4. 吴恩达深度学习--优化算法

article/2025/10/22 10:13:57

本文主要参考了 严宽 大神的学习笔记,并在其基础上补充了一点内容,点此查看原文。
  本文所使用的资料已上传到百度网盘【点击下载】,提取码:hnwl ,请在开始之前下载好所需资料。
  到目前为止,哦我们始终都是在使用梯度下降法学习,本文中,我们将使用一些更加高级的优化算法,利用这些优化算法,通常可以提高我们算法的收敛速度,并在最终得到更好的分离结果。这些方法可以加快学习速度,甚至可以为成本函数提供更好的最终值,在相同的结果下,有一个好的优化算法可以减少几个小时甚至几天的时间。
  我们想象一下成本函数 J J J,最小化成本就像找到丘陵的最低点,在训练的每一步中,都会按照某个方向更新参数,以尽可能达到最低点。它类似于最快的下山的路,如下图:
在这里插入图片描述

import numpy as np
import matplotlib.pyplot as plt
import scipy.io
import math
import sklearn
import sklearn.datasetsimport opt_utils #参见数据包
import testCase  #参见数据包#%matplotlib inline #如果你用的是Jupyter Notebook请取消注释
plt.rcParams['figure.figsize'] = (7.0, 4.0) # set default size of plots
plt.rcParams['image.interpolation'] = 'nearest'
plt.rcParams['image.cmap'] = 'gray'

一、优化算法

1. 梯度下降

  在机器学习中,最简单的就是没有任何优化的梯度下降(GD,Gradient Descent),我们每一次循环都是对整个训练集进行学习,这叫做批量梯度下降(Batch Gradient Descent),我们之前说过了最核心的参数更新的公式,即: W [ l ] = W [ l ] − α d W [ l ] W^{[l]}=W^{[l]}-\alpha\ dW^{[l]} W[l]=W[l]α dW[l] b [ l ] = b [ l ] − α d b [ l ] b^{[l]}=b^{[l]}-\alpha\ db^{[l]} b[l]=b[l]α db[l]  下面我们实现梯度下降算法更新参数:

def update_parameters_with_gd(parameters, grads, learning_rate):"""使用梯度下降更新参数参数:parameters - 字典,包含了要更新的参数:parameters['W' + str(l)] = Wlparameters['b' + str(l)] = blgrads - 字典,包含了每一个梯度值用以更新参数grads['dW' + str(l)] = dWlgrads['db' + str(l)] = dbllearning_rate - 学习率返回值:parameters - 字典,包含了更新后的参数"""L = len(parameters) // 2  # 更新每个参数for l in range(L):parameters["W" + str(l + 1)] = parameters["W" + str(l + 1)] - learning_rate * grads["dW" + str(l + 1)]parameters["b" + str(l + 1)] = parameters["b" + str(l + 1)] - learning_rate * grads["db" + str(l + 1)]return parameters

测试:

#测试update_parameters_with_gd
print("-------------测试update_parameters_with_gd-------------")
parameters , grads , learning_rate = testCase.update_parameters_with_gd_test_case()
parameters = update_parameters_with_gd(parameters,grads,learning_rate)
print("W1 = " + str(parameters["W1"]))
print("b1 = " + str(parameters["b1"]))
print("W2 = " + str(parameters["W2"]))
print("b2 = " + str(parameters["b2"]))

测试结果如下:

W1 = [[ 1.63535156 -0.62320365 -0.53718766][-1.07799357  0.85639907 -2.29470142]]
b1 = [[ 1.74604067][-0.75184921]]
W2 = [[ 0.32171798 -0.25467393  1.46902454][-2.05617317 -0.31554548 -0.3756023 ][ 1.1404819  -1.09976462 -0.1612551 ]]
b2 = [[-0.88020257][ 0.02561572][ 0.57539477]]

  由梯度下降算法演变来的还有 随机梯度下降(SGD)小批量梯度下降(mini-batch)
  在随机梯度下降算法中,每次迭代中仅使用其中一个样本,当训练集很大时,使用随机梯度下降算法的运行速度会很快,但是会存在一定的波动。
在这里插入图片描述

#随机梯度下降算法:
X = data_input
Y = labels
parameters = initialize_parameters(layers_dims)
for i in (0,num_iterations):for j in m:#前向传播A,cache = forward_propagation(X,parameters)#计算成本cost = compute_cost(A,Y)#后向传播grads = backward_propagation(X,Y,cache)#更新参数parameters = update_parameters(parameters,grads)

  小批量梯度下降法实际是综合了梯度下降法和随机梯度下降法的方法,在它的每次迭代中,既不是选择全部的数据来学习,也不是选择一个样本来学习,而是把所有的数据集分割为一小块一小块的来学习,它会随机选择一小块,块大小一般为 2 n 2^n 2n。这样做的好处是:一方面可以充分利用 GPU 的并行性,另一方面不会让计算时间特别长。
在这里插入图片描述

2. mini-batch 梯度下降法

使用 mini-batch 梯度下降法要经过以下两个步骤:

  1. 把训练集随机打乱,但是 X X X Y Y Y 依旧是一一对应的,即:打乱后 X X X 的第 i i i 列与 Y Y Y 中的第 i i i 个标签仍然是对应的。这里 X X X Y Y Y 的每一列代表一个样本。
    在这里插入图片描述

  2. 切分。我们把训练集大乱之后,将其切分为若干份。这里切分的大小是 64
    在这里插入图片描述
    我们先来看看分割后如何获取第一第二个 mini-batch 吧

# 第一个mini-batch
first_mini_batch_X = shuffled_X[:, 0 : mini_batch_size]
# 第二个mini-batch
second_mini_batch_X = shuffled_X[:, mini_batch_size : 2 * mini_batch_size]

我们先来看看 np.random.permutation(m) 的用法:

x = np.array([[1,2,3,4,5,6,7,8,9],[9,8,7,6,5,4,3,2,1]])
y = np.array([[1,0,1,0,1,0,1,0,1]])permutation=list(np.random.permutation(9))
shuffled_X = X[:,permutation]
shuffled_Y = Y[:,permutation].reshape((1,m))
print(permutation)
print(shuffled_X )
print(shuffled_Y )

运行结果如下:

[6, 0, 5, 7, 4, 3, 1, 8, 2]
[[7 1 6 8 5 4 2 9 3][3 9 4 2 5 6 8 1 7]]
[[1 1 0 0 1 0 0 1 1]]

下面就是我们获取 mini-batch 的代码:

def random_mini_batches(X, Y, mini_batch_size=64, seed=0):"""从(X,Y)中创建一个随机的mini-batch列表参数:X - 输入数据,维度为(输入节点数量,样本的数量)Y - 对应的是X的标签,【1 | 0】(蓝|红),维度为(1,样本的数量)mini_batch_size - 每个mini-batch的样本数量返回:mini-bacthes - 一个同步列表,维度为(mini_batch_X,mini_batch_Y)"""np.random.seed(seed)m = X.shape[1]mini_batches = []# 第一步:打乱顺序## 它会返回一个长度为 m 的随机数组,且里面的数是 0 到 m-1permutation = list(np.random.permutation(m))## 将每一列的数据按 permutation 的顺序来重新排列shuffled_X = X[:, permutation]shuffled_Y = Y[:, permutation].reshape((1, m))# 第二步:分割## 把你的训练集分割成多少份,请注意,如果值是99.99,那么返回值是99,剩下的0.99会被舍弃num_complete_minibatches = math.floor(m / mini_batch_size)for k in range(0, num_complete_minibatches):mini_batch_X = shuffled_X[:, k * mini_batch_size : (k+1) * mini_batch_size]mini_batch_Y = shuffled_Y[:, k * mini_batch_size : (k+1) * mini_batch_size]mini_batch = (mini_batch_X, mini_batch_Y)mini_batches.append(mini_batch)# 如果训练集的大小刚好是 mini_batch_size 的整数倍,那么这里已经处理完了# 如果训练集的大小不是 mini_batch_size 的整数倍,那么最后肯定会剩下一些,我们要把它处理了if m % mini_batch_size != 0:# 获取最后剩余的部分mini_batch_X = shuffled_X[:, mini_batch_size * num_complete_minibatches:]mini_batch_Y = shuffled_Y[:, mini_batch_size * num_complete_minibatches:]mini_batch = (mini_batch_X, mini_batch_Y)mini_batches.append(mini_batch)return mini_batches

测试:

#测试random_mini_batches
print("-------------测试random_mini_batches-------------")
X_assess,Y_assess,mini_batch_size = testCase.random_mini_batches_test_case()
mini_batches = random_mini_batches(X_assess,Y_assess,mini_batch_size)print("第1个mini_batch_X 的维度为:",mini_batches[0][0].shape)
print("第1个mini_batch_Y 的维度为:",mini_batches[0][1].shape)
print("第2个mini_batch_X 的维度为:",mini_batches[1][0].shape)
print("第2个mini_batch_Y 的维度为:",mini_batches[1][1].shape)
print("第3个mini_batch_X 的维度为:",mini_batches[2][0].shape)
print("第3个mini_batch_Y 的维度为:",mini_batches[2][1].shape)

测试结果如下:

-------------测试random_mini_batches-------------1个mini_batch_X 的维度为: (12288, 64)1个mini_batch_Y 的维度为: (1, 64)2个mini_batch_X 的维度为: (12288, 64)2个mini_batch_Y 的维度为: (1, 64)3个mini_batch_X 的维度为: (12288, 20)3个mini_batch_Y 的维度为: (1, 20)

3. 包含动量的梯度下降(momentum)

  由于小批量梯度下降只看到了一个子集的参数更新,更新的方向有一定的差异,所以小批量梯度下降的路径将“振荡地”走向收敛,尤其对于W、b之间数值范围差别较大的情况。此时每一点处的梯度只与当前方向有关,产生类似折线的效果,前进缓慢。而如果对梯度进行指数加权平均,这样使当前梯度不仅与当前方向有关,还与之前的方向有关,这样处理让梯度前进方向更加平滑,减少振荡,能够更快地到达最小值处。我们把以前梯度的方向存储在变量 v 中,从形式上讲,这将是前面的梯度的 指数加权平均值。我们也可以把 v 看作是滚下坡的速度,根据山坡的坡度建立动量。如图所示:
在这里插入图片描述
其中,红色箭头显示具有动量的小批量梯度下降一步时所采取的方向,蓝色的点显示每个步骤的梯度方向(相对于当前的小批量)。当然我们不仅要观察梯度,还要让 v v v 影响梯度的方向,尽量让前进的方向指向最小值。既然我们要影响梯度的方向,而梯度需要使用到 dW 和 db,那么我们就要建立一个和 dW 和 db 相同结构的变量来影响他们,我们现在来进行初始化:

def initialize_velocity(parameters):"""初始化速度,velocity是一个字典:- keys: "dW1", "db1", ..., "dWL", "dbL" - values:与相应的梯度/参数维度相同的值为零的矩阵。参数:parameters - 一个字典,包含了以下参数:parameters["W" + str(l)] = Wlparameters["b" + str(l)] = bl返回:v - 一个字典变量,包含了以下参数:v["dW" + str(l)] = dWl的速度v["db" + str(l)] = dbl的速度"""L = len(parameters) // 2 #神经网络的层数v = {}for l in range(L):v["dW" + str(l + 1)] = np.zeros_like(parameters["W" + str(l + 1)])v["db" + str(l + 1)] = np.zeros_like(parameters["b" + str(l + 1)])return v

测试:

#测试initialize_velocity
print("-------------测试initialize_velocity-------------")
parameters = testCase.initialize_velocity_test_case()
v = initialize_velocity(parameters)print('v["dW1"] = ' + str(v["dW1"]))
print('v["db1"] = ' + str(v["db1"]))
print('v["dW2"] = ' + str(v["dW2"]))
print('v["db2"] = ' + str(v["db2"]))

测试结果如下:

-------------测试initialize_velocity-------------
v["dW1"] = [[0. 0. 0.][0. 0. 0.]]
v["db1"] = [[0.][0.]]
v["dW2"] = [[0. 0. 0.][0. 0. 0.][0. 0. 0.]]
v["db2"] = [[0.][0.][0.]]

  权重 W 和常数项 b 的指数加权平均表达式如下: V d W = β ⋅ V d W + ( 1 − β ) ⋅ d W V_{dW}=\beta·V_{dW}+(1-\beta)·dW VdW=βVdW+(1β)dW V d b = β ⋅ V d b + ( 1 − β ) ⋅ d b V_{db}=\beta·V_{db}+(1-\beta)·db Vdb=βVdb+(1β)db  从动量的角度来看,以权重 W 为例, V d W V_{dW} VdW 可以看成速度 v, d W dW dW 可以看成是速度 a。指数加权平均实际上是计算当前的速度,当前速度由之前的速度和现在的加速度共同影响。而 β < 1 \beta < 1 β<1,又能限制 V d W V_{dW} VdW 过大。也就是说,当前的速度是渐变的,而不是瞬变的,是动量的过程。这保证了梯度下降的平稳性和准确性,减少振荡,较快地达到最小值处。
  动量梯度下降算法的过程如下
在这里插入图片描述
初始时,令 V d W = 0 V_{dW}=0 VdW=0 V d b = 0 V_{db}=0 Vdb=0。一般设置 β = 0.9 \beta=0.9 β=0.9,即指数加权平均前 10 天的数据,实际应用效果较好。

def update_parameters_with_momentum(parameters, grads, v, beta, learning_rate):"""使用动量更新参数参数:parameters - 一个字典类型的变量,包含了以下字段:parameters["W" + str(l)] = Wlparameters["b" + str(l)] = blgrads - 一个包含梯度值的字典变量,具有以下字段:grads["dW" + str(l)] = dWlgrads["db" + str(l)] = dblv - 包含当前速度的字典变量,具有以下字段:v["dW" + str(l)] = ...v["db" + str(l)] = ...beta - 超参数,动量,实数learning_rate - 学习率,实数返回:parameters - 更新后的参数字典v - 包含了更新后的速度变量"""L = len(parameters) // 2for l in range(L):# 计算速度v["dW" + str(l + 1)] = beta * v["dW" + str(l + 1)] + (1 - beta) * grads["dW" + str(l + 1)]v["db" + str(l + 1)] = beta * v["db" + str(l + 1)] + (1 - beta) * grads["db" + str(l + 1)]# 更新参数parameters["W" + str(l + 1)] = parameters["W" + str(l + 1)] - learning_rate * v["dW" + str(l + 1)]parameters["b" + str(l + 1)] = parameters["b" + str(l + 1)] - learning_rate * v["db" + str(l + 1)]return parameters, v

测试:

#测试update_parameters_with_momentun
print("-------------测试update_parameters_with_momentun-------------")
parameters,grads,v = testCase.update_parameters_with_momentum_test_case()
update_parameters_with_momentun(parameters,grads,v,beta=0.9,learning_rate=0.01)print("W1 = " + str(parameters["W1"]))
print("b1 = " + str(parameters["b1"]))
print("W2 = " + str(parameters["W2"]))
print("b2 = " + str(parameters["b2"]))
print('v["dW1"] = ' + str(v["dW1"]))
print('v["db1"] = ' + str(v["db1"]))
print('v["dW2"] = ' + str(v["dW2"]))
print('v["db2"] = ' + str(v["db2"]))

测试结果如下:

-------------测试update_parameters_with_momentun-------------
W1 = [[ 1.62544598 -0.61290114 -0.52907334][-1.07347112  0.86450677 -2.30085497]]
b1 = [[ 1.74493465][-0.76027113]]
W2 = [[ 0.31930698 -0.24990073  1.4627996 ][-2.05974396 -0.32173003 -0.38320915][ 1.13444069 -1.0998786  -0.1713109 ]]
b2 = [[-0.87809283][ 0.04055394][ 0.58207317]]
v["dW1"] = [[-0.11006192  0.11447237  0.09015907][ 0.05024943  0.09008559 -0.06837279]]
v["db1"] = [[-0.01228902][-0.09357694]]
v["dW2"] = [[-0.02678881  0.05303555 -0.06916608][-0.03967535 -0.06871727 -0.08452056][-0.06712461 -0.00126646 -0.11173103]]
v["db2"] = [[ 0.02344157][ 0.16598022][ 0.07420442]]

  需要注意的是速度 v v v 是用 0 来初始化的,因此,该算法需要经过几次迭代才能把速度提升上来并开始跨越更大步伐。当 β = 0 \beta=0 β=0 时,该算法相当于是没有使用 momentum 算法的标准的梯度下降算法。当 β \beta β 越大的时候,说明平滑的作用越明显。通常 0.9 是比较合适的值。那如何才能在开始的时候就保持很快的速度向最小误差那里前进呢?我们来看看下面的 Adam 算法。

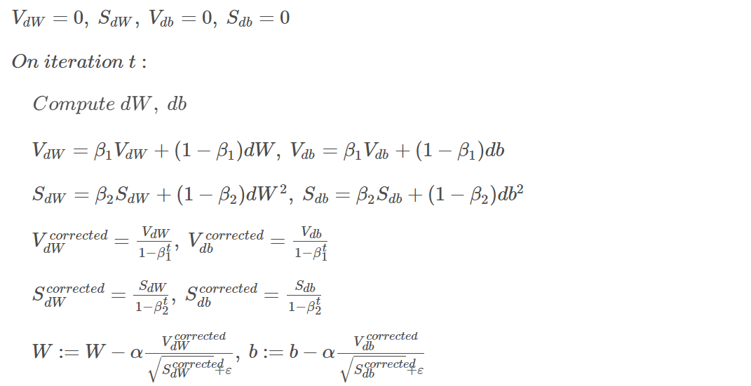
4. Adam 算法

   Adam(Adaptive Moment Estimation)算法结合了动量梯度下降算法和RMSprop算法。其算法流程如下:
在这里插入图片描述
   Adam算法包含了几个超参数,分别是: α , β 1 , β 2 , ϵ \alpha,\beta_1,\beta_2,\epsilon α,β1,β2,ϵ。其中, β 1 \beta_1 β1 通常设置为 0.9, β 2 \beta_2 β2 通常设置为 0.999, ϵ \epsilon ϵ 通常设置为 1 0 − 8 10^{-8} 108。一般只需要对 β 1 \beta_1 β1 β 2 \beta_2 β2 进行调试。

4.1 初始化参数

def initialize_adam(parameters):"""初始化v和s,它们都是字典类型的变量,都包含了以下字段:- keys: "dW1", "db1", ..., "dWL", "dbL" - values:与对应的梯度/参数相同维度的值为零的numpy矩阵参数:parameters - 包含了以下参数的字典变量:parameters["W" + str(l)] = Wlparameters["b" + str(l)] = bl返回:v - 包含梯度的指数加权平均值,字段如下:v["dW" + str(l)] = ...v["db" + str(l)] = ...s - 包含平方梯度的指数加权平均值,字段如下:s["dW" + str(l)] = ...s["db" + str(l)] = ..."""L = len(parameters) // 2v = {}s = {}for l in range(L):v["dW" + str(l + 1)] = np.zeros_like(parameters["W" + str(l + 1)])v["db" + str(l + 1)] = np.zeros_like(parameters["b" + str(l + 1)])s["dW" + str(l + 1)] = np.zeros_like(parameters["W" + str(l + 1)])s["db" + str(l + 1)] = np.zeros_like(parameters["b" + str(l + 1)])return (v, s)

测试:

#测试initialize_adam
print("-------------测试initialize_adam-------------")
parameters = testCase.initialize_adam_test_case()
v,s = initialize_adam(parameters)print('v["dW1"] = ' + str(v["dW1"])) 
print('v["db1"] = ' + str(v["db1"])) 
print('v["dW2"] = ' + str(v["dW2"])) 
print('v["db2"] = ' + str(v["db2"])) 
print('s["dW1"] = ' + str(s["dW1"])) 
print('s["db1"] = ' + str(s["db1"])) 
print('s["dW2"] = ' + str(s["dW2"])) 
print('s["db2"] = ' + str(s["db2"])) 

测试结果如下:

-------------测试initialize_adam-------------
v["dW1"] = [[0. 0. 0.][0. 0. 0.]]
v["db1"] = [[0.][0.]]
v["dW2"] = [[0. 0. 0.][0. 0. 0.][0. 0. 0.]]
v["db2"] = [[0.][0.][0.]]
s["dW1"] = [[0. 0. 0.][0. 0. 0.]]
s["db1"] = [[0.][0.]]
s["dW2"] = [[0. 0. 0.][0. 0. 0.][0. 0. 0.]]
s["db2"] = [[0.][0.][0.]]

4.2 更新参数

def update_parameters_with_adam(parameters, grads, v, s, t, learning_rate=0.01, beta1=0.9, beta2=0.999, epsilon=1e-8):"""使用Adam更新参数参数:parameters - 包含了以下字段的字典:parameters['W' + str(l)] = Wlparameters['b' + str(l)] = blgrads - 包含了梯度值的字典,有以下key值:grads['dW' + str(l)] = dWlgrads['db' + str(l)] = dblv - Adam的变量,第一个梯度的移动平均值,是一个字典类型的变量s - Adam的变量,平方梯度的移动平均值,是一个字典类型的变量t - 当前迭代的次数learning_rate - 学习率beta1 - 动量,超参数,用于第一阶段,使得曲线的Y值不从0开始(参见天气数据的那个图)beta2 - RMSprop的一个参数,超参数epsilon - 防止除零操作(分母为0)返回:parameters - 更新后的参数v - 第一个梯度的移动平均值,是一个字典类型的变量s - 平方梯度的移动平均值,是一个字典类型的变量"""L = len(parameters) // 2v_corrected = {}   # 偏差修正后的值s_corrected = {}   # 偏差修正后的值for l in range(L):#梯度的移动平均值,输入:"v , grads , beta1",输出:" v "v["dW" + str(l + 1)] = beta1 * v["dW" + str(l + 1)] + (1 - beta1) * grads["dW" + str(l + 1)]v["db" + str(l + 1)] = beta1 * v["db" + str(l + 1)] + (1 - beta1) * grads["db" + str(l + 1)]#计算平方梯度的移动平均值,输入:"s, grads , beta2",输出:"s"s["dW" + str(l + 1)] = beta2 * s["dW" + str(l + 1)] + (1 - beta2) * np.square(grads["dW" + str(l + 1)])s["db" + str(l + 1)] = beta2 * s["db" + str(l + 1)] + (1 - beta2) * np.square(grads["db" + str(l + 1)])#计算第一阶段的偏差修正后的估计值,输入"v , beta1 , t" , 输出:"v_corrected"v_corrected["dW" + str(l + 1)] = v["dW" + str(l + 1)] / (1 - np.power(beta1,t))v_corrected["db" + str(l + 1)] = v["db" + str(l + 1)] / (1 - np.power(beta1,t))#计算第二阶段的偏差修正后的估计值,输入:"s , beta2 , t",输出:"s_corrected"s_corrected["dW" + str(l + 1)] = s["dW" + str(l + 1)] / (1 - np.power(beta2,t))s_corrected["db" + str(l + 1)] = s["db" + str(l + 1)] / (1 - np.power(beta2,t))#更新参数,输入: "parameters, learning_rate, v_corrected, s_corrected, epsilon". 输出: "parameters".parameters["W" + str(l + 1)] = parameters["W" + str(l + 1)] - learning_rate * (v_corrected["dW" + str(l + 1)] / (np.sqrt(s_corrected["dW" + str(l + 1)]) + epsilon))parameters["b" + str(l + 1)] = parameters["b" + str(l + 1)] - learning_rate * (v_corrected["db" + str(l + 1)] / (np.sqrt(s_corrected["db" + str(l + 1)]) + epsilon))return (parameters, v, s)

测试:

#测试update_with_parameters_with_adam
print("-------------测试update_with_parameters_with_adam-------------")
parameters , grads , v , s = testCase.update_parameters_with_adam_test_case()
update_parameters_with_adam(parameters,grads,v,s,t=2)print("W1 = " + str(parameters["W1"]))
print("b1 = " + str(parameters["b1"]))
print("W2 = " + str(parameters["W2"]))
print("b2 = " + str(parameters["b2"]))
print('v["dW1"] = ' + str(v["dW1"])) 
print('v["db1"] = ' + str(v["db1"])) 
print('v["dW2"] = ' + str(v["dW2"])) 
print('v["db2"] = ' + str(v["db2"])) 
print('s["dW1"] = ' + str(s["dW1"])) 
print('s["db1"] = ' + str(s["db1"])) 
print('s["dW2"] = ' + str(s["dW2"])) 
print('s["db2"] = ' + str(s["db2"])) 

测试结果如下:

-------------测试update_with_parameters_with_adam-------------
W1 = [[ 1.63178673 -0.61919778 -0.53561312][-1.08040999  0.85796626 -2.29409733]]
b1 = [[ 1.75225313][-0.75376553]]
W2 = [[ 0.32648046 -0.25681174  1.46954931][-2.05269934 -0.31497584 -0.37661299][ 1.14121081 -1.09244991 -0.16498684]]
b2 = [[-0.88529979][ 0.03477238][ 0.57537385]]
v["dW1"] = [[-0.11006192  0.11447237  0.09015907][ 0.05024943  0.09008559 -0.06837279]]
v["db1"] = [[-0.01228902][-0.09357694]]
v["dW2"] = [[-0.02678881  0.05303555 -0.06916608][-0.03967535 -0.06871727 -0.08452056][-0.06712461 -0.00126646 -0.11173103]]
v["db2"] = [[0.02344157][0.16598022][0.07420442]]
s["dW1"] = [[0.00121136 0.00131039 0.00081287][0.0002525  0.00081154 0.00046748]]
s["db1"] = [[1.51020075e-05][8.75664434e-04]]
s["dW2"] = [[7.17640232e-05 2.81276921e-04 4.78394595e-04][1.57413361e-04 4.72206320e-04 7.14372576e-04][4.50571368e-04 1.60392066e-07 1.24838242e-03]]
s["db2"] = [[5.49507194e-05][2.75494327e-03][5.50629536e-04]]

二、测试

1. 加载数据集

我们使用下面的“月亮(moon)”数据集来测试不同的优化方法。数据集被命名为“月亮”,因为这两个类的数据看起来有点像新月形的月亮。

train_X, train_Y = opt_utils.load_dataset()

在这里插入图片描述

2. 定义模型

def model(X, Y, layers_dims, optimizer, learning_rate=0.0007,mini_batch_size=64, beta=0.9, beta1=0.9, beta2=0.999,epsilon=1e-8, num_epochs=10000, print_cost=True, is_plot=True):"""可以运行在不同优化器模式下的3层神经网络模型。参数:X - 输入数据,维度为(2,输入的数据集里面样本数量)Y - 与X对应的标签layers_dims - 包含层数和节点数量的列表optimizer - 字符串类型的参数,用于选择优化类型,【 "gd" | "momentum" | "adam" 】learning_rate - 学习率mini_batch_size - 每个小批量数据集的大小beta - 用于动量优化的一个超参数beta1 - 用于计算梯度后的指数衰减的估计的超参数beta1 - 用于计算平方梯度后的指数衰减的估计的超参数epsilon - 用于在Adam中避免除零操作的超参数,一般不更改num_epochs - 整个训练集的遍历次数,(视频2.9学习率衰减,155秒处,视频中称作“代”),相当于之前的num_iterationprint_cost - 是否打印误差值,每遍历1000次数据集打印一次,但是每100次记录一个误差值,又称每1000代打印一次is_plot - 是否绘制出曲线图返回:parameters - 包含了学习后的参数"""L = len(layers_dims)costs = []t = 0    # 每学习完一个 mini-batch 就增加 1seed = 10# 初始化参数parameters = opt_utils.initialize_parameters(layers_dims)# 选择优化器if optimizer == "gd":pass    # 不使用任何优化器,直接用梯度下降法elif optimizer == "momentum":v = initialize_velocity(parameters)   # 使用momentumelif optimizer == "adam":v, s = initialize_adam(parameters)    # 使用Adam优化else:print("optimizer参数错误,程序退出。")exit(1)# 开始学习for i in range(num_epochs):#定义随机 minibatches,我们在每次遍历数据集之后增加种子以重新排列数据集,使每次数据的顺序都不同seed = seed + 1minibatches = random_mini_batches(X, Y, mini_batch_size, seed)for minibatch in minibatches:# 选择一个 minibatch(minibatch_X, minibatch_Y) = minibatch# 前向传播A3, cache = opt_utils.forward_propagation(minibatch_X, parameters)# 计算误差cost = opt_utils.compute_cost(A3, minibatch_Y)# 反向传播grads = opt_utils.backward_propagation(minibatch_X, minibatch_Y, cache)# 更新参数if optimizer == "gd":parameters = update_parameters_with_gd(parameters,grads,learning_rate)elif optimizer == "momentum":parameters, v = update_parameters_with_momentum(parameters,grads,v,beta,learning_rate)elif optimizer == "adam":t = t + 1 parameters , v , s = update_parameters_with_adam(parameters,grads,v,s,t,learning_rate,beta1,beta2,epsilon)# 记录误差值if i % 100 == 0:costs.append(cost)#是否打印误差值if print_cost and i % 1000 == 0:print("第" + str(i) + "次遍历整个数据集,当前误差值:" + str(cost))#是否绘制曲线图if is_plot:plt.plot(costs)plt.ylabel('cost')plt.xlabel('epochs (per 100)')plt.title("Learning rate = " + str(learning_rate))plt.show()return parameters

3. 测试

3.1 使用梯度下降算法

layers_dims = [train_X.shape[0],5,2,1]
parameters = model(train_X, train_Y, layers_dims, optimizer="gd",is_plot=True)

运行结果:

0次遍历整个数据集,当前误差值:0.6907355122911131000次遍历整个数据集,当前误差值:0.68527253284582412000次遍历整个数据集,当前误差值:0.64707222407190033000次遍历整个数据集,当前误差值:0.61952455499704024000次遍历整个数据集,当前误差值:0.57658443559509455000次遍历整个数据集,当前误差值:0.60724263959685766000次遍历整个数据集,当前误差值:0.52940333176845767000次遍历整个数据集,当前误差值:0.460768239859301158000次遍历整个数据集,当前误差值:0.4655860823990459000次遍历整个数据集,当前误差值:0.4645179722167684

在这里插入图片描述
绘制分类结果图:

preditions = opt_utils.predict(train_X,train_Y,parameters)#绘制分类图
plt.title("Model with Gradient Descent optimization")
axes = plt.gca()
axes.set_xlim([-1.5, 2.5])
axes.set_ylim([-1, 1.5])
opt_utils.plot_decision_boundary(lambda x: opt_utils.predict_dec(parameters, x.T), train_X, train_Y)

运行结果如下:

Accuracy: 0.7966666666666666

在这里插入图片描述

3.2 使用动量梯度下降算法```c

layers_dims = [train_X.shape[0],5,2,1]
parameters = model(train_X, train_Y, layers_dims, beta=0.9,optimizer=“momentum”,is_plot=True)

运行结果:
```c
第0次遍历整个数据集,当前误差值:0.6907412988351506
第1000次遍历整个数据集,当前误差值:0.6853405261267578
第2000次遍历整个数据集,当前误差值:0.6471448370095255
第3000次遍历整个数据集,当前误差值:0.6195943032076022
第4000次遍历整个数据集,当前误差值:0.5766650344073023
第5000次遍历整个数据集,当前误差值:0.607323821900647
第6000次遍历整个数据集,当前误差值:0.5294761758786997
第7000次遍历整个数据集,当前误差值:0.46093619004872366
第8000次遍历整个数据集,当前误差值:0.465780093701272
第9000次遍历整个数据集,当前误差值:0.4647395967922748

在这里插入图片描述

绘制分类结果图:

preditions = opt_utils.predict(train_X,train_Y,parameters)#绘制分类图
plt.title("Model with Momentum optimization")
axes = plt.gca()
axes.set_xlim([-1.5, 2.5])
axes.set_ylim([-1, 1.5])
opt_utils.plot_decision_boundary(lambda x: opt_utils.predict_dec(parameters, x.T), train_X, train_Y)

运行结果如下:

Accuracy: 0.7966666666666666

在这里插入图片描述

3.3 使用Adam算法

layers_dims = [train_X.shape[0], 5, 2, 1]
parameters = model(train_X, train_Y, layers_dims, optimizer="adam",is_plot=True)

运行结果:

0次遍历整个数据集,当前误差值:0.69055222829194871000次遍历整个数据集,当前误差值:0.18556718628565542000次遍历整个数据集,当前误差值:0.15085206145242493000次遍历整个数据集,当前误差值:0.074453577598141214000次遍历整个数据集,当前误差值:0.125935750217856385000次遍历整个数据集,当前误差值:0.104235118127058956000次遍历整个数据集,当前误差值:0.100552457054714727000次遍历整个数据集,当前误差值:0.0316014219536144848000次遍历整个数据集,当前误差值:0.111708983225074239000次遍历整个数据集,当前误差值:0.19764808191072578

在这里插入图片描述

绘制分类结果图:

preditions = opt_utils.predict(train_X,train_Y,parameters)#绘制分类图
plt.title("Model with Adam optimization")
axes = plt.gca()
axes.set_xlim([-1.5, 2.5])
axes.set_ylim([-1, 1.5])
opt_utils.plot_decision_boundary(lambda x: opt_utils.predict_dec(parameters, x.T), train_X, train_Y)

运行结果如下:

Accuracy: 0.94

在这里插入图片描述

3.4 总结

在这里插入图片描述
  具有动量的梯度下降通常可以有很好的效果,但由于小的学习速率和简单的数据集所以它的影响几乎是轻微的。另一方面,Adam明显优于小批量梯度下降和具有动量的梯度下降,如果在这个简单的模型上运行更多时间的数据集,这三种方法都会产生非常好的结果,然而,我们已经看到Adam收敛得更快。
  Adam的一些优点包括相对较低的内存要求(虽然比梯度下降和动量下降更高)和通常运作良好,即使对参数进行微调(除了学习率 α \alpha α


http://chatgpt.dhexx.cn/article/NDMW6kXK.shtml

相关文章

吴恩达深度学习课程第二章第三周编程作业(pytorch实现)

文章目录 声明一、问题描述二、编程实现1.加载数据集2.使用mini-batch3.利用pytorch搭建神经网络3.1 利用torch.nn简单封装模型3.2 定义优化算法和损失函数 4.整体代码 声明 本博客只是记录一下本人在深度学习过程中的学习笔记和编程经验&#xff0c;大部分代码是参考了【中文】…

吴恩达深度学习L4W4人脸识别

1、One-shot learning 人脸识别往往每个人只有一张照片&#xff0c;因此不应该用卷积神经网络配合softmax训练。 应该选择学习 Similarity 函数。详细地说&#xff0c;你想要神经网络学习这样一个用&#x1d451;表示的函数&#xff0c;&#x1d451;(&#x1d456;&#x1d45…

吴恩达深度学习Deep Learning课程笔记

1.1 前言 课程安排&#xff1a; 1.神经网络和深度学习 内容&#xff1a;神经网络的基础&#xff0c;如何建立神经网络、深度神经网络、以及如何在数据时训练它们 2.提升深度神经网络 内容&#xff1a;深度学习方面的实践&#xff0c;严密地构建神经网络以及提升其表现&…

吴恩达深度学习第一章第二周编程作业

文章目录 前言一、题目描述。二、相关库三、编程步骤1.数据预处理2.模型的封装3.模型的调用4.结果展示 总结 前言 本人处于初学阶段&#xff0c;编程能力有限&#xff0c;代码的编写参考了网上的大神。 一、题目描述。 我们需要训练得到一个逻辑回归分类器来对图片进行二分类&…

吴恩达深度学习之风格迁移

个人的学习笔记&#xff0c;一直更新中&#xff0c;如有错误&#xff0c;评论区见&#xff0c;冲冲冲&#xff01; 笔记来源&#xff1a;吴恩达深度学习 4.6 什么是神经风格转换&#xff1f;_哔哩哔哩_bilibili 1 输入输出 风格迁移输入&#xff1a;内容&#xff08;Conten…

吴恩达深度学习作业之deepleraning_L1W2_h1

#吴恩达《深度学习》L1W2作业1 知识点&#xff1a;numpy入门&#xff0c;函数向量化实现做完这个作业&#xff0c;你能学会&#xff1a;用ipython notebook 用numpy&#xff0c;包括函数调用及向量矩阵运算 理解“广播”的概念 向量化代码#我们很少在深度学习中使用“math”库。…

吴恩达深度学习编程作业报错解决方法汇总

概述及资源分享 大二结束后的暑假&#xff0c;学习吴恩达深度学习&#xff08;[双语字幕]吴恩达深度学习deeplearning.ai_哔哩哔哩_bilibili&#xff09;的课程&#xff0c;在做编程作业的时候总是遇到一些报错&#xff0c;尤其是导入所需要的库的时候会报一些No model。。。的…

旧版吴恩达深度学习环境搭建(anaconda+tensorflow+jupyter notebook)(呕心沥血诚意之作)

本人在参考多位博主的文章后&#xff0c;多次尝试才成功配置了tensorflow1.2.1的环境&#xff08;课程建议Python3.6tensorflow1.2.1Keras2.0.7&#xff09;。在此之前&#xff0c;曾经尝试用tensorflow2.x降级的方法&#xff08;import tensorflow.compat.v1 as tf&#xff09…

《吴恩达深度学习》编程作业-第二周

目录 1.题目&#xff1a;基于神经网络思维模式的逻辑回归 2.声明 3.知识回顾 4.Python编程分析 4.1.导入需要用的库 4.2.数据处理 4.2.1.读取数据&#xff08;包括训练集和测试集&#xff09; 4.2.2.取出数据&#xff08;包括训练集和测试集&#xff0c;还有标签的值&a…

吴恩达 深度学习 2021版 作业

练习 神经网络与深度学习神经网络基础Numpy基础1-使用numpy构建基本函数 神经网络与深度学习 神经网络基础 Numpy基础 学习目标&#xff1a; 使用numpy&#xff0c;包括函数调用及向量矩阵运算广播向量化代码 1-使用numpy构建基本函数 1.1- sigmoid function和np.exp&…

吴恩达深度学习

最近在学习吴恩达老师的深度学习&#xff0c;边学边随手记一些东西&#xff0c;留个简单的笔记&#xff0c;以便日后复习。 第一周 结构化数据&#xff1a;每个特征都有清晰的定义 非结构化数据&#xff1a;音频、图像、文本等 大规模的神经网络大规模的带标签数据 第一周习题…

吴恩达《深度学习专项》笔记(十二):目标检测与语义分割简介 (YOLO, U-Net)

这节课中&#xff0c;我们要学习计算机视觉中最重要的任务之一——目标检测任务。我们会先认识目标定位和关键点检测这两个比较简单的任务&#xff0c;慢慢过度到目标检测任务。之后&#xff0c;我们会详细学习目标检测的经典算法YOLO。最后&#xff0c;我们会稍微认识一下语义…

吴恩达:28张图全解深度学习知识

吴恩达在推特上展示了一份由 TessFerrandez 完成的深度学习专项课程信息图&#xff0c;这套信息图优美地记录了深度学习课程的知识与亮点。因此它不仅仅适合初学者了解深度学习&#xff0c;还适合机器学习从业者和研究者复习基本概念。喜欢记得关注、收藏、点赞。 这不仅仅是一…

吴恩达深度学习深度学习概述以及优化

深度学习概述及优化 1、深度学习概述2、神经网络基础之逻辑回归3、深层神经网络4、深度学习实用层面4.1 训练集、验证集、测试集4.2 偏差、方差4.3 L1、L2正则化4.4 归一化处理4.5 Dropout4.6 其他正则化方法4.7 梯度消失和爆炸 1、深度学习概述 在之前的吴恩达机器学习课程中…

深度学习-吴恩达:一、神经网络和深度学习

文章目录 1、what is a Neural Network?&#xff08;什么是神经网络&#xff09;2、Supervised Learning with Neural Networks &#xff08;监督学习&#xff09;3、为什么深度学习会兴起&#xff1f;第一周测验测验题答案 1、what is a Neural Network?&#xff08;什么是神…

IOS开发视频教程《保卫萝卜》-任亮-专题视频课程

IOS开发视频教程《保卫萝卜》—3411人已学习 课程介绍 《保卫萝卜CarrotFantasy》是一款由开发商“凯罗天下”开发的超萌塔防小。14种防御塔保卫萝卜战怪兽。保卫萝卜是一款制作精美的超萌塔防游戏&#xff0c;游戏含有丰富的关卡和主题包&#xff0c;拥有各自风格特色…

ios游戏开发 Sprite Kit教程:初学者 1

注&#xff1a;本文译自Sprite Kit Tutorial for Beginners 目录 Sprite Kit的优点和缺点Sprite Kit vs Cocos2D-iPhone vs Cocos2D-X vs UnityHello, Sprite Kit!横屏显示移动怪兽发射炮弹碰撞检测: 概述碰撞检测: 实现收尾何去何从? 在iOS 7中内置了一个新的Sprite Kit框架…

HTML5游戏开发高级教程 | Lynda教程 中文字幕

HTML5游戏开发高级教程 | Lynda教程 中文字幕 Advanced HTML5 Game Development 课程ID: 597988 时长: 2.3小时 所属类别:Html 全部游戏开发课程 了解如何使用HTML5创建交互式&#xff0c;动态和丰富多彩的游戏 在本课程中&#xff0c;学习如何充分利用所有HTML5功能来创建…

ios游戏开发 Sprite Kit教程:初学者 2

注&#xff1a;本文译自Sprite Kit Tutorial for Beginners 目录 Sprite Kit的优点和缺点Sprite Kit vs Cocos2D-iPhone vs Cocos2D-X vs UnityHello, Sprite Kit!横屏显示移动怪兽发射炮弹碰撞检测: 概述碰撞检测: 实现收尾何去何从? 横屏显示 首先&#xff0c;在Project Na…

【游戏开发教程】Unity iOS平台接入微信SDK,实现微信登录等功能(教程 | 流程讲解)

文章目录 一、前言二、流程1、申请开发者账号2、创建应用3、下载SDK4、导入到Unity中5、编写Objective-C代码5.1、CustomAppController.mm5.2、WXApiManager.h5.3、WXApiManager.mm5.4、注册回调对象5.5、封装初始化接口5.6、封装登录接口5.7、其他接口封装 6、XCodeAPI7、关于…