【目标定位】基于matlab TDOA GPS混合定位【含Matlab源码 2310期】

article/2025/10/12 11:49:31

⛄一、基于粒子滤波污染源定位简介

1 混合定位的系统结构
本文提出的GPS/TDOA混合定位系统结构可见于图1。

移动终端集成了无线通信模块和GPS接收模块,终端可同时测得通信网络中相对于服务基站的TDOA和GPS卫星到终端的伪距。在CDMA通信系统中,从通信终端测量TDOA的具体方法和定义可参见标准[11]。GPS伪距修正后可得TOA。当GPS可定位、可见卫星数等于或多于4时,一般可采用GPS定位位置提供服务;当GPS无法定位时(通常是在可见卫星数少于4时),采用GPS/TDOA混合定位方式提供位置服务。下面将具体讨论混合定位的算法。
在这里插入图片描述
图1 CDMA通信网络GPS/TDOA混合定位结构

2 观测量测量模型
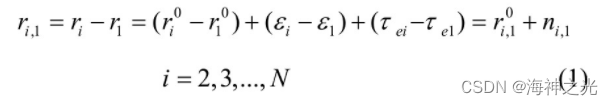
无线网络中,MS与BSi之间的距离(TOA)测量值可表示为:
在这里插入图片描述
其中,ri0为MS与BS之间TOA真值;εi为系统测量误差,一般服从零均值高斯分布,各εi之间相互独立;τei为NLOS引起的附加时延误差,一般服从非零均值高斯分布,各τei之间相互独立;N为参与定位测量的BS数目;

各BS与BS1到MS距离的差(TDOA)可表示为:
在这里插入图片描述
其中,r0i,1为TDOA真实值;ni,1为测量误差,包括了零均值、高斯分布的系统测量误差和非零均值、高斯分布的NLOS引起的附加时延误差。在NLOS环境下,NLOS误差一般远远大于LOS环境下的测量误差,因此在NLOS条件下,主要考虑NLOS误差,LOS环境下的高斯测量误差可忽略。BS1为距离移动终端最近的服务基站,所以ri,1一般为正值。

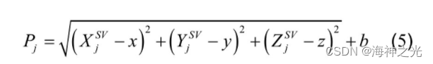
GPS观测方程为:
在这里插入图片描述
相对星座1做星际单差,消掉未知项b得:

GPS定位系统中,移动终端测得无线信号从卫星到达终端的传播距离,即伪距。一般,移动终端时钟与GPS标准时间都存在偏差。卫星的时钟差通过报文中信息补偿后可认为相互都已同步。因此,各GPS卫星伪距可表示为:
在这里插入图片描述
其中,rj为终端与卫星j之间的真实距离;b为终端时间偏差造成的距离差;Ij为电离层折射影响,可按有关辅助信息进行改正、消除;Tj为对流层折射影响,也可按有关辅助信息进行改正、消除。

⛄二、部分源代码

clc
clear
close all

%% 设置仿真环境
%GPS卫星坐标
GPSxyz=[
20000, 20000,20000;
-20000, 20000,20000;
-20000,-20000,20000;
20000,-20000,20000;
];
%基站坐标
BSxyz0=[1000,0,30];
BSxyz=[
0, 1000, 30;
-1000, 0, 30;
0,-1000, 30;
];
%目标真实坐标
xr=1000*(rand-0.5);
yr=1000*(rand-0.5);
zr=100*rand;
wr=0;

%% 模拟产生观测量
M=size(GPSxyz,1);%伪距观测量个数
N=size(BSxyz,1);%TDOA观测量个数
SigmaDist=20;%伪距观测误差,标准差,折算成距离(单位:米)
SigmaRho=60;%TDOA观测误差,标准差,折算成距离(单位:米)
Dist=zeros(M,1);
Rho=zeros(N,1);
for i=1:M
xgi=GPSxyz(i,1);
ygi=GPSxyz(i,2);
zgi=GPSxyz(i,3);
Dist(i)=sqrt((xr-xgi)2+(yr-ygi)2+(zr-zgi)^2)+normrnd(0,SigmaDist,1,1);
end

⛄三、运行结果

在这里插入图片描述
在这里插入图片描述

⛄四、matlab版本及参考文献

1 matlab版本
2014a

2 参考文献
[1]龚福祥,王庆,张小国.通信网络中的GPS/TDOA混合定位算法[J].中国惯性技术学报. 2011,19(02)

3 备注
简介此部分摘自互联网,仅供参考,若侵权,联系删除


http://chatgpt.dhexx.cn/article/1xkUPlgH.shtml

相关文章

基于图像的目标检测与定位方法概述

目录 1. 目标检测与定位概念2. 目标检测与定位方法2.1 传统目标检测流程2.2 two-stage检测算法2.2.1 R-CNN2.2.2 two-stage其他算法2.2.2.1 Spatial Pyramid Pooling(空间金字塔池化)2.2.2.2 Fast-RCNN2.2.2.3 P11 Faster RCNN 2.3 One-Stage2.3.1 YOLO2…

大疆无人机实现目标定位

大疆无人机实现目标定位 大疆无人机回传的实时视频可以帮助飞友观察发现美景,就称为目标吧,你偏偏对目标很感兴趣,迫切想知道目标的位置,最好是经纬度坐标。你查找大疆Document,欣喜地发现大疆提供了定位机体本身的定…

2-基于单目视觉的目标定位

1-四种坐标系描述 一、世界坐标系 客观三维世界的绝对坐标系,也称客观世界坐标系,是以目标为原点建立起来的坐标系。 二、摄像机坐标系 摄像机坐标系是以摄像机的光心作为坐标系的原点,Zc.轴与光轴重合,并…

复杂情况下,目标区域定位

复杂情况下,基于halcon的目标区域定位 原始图源代码处理结果 原始图 源代码 dev_close_window () read_image (Image, E:/Halcon_Learn/黑块提取_网络/1.bmp) get_image_size (Image, Width, Height) dev_open_window_fit_size (0, 0, Width, Height, -1, -1, Wind…

目标检测_精确定位_2020

Side-Aware Boundary Localization for More Precise Object Detection 论文:https://arxiv.org/pdf/1912.04260.pdf 代码: 关键文章:Faster R-CNN [37], RetinaNet [25], and Cascade R-CNN 提出问题: 传统的基于锚点和大小…

Opencv中关于特征点匹配定位的问题(二)单目标和多目标定位

单目标和多目标定位 单目标定位多目标定位 单目标定位 在opencv官方提供了一种定位的思路,就是通过匹配的点来获取透视变换矩阵,然后经过透视变换后就能够获得对应的目标的坐标了。 import cv2 import numpy as np# 打开两个文件 img1 cv2.imread(321…

目标定位和检测系列(1):一些基本概念

最近开始学习深度学习中的定位和检测任务。本来打算直接看论文,却发现文章中的的很多基本概念都搞不清楚,于是就自己先梳理了一些定位和检测任务的基本概念。(内容主要来自斯坦福大学的CS231课程、吴恩达的deeplearning.ai卷积部分&#xff0…

OpenCV技巧篇——多目标视觉定位(以飞镖定位为例)

OpenCV技巧篇【1】——多目标视觉定位(以飞镖定位为例) 1、针对问题 多目标视觉定位是指通过计算机视觉技术对一张图片中的多个目标进行识别和定位的过程。本篇将以对飞镖定位为例,提出一个简单有效的多目标定位技巧,最终实现如…

目标定位算法(二)之基于测距的定位算法

文章目录 基于测距的定位算法1.最小二乘原理2.最小二乘定位算法3.基于RSSI测距的定位算法4.基于TOA/TDOA的目标定位算法1)基于TOA测距2)基于TDOA测距 基于测距的定位算法 非测距的定位算法往往误差较大,提高精度往往依赖于密集的观测站部署。…

YOLO v5与双目测距结合,实现目标的识别和定位测距

YOLO v5与双目测距结合,实现目标的识别和定位测距 1、首先安装YOLO v52、数据集的标定3、双目测距代码的单独运行调试4、YOLO v5与双目测距的代码的结合5、最终识别测距效果6、代码下载调试运行7、最终演示视频欢迎各位点赞投币收藏哦🤣🤣&am…

单目视觉的运动目标跟踪定位

[转] http://www.leiphone.com/news/201704/z87wjT8j9s94tMnG.html 市场上空间定位的技术方案分为单目、双目以及激光雷达三大阵营,其中激光雷达由于成本高昂市场接受度较低,而在都是基于计算机视觉的单目和双目中,双目则显得更受欢迎。在国内…

目标定位

声明:本文引用吴恩达教授的DeepLearning课程内容。 图像分类:图片分类问题并不陌生,例如,输入一张图片到多层卷积神经网络。这就是卷积神经网络,它会输出一个特征向量,并反馈给 softmax 单元来预测图片类型…

目标定位与检测

学习笔记仅用作自己复习 https://b23.tv/JAqvgA Object Recognition Object Detection Object Localization 位置表示,x,y中心点坐标,w宽度,h高度,就可以得到矩形框的范围。(先找中心点再得到矩形框) 黄色全连接层是…

定位目标地理位置

获取目标地理位置 一、GPS简介及分布二、定位工具:Seeker三、反向代理:Ngrok四、实战:获取目标地理位置1.运行 seeker2.上传 ngrok3.短链接伪装4.转发链接 一、GPS简介及分布 物理位置定位:根据P的定位不准确,容易被欺…

目标定位算法(四)之移动目标定位算法

文章目录 移动目标定位算法1.移动目标计算机仿真建模2.基于距离观测的运动目标定位3.纯方位角的运动目标定位 移动目标定位算法 实时探测目标并对目标进行实时定位。 1.移动目标计算机仿真建模 假定目标做匀速直线运动,第i个观测站的位置为(x,y),目标…

目标定位跟踪系统概述

一、观测系统:目标、观测站、坐标系。 观测站如雷达、声纳等传感器。坐标系:二维、三维直角坐标系(描述确定位置);极坐标系(r,cita)、球坐标系(r,cita,fai)(利用角度描述位置&#x…

目标定位算法(三)之基于角度的定位算法

文章目录 基于角度测量的定位算法1.双战角度定位2.三角测量法定位 基于角度测量的定位算法 又叫纯方位目标定位,它的测量信息是目标与观测站之间的角度,包括方向角和俯仰角等。 1.双战角度定位 例:有两个观测站,其中A观测站的位…

目标检测之目标定位

目标检测是计算机视觉领域中一个新兴的应用方向,相比前两年,它的性能越来越好。在构建对象检测之前,我们先了解一下对象定位,首先我们看看它的定义。 图片分类任务我们已经熟悉了,就是算法遍历图片,判断其中…

深度学习——目标定位

目标定位 图片分类任务我们已经熟悉了,就是算法遍历图片,判断其中的对象是不是汽车,这就是图片分类。这节课我们要学习构建神经网络的另一个问题,即定位分类问题。这意味着,我们不仅要用算法判断图片中是不是一辆汽车&…

目标检测及目标定位

一、概述 本文是关于目标检测后根据物体的坐标来确定物体所处的区域,适用于需要根据物体在图像中的位置来分别判断的情况,而且对应的是YOLOv5模型。YOLOv5目标检测的内容可以看看我之前的一篇文章YOLOv5训练自己的数据集_ONEPIECE_00的博客-CSDN博客 本…