自动控制原理(一)

article/2025/10/22 1:00:44

目录

      • 一阶系统
        • 1.数学模型
        • 2.单位阶跃响应
        • 3.特性分析
        • 4.典型实例
      • 二阶系统
        • 1.数学模型
        • 2.单位阶跃响应
        • 3.暂态响应的定量分析指标
      • 高阶系统
      • 自动控制系统稳定性
      • 参考资料

一阶系统

1.数学模型

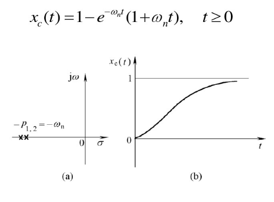
系统闭环传递函数入下图:
在这里插入图片描述
开环传函:积分环节
闭环传函:惯性环节

2.单位阶跃响应

在这里插入图片描述
在这里插入图片描述

3.特性分析

  • 1.一阶系统是稳定的,不会超调和震荡
  • 2.一阶系统的稳态误差为0
  • 3.一阶系统暂态特性也很好,系统响应速度正比于时间常数T的倒数,T越小响应越快

4.典型实例

位置闭环系统:
在这里插入图片描述
理论上k越大响应越快,但是k的上限还要收到执行机构的灵敏度的限制

二阶系统

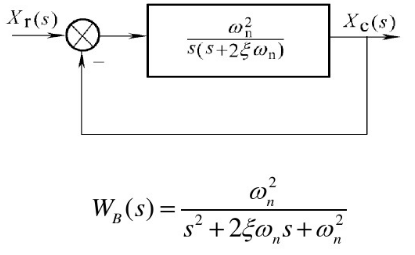
1.数学模型

典型二阶系统:
在这里插入图片描述
自然角频率: ω n \omega_n ωn
阻尼比: ξ \xi ξ
闭环传函:震荡环节

2.单位阶跃响应

  • 1.过阻尼 ξ > 1 \xi>1 ξ>1
    阶跃响应的时域函数
    在这里插入图片描述
    结论:过阻尼时特征方程存在两个不同负实根,暂态响应类似于一阶系统的响应。

  • 2.临界阻尼 ξ = 1 \xi=1 ξ=1
    阶跃响应的时域函数:
    在这里插入图片描述
    结论:特征方程存在两个相同的负实根,系统不存在震荡,系统调节时间较长

  • 3.欠阻尼 0 < ξ < 1 0<\xi<1 0<ξ<1
    在这里插入图片描述
    时域函数:
    在这里插入图片描述
    在这里插入图片描述

结论:欠阻尼时阶跃响应为指数衰减的简谐振动时间函数, ξ \xi ξ越小震荡越激烈

  • 无阻尼 ξ = 0 \xi=0 ξ=0
    在这里插入图片描述
    综上:对二阶系统来说,欠阻尼情况最具有实际意义。

3.暂态响应的定量分析指标

  • 1.上升时间 t r t_r tr:当 ω n \omega_n ωn一定时, ξ \xi ξ越小,上升越快; ξ \xi ξ一定时, ω n \omega_n ωn越大,上升越快
  • 2.调节时间 t s t_s ts:近似与 ξ ω n \xi\omega_n ξωn成反比关系,因此当 ξ \xi ξ一定时,增大 ω n \omega_n ωn可以加快系统调节时间
  • 3.最大超调量 δ \delta δ%:只与阻尼比有关, ξ \xi ξ越小,超调量越大,通常根据允许的超调量来确定 ξ \xi ξ
  • 4.震荡次数 μ \mu μ
  • 5.二阶系统的工程最佳参数: ξ = 1 / s q r t ( 2 ) \xi=1/sqrt(2) ξ=1/sqrt(2)
    在这里插入图片描述

以上只写出了最终结论,具体推算过程见参考资料。

高阶系统

1.首先极点要分布在虚轴左侧
2.高阶系统可以分解为若干个暂态分量的和,经过适当的舍去可将高阶系统近似降阶位一或二阶系统
3.选择主导极点,距离虚轴近,附近无零点,并且它的实部小于其他极点实部的1/5.如果这个极点是一对共轭极点,那么系统就可以近似的当作二阶系统来分析,并可以用二阶系统的性质来设计系统参数优化系统指标

自动控制系统稳定性

1.绝对稳定性:系统稳定的充要条件<=>闭环特征方程的极点全部在虚轴左侧
2.稳态误差:是系统控制精度的度量既与系统结构参数有关还和输入信号的形式大小和输入点有关
3.稳态误差和动态精度是互相矛盾的,可以通过1.增加校正 2.前馈补偿的方法来提高系统稳定精度

参考资料

自控原理教材


http://chatgpt.dhexx.cn/article/Ybf4cLR8.shtml

相关文章

【知识点总结】自动控制原理(自控)

自动控制原理 总结内容&#xff1a; 内容包括&#xff1a; 控制系统的时域数学模型、控制系统的复数域数学模型、控制系统的结构图与信号流图、梅逊公式 、闭环系统传递函数、线性系统的时域分析法、一阶系统的时域分析、系统时间响应的性能指标、二阶系统的时域分析、线性系统…

通俗易懂的自动控制原理 # 绪论

1 自动控制系统的基本原理 1.1 引入以及定义 诸如&#xff1a;神舟10号发射升空、战斧式巡航导弹、装配机器人、自动泊车系统等其中都应用了自动控制的相关理论和技术。 什么是控制&#xff1f; 控制 - 使某个&#xff08;某些&#xff09;量按一定的规律变化某个&#xff0…

自动控制原理(来自于b站的笔记整理,深入理解自动控制框架)

一、自动控制原理 1 文章目录 一、自动控制原理 [^1]1. 控制原理1.1 开环与闭环系统1.2 稳定性分析[^2]1.3 一起燃烧卡路里/科学减肥&#xff08;系统分析实例_数学建模部分&#xff09;1.4 终值定理与稳态误差[^3]1&#xff09;比例控制2&#xff09;比例积分控制 1.5 根轨迹1…

《自动控制原理》个人笔记(来自ppt课件)

控制的含义 控制&#xff08;CONTROL&#xff09;----某个主体使某个客体按照一定的目的动作。 主体–人&#xff1a;人工控制&#xff1b; 机器&#xff1a;自动控制 客体–指一件物体&#xff0c;一套装置&#xff0c;一个物化过程&#xff0c;一个特定系统。 人工控制与自…

4. 吴恩达深度学习--优化算法

本文主要参考了 严宽 大神的学习笔记&#xff0c;并在其基础上补充了一点内容&#xff0c;点此查看原文。   本文所使用的资料已上传到百度网盘【点击下载】&#xff0c;提取码&#xff1a;hnwl &#xff0c;请在开始之前下载好所需资料。   到目前为止&#xff0c;哦我们始…

吴恩达深度学习课程第二章第三周编程作业(pytorch实现)

文章目录 声明一、问题描述二、编程实现1.加载数据集2.使用mini-batch3.利用pytorch搭建神经网络3.1 利用torch.nn简单封装模型3.2 定义优化算法和损失函数 4.整体代码 声明 本博客只是记录一下本人在深度学习过程中的学习笔记和编程经验&#xff0c;大部分代码是参考了【中文】…

吴恩达深度学习L4W4人脸识别

1、One-shot learning 人脸识别往往每个人只有一张照片&#xff0c;因此不应该用卷积神经网络配合softmax训练。 应该选择学习 Similarity 函数。详细地说&#xff0c;你想要神经网络学习这样一个用&#x1d451;表示的函数&#xff0c;&#x1d451;(&#x1d456;&#x1d45…

吴恩达深度学习Deep Learning课程笔记

1.1 前言 课程安排&#xff1a; 1.神经网络和深度学习 内容&#xff1a;神经网络的基础&#xff0c;如何建立神经网络、深度神经网络、以及如何在数据时训练它们 2.提升深度神经网络 内容&#xff1a;深度学习方面的实践&#xff0c;严密地构建神经网络以及提升其表现&…

吴恩达深度学习第一章第二周编程作业

文章目录 前言一、题目描述。二、相关库三、编程步骤1.数据预处理2.模型的封装3.模型的调用4.结果展示 总结 前言 本人处于初学阶段&#xff0c;编程能力有限&#xff0c;代码的编写参考了网上的大神。 一、题目描述。 我们需要训练得到一个逻辑回归分类器来对图片进行二分类&…

吴恩达深度学习之风格迁移

个人的学习笔记&#xff0c;一直更新中&#xff0c;如有错误&#xff0c;评论区见&#xff0c;冲冲冲&#xff01; 笔记来源&#xff1a;吴恩达深度学习 4.6 什么是神经风格转换&#xff1f;_哔哩哔哩_bilibili 1 输入输出 风格迁移输入&#xff1a;内容&#xff08;Conten…

吴恩达深度学习作业之deepleraning_L1W2_h1

#吴恩达《深度学习》L1W2作业1 知识点&#xff1a;numpy入门&#xff0c;函数向量化实现做完这个作业&#xff0c;你能学会&#xff1a;用ipython notebook 用numpy&#xff0c;包括函数调用及向量矩阵运算 理解“广播”的概念 向量化代码#我们很少在深度学习中使用“math”库。…

吴恩达深度学习编程作业报错解决方法汇总

概述及资源分享 大二结束后的暑假&#xff0c;学习吴恩达深度学习&#xff08;[双语字幕]吴恩达深度学习deeplearning.ai_哔哩哔哩_bilibili&#xff09;的课程&#xff0c;在做编程作业的时候总是遇到一些报错&#xff0c;尤其是导入所需要的库的时候会报一些No model。。。的…

旧版吴恩达深度学习环境搭建(anaconda+tensorflow+jupyter notebook)(呕心沥血诚意之作)

本人在参考多位博主的文章后&#xff0c;多次尝试才成功配置了tensorflow1.2.1的环境&#xff08;课程建议Python3.6tensorflow1.2.1Keras2.0.7&#xff09;。在此之前&#xff0c;曾经尝试用tensorflow2.x降级的方法&#xff08;import tensorflow.compat.v1 as tf&#xff09…

《吴恩达深度学习》编程作业-第二周

目录 1.题目&#xff1a;基于神经网络思维模式的逻辑回归 2.声明 3.知识回顾 4.Python编程分析 4.1.导入需要用的库 4.2.数据处理 4.2.1.读取数据&#xff08;包括训练集和测试集&#xff09; 4.2.2.取出数据&#xff08;包括训练集和测试集&#xff0c;还有标签的值&a…

吴恩达 深度学习 2021版 作业

练习 神经网络与深度学习神经网络基础Numpy基础1-使用numpy构建基本函数 神经网络与深度学习 神经网络基础 Numpy基础 学习目标&#xff1a; 使用numpy&#xff0c;包括函数调用及向量矩阵运算广播向量化代码 1-使用numpy构建基本函数 1.1- sigmoid function和np.exp&…

吴恩达深度学习

最近在学习吴恩达老师的深度学习&#xff0c;边学边随手记一些东西&#xff0c;留个简单的笔记&#xff0c;以便日后复习。 第一周 结构化数据&#xff1a;每个特征都有清晰的定义 非结构化数据&#xff1a;音频、图像、文本等 大规模的神经网络大规模的带标签数据 第一周习题…

吴恩达《深度学习专项》笔记(十二):目标检测与语义分割简介 (YOLO, U-Net)

这节课中&#xff0c;我们要学习计算机视觉中最重要的任务之一——目标检测任务。我们会先认识目标定位和关键点检测这两个比较简单的任务&#xff0c;慢慢过度到目标检测任务。之后&#xff0c;我们会详细学习目标检测的经典算法YOLO。最后&#xff0c;我们会稍微认识一下语义…

吴恩达:28张图全解深度学习知识

吴恩达在推特上展示了一份由 TessFerrandez 完成的深度学习专项课程信息图&#xff0c;这套信息图优美地记录了深度学习课程的知识与亮点。因此它不仅仅适合初学者了解深度学习&#xff0c;还适合机器学习从业者和研究者复习基本概念。喜欢记得关注、收藏、点赞。 这不仅仅是一…

吴恩达深度学习深度学习概述以及优化

深度学习概述及优化 1、深度学习概述2、神经网络基础之逻辑回归3、深层神经网络4、深度学习实用层面4.1 训练集、验证集、测试集4.2 偏差、方差4.3 L1、L2正则化4.4 归一化处理4.5 Dropout4.6 其他正则化方法4.7 梯度消失和爆炸 1、深度学习概述 在之前的吴恩达机器学习课程中…

深度学习-吴恩达:一、神经网络和深度学习

文章目录 1、what is a Neural Network?&#xff08;什么是神经网络&#xff09;2、Supervised Learning with Neural Networks &#xff08;监督学习&#xff09;3、为什么深度学习会兴起&#xff1f;第一周测验测验题答案 1、what is a Neural Network?&#xff08;什么是神…