普拉斯变换]定义 2.2 [传递函数 transfer function]定义 2.3 [零点 zeros、极点 poles]例题 2.1 2.1.3 线性离散系统2.1…

【经典控制理论】| 自动控制原理知识点概要(上)

参考资料 胡寿松《自动控制原理》第6版刘豹《现代控制理论》第3版斐润《自动控制原理》哈工大控制学科803考研资料 前言 对于控制工程专业的我来说,经典控制理论是很重要的,因此趁着参加秋招这个档口,顺便复习下学过的控制理论。希望也能对…

DMA控制器原理详解

目录 工作原理 DMA硬件架构 DMA通道的作用 DMA寄存器 DMA出现的目的 工作原理 DMA全拼Direct Memory Access(直接内存存取),在传统的CPU存取数据时会先将数据放到缓存寄存器中然后在写入到指定位置 CPU存取数据流程图: CPU…

自动控制原理8.1---非线性控制系统概述

参考书籍:《自动控制原理》(第七版).胡寿松主编. 《自动控制原理PDF版下载》 1.非线性控制系统概述 1.1 研究非线性控制理论的意义 当系统中含有一个或多个具有非线性特性的元件时,该系统称为非线性系统; 随动系统实例说明: …

【经典控制理论】| 自动控制原理知识点概要(下)

参考资料 胡寿松《自动控制原理》第6版刘豹《现代控制理论》第3版斐润《自动控制原理》哈工大控制学科803考研资料 前文 【经典控制理论】| 自动控制原理知识点概要(上) 6. 线性系统的校正 6.1 综合和校正问题的提出 控制系统的综合和校正问题是在已知…

交流异步电机矢量控制(二)——矢量控制原理

前言:在前面梳理完电机数学模型和坐标变换的知识后,下一步就是对矢量控制系统的建立,矢量控制系统重在于其思想框架的理解以及异步电机独有多种磁场定向方案之间的区别,这两个问题都是值得独立探究的,按照顺序来。 本…

自动控制原理(一)

目录 一阶系统1.数学模型2.单位阶跃响应3.特性分析4.典型实例 二阶系统1.数学模型2.单位阶跃响应3.暂态响应的定量分析指标 高阶系统自动控制系统稳定性参考资料 一阶系统 1.数学模型 系统闭环传递函数入下图: 开环传函:积分环节 闭环传函:惯性环节 …

【知识点总结】自动控制原理(自控)

自动控制原理 总结内容: 内容包括: 控制系统的时域数学模型、控制系统的复数域数学模型、控制系统的结构图与信号流图、梅逊公式 、闭环系统传递函数、线性系统的时域分析法、一阶系统的时域分析、系统时间响应的性能指标、二阶系统的时域分析、线性系统…

通俗易懂的自动控制原理 # 绪论

1 自动控制系统的基本原理 1.1 引入以及定义 诸如:神舟10号发射升空、战斧式巡航导弹、装配机器人、自动泊车系统等其中都应用了自动控制的相关理论和技术。 什么是控制? 控制 - 使某个(某些)量按一定的规律变化某个&#xff0…

自动控制原理(来自于b站的笔记整理,深入理解自动控制框架)

一、自动控制原理 1 文章目录 一、自动控制原理 [^1]1. 控制原理1.1 开环与闭环系统1.2 稳定性分析[^2]1.3 一起燃烧卡路里/科学减肥(系统分析实例_数学建模部分)1.4 终值定理与稳态误差[^3]1)比例控制2)比例积分控制 1.5 根轨迹1…

《自动控制原理》个人笔记(来自ppt课件)

控制的含义 控制(CONTROL)----某个主体使某个客体按照一定的目的动作。 主体–人:人工控制; 机器:自动控制 客体–指一件物体,一套装置,一个物化过程,一个特定系统。 人工控制与自…

4. 吴恩达深度学习--优化算法

本文主要参考了 严宽 大神的学习笔记,并在其基础上补充了一点内容,点此查看原文。   本文所使用的资料已上传到百度网盘【点击下载】,提取码:hnwl ,请在开始之前下载好所需资料。   到目前为止,哦我们始…

吴恩达深度学习课程第二章第三周编程作业(pytorch实现)

文章目录 声明一、问题描述二、编程实现1.加载数据集2.使用mini-batch3.利用pytorch搭建神经网络3.1 利用torch.nn简单封装模型3.2 定义优化算法和损失函数 4.整体代码 声明 本博客只是记录一下本人在深度学习过程中的学习笔记和编程经验,大部分代码是参考了【中文】…

吴恩达深度学习L4W4人脸识别

1、One-shot learning 人脸识别往往每个人只有一张照片,因此不应该用卷积神经网络配合softmax训练。 应该选择学习 Similarity 函数。详细地说,你想要神经网络学习这样一个用𝑑表示的函数,𝑑(𝑖&#x1d45…

吴恩达深度学习Deep Learning课程笔记

1.1 前言 课程安排: 1.神经网络和深度学习 内容:神经网络的基础,如何建立神经网络、深度神经网络、以及如何在数据时训练它们 2.提升深度神经网络 内容:深度学习方面的实践,严密地构建神经网络以及提升其表现&…

吴恩达深度学习第一章第二周编程作业

文章目录 前言一、题目描述。二、相关库三、编程步骤1.数据预处理2.模型的封装3.模型的调用4.结果展示 总结 前言 本人处于初学阶段,编程能力有限,代码的编写参考了网上的大神。 一、题目描述。 我们需要训练得到一个逻辑回归分类器来对图片进行二分类&…

吴恩达深度学习之风格迁移

个人的学习笔记,一直更新中,如有错误,评论区见,冲冲冲! 笔记来源:吴恩达深度学习 4.6 什么是神经风格转换?_哔哩哔哩_bilibili 1 输入输出 风格迁移输入:内容(Conten…

吴恩达深度学习作业之deepleraning_L1W2_h1

#吴恩达《深度学习》L1W2作业1 知识点:numpy入门,函数向量化实现做完这个作业,你能学会:用ipython notebook 用numpy,包括函数调用及向量矩阵运算 理解“广播”的概念 向量化代码#我们很少在深度学习中使用“math”库。…

吴恩达深度学习编程作业报错解决方法汇总

概述及资源分享 大二结束后的暑假,学习吴恩达深度学习([双语字幕]吴恩达深度学习deeplearning.ai_哔哩哔哩_bilibili)的课程,在做编程作业的时候总是遇到一些报错,尤其是导入所需要的库的时候会报一些No model。。。的…

旧版吴恩达深度学习环境搭建(anaconda+tensorflow+jupyter notebook)(呕心沥血诚意之作)

本人在参考多位博主的文章后,多次尝试才成功配置了tensorflow1.2.1的环境(课程建议Python3.6tensorflow1.2.1Keras2.0.7)。在此之前,曾经尝试用tensorflow2.x降级的方法(import tensorflow.compat.v1 as tf&#xff09…