2-基于单目视觉的目标定位

article/2025/10/12 13:16:01

1-四种坐标系描述

一、世界坐标系
客观三维世界的绝对坐标系,也称客观世界坐标系,是以目标为原点建立起来的坐标系。
在这里插入图片描述
二、摄像机坐标系
摄像机坐标系是以摄像机的光心作为坐标系的原点,Zc.轴与光轴重合,并垂直于成像平面,且取摄像头的朝向为正方向,Xc轴、Yc轴与图像坐标系的x、y轴平行。
在这里插入图片描述

三、图像坐标系
以电荷耦合元件(CCD图像传感器)获得的图像平面的中心为图像坐标系的坐标原点,图像坐标系的x轴、y轴分别平行于图像平面的两条垂直边。图像坐标系的单位长度为毫米,以(x,y)表示某个像素的位置。
在这里插入图片描述
四、像素坐标系

摄像机摄取的图像是以像素为单位进行排列,所以像素坐标系为图像处理中最基础的坐标系。像素坐标系的坐标原点为CCD图像平面的左上角顶点,像素坐标系的u轴和v轴分别平行于图像坐标系的x轴和y轴,用(w,v)表示其坐标值。每幅图像的存储方式为MxV的数组,M行N列的图像中的每一个元素的数值代表的是图像点的在这一点的像素值,像素坐标系的单位为像素。
在这里插入图片描述

2-四种坐标系之间的转换关系

从客观的三维世界到二维图像,需要经历一系列的转换。实现目标定位的基础就是进行各种坐标系之间的转换,建立世界坐标系物体的三维坐标点到二维图像的像素坐标系中像素点的空间对应关系。有了上述4个坐标系之后便可以形象的描述出摄像机光学成像的基本过程。世界坐标系下的点到像素坐标系下的点(w,v)的转换图。
在这里插入图片描述

对于世界坐标系下的点(Xw,Yw,Zw)转换到像素坐标系下的点(u,v),需要以下流程:
一、世界坐标系与摄像机坐标系之间的转换

通过刚体变换实现世界坐标系的点到摄像机坐标系下点的转换,式(3.1)中R为3x3旋转矩阵,T为3x1平移向量。
在这里插入图片描述

二、摄像机坐标系与图像坐标系之间的转换
摄像机坐标系和图像坐标系之间的转换时通过小孔成像的原理实现,己知焦距 f 的前提下完成转换,式(3.2)为小孔成像模型。
在这里插入图片描述
对上式进行变形得:
在这里插入图片描述
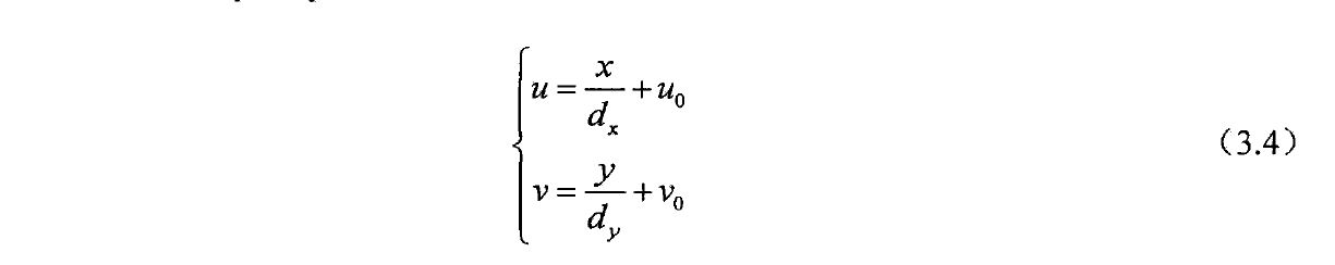
三、图像坐标系与像素坐标系之间的转换
由于像素坐标系的单位是像素而图像坐标系的单位为mm,需要进行单位之间的转换。设每个像素在x轴与y轴方向上的尺寸为dx、dy,由于安装偏差和透镜畸变的原因,需要引入Uo、Vo两个参量,进行建模得:
在这里插入图片描述

对上式变式得:
在这里插入图片描述

在这里插入图片描述

3-PnP定位算法

20世纪80年代,Fishier和Bolles首次提出n点/线透视投影定位(Perspective-n-Point,简称PnP),其基本原理是利用已标定的摄像机通过空间点/像点(3D/2D)坐标的对应关系求出已标定摄像机的姿态。详细来说就是PnP问题被描述为给定一个在世界坐标系中的己知点集和它们在像面对应的投影,在已知摄像机内部参数矩阵的前提下,通过坐标系变换得到世界坐标系和摄像机坐标系之间的变换矩阵(1个旋转矩阵和1个平移向量),以此估计出摄像机在以合作标记为基础上建立的世界坐标系中的位置坐标。PnP算法主要有直接线性化方法、P3P方法等。
一、直接线性化方法

在这里插入图片描述
在这里插入图片描述
在这里插入图片描述
二、P3P方法
P3P为PnP问题的基础,包括P4P、EPnP在内的其他基于点坐标的姿态估计问题都是由P3P演化而来。P3P算法仅使用3对匹配点,对数据要求较少,且要求三点共面但不共线。P3P需要利用给定三个点的几何关系,输入数据为3对3D-2D匹配点,记3D点为A,B,C,2D点为a、b、c,其中a、b、c为A、B、C在成像平面上的投影。此外,P3P还需要1个验证点,已从可能的解中选出最合适的解。
在这里插入图片描述

在这里插入图片描述
在这里插入图片描述
在这里插入图片描述
在这里插入图片描述
在这里插入图片描述
在这里插入图片描述
在这里插入图片描述
在这里插入图片描述
在这里插入图片描述

4-坐标变换

在这里插入图片描述
在这里插入图片描述
在这里插入图片描述
在这里插入图片描述


http://chatgpt.dhexx.cn/article/K0vU5WKk.shtml

相关文章

复杂情况下,目标区域定位

复杂情况下,基于halcon的目标区域定位 原始图源代码处理结果 原始图 源代码 dev_close_window () read_image (Image, E:/Halcon_Learn/黑块提取_网络/1.bmp) get_image_size (Image, Width, Height) dev_open_window_fit_size (0, 0, Width, Height, -1, -1, Wind…

目标检测_精确定位_2020

Side-Aware Boundary Localization for More Precise Object Detection 论文:https://arxiv.org/pdf/1912.04260.pdf 代码: 关键文章:Faster R-CNN [37], RetinaNet [25], and Cascade R-CNN 提出问题: 传统的基于锚点和大小…

Opencv中关于特征点匹配定位的问题(二)单目标和多目标定位

单目标和多目标定位 单目标定位多目标定位 单目标定位 在opencv官方提供了一种定位的思路,就是通过匹配的点来获取透视变换矩阵,然后经过透视变换后就能够获得对应的目标的坐标了。 import cv2 import numpy as np# 打开两个文件 img1 cv2.imread(321…

目标定位和检测系列(1):一些基本概念

最近开始学习深度学习中的定位和检测任务。本来打算直接看论文,却发现文章中的的很多基本概念都搞不清楚,于是就自己先梳理了一些定位和检测任务的基本概念。(内容主要来自斯坦福大学的CS231课程、吴恩达的deeplearning.ai卷积部分&#xff0…

OpenCV技巧篇——多目标视觉定位(以飞镖定位为例)

OpenCV技巧篇【1】——多目标视觉定位(以飞镖定位为例) 1、针对问题 多目标视觉定位是指通过计算机视觉技术对一张图片中的多个目标进行识别和定位的过程。本篇将以对飞镖定位为例,提出一个简单有效的多目标定位技巧,最终实现如…

目标定位算法(二)之基于测距的定位算法

文章目录 基于测距的定位算法1.最小二乘原理2.最小二乘定位算法3.基于RSSI测距的定位算法4.基于TOA/TDOA的目标定位算法1)基于TOA测距2)基于TDOA测距 基于测距的定位算法 非测距的定位算法往往误差较大,提高精度往往依赖于密集的观测站部署。…

YOLO v5与双目测距结合,实现目标的识别和定位测距

YOLO v5与双目测距结合,实现目标的识别和定位测距 1、首先安装YOLO v52、数据集的标定3、双目测距代码的单独运行调试4、YOLO v5与双目测距的代码的结合5、最终识别测距效果6、代码下载调试运行7、最终演示视频欢迎各位点赞投币收藏哦🤣🤣&am…

单目视觉的运动目标跟踪定位

[转] http://www.leiphone.com/news/201704/z87wjT8j9s94tMnG.html 市场上空间定位的技术方案分为单目、双目以及激光雷达三大阵营,其中激光雷达由于成本高昂市场接受度较低,而在都是基于计算机视觉的单目和双目中,双目则显得更受欢迎。在国内…

目标定位

声明:本文引用吴恩达教授的DeepLearning课程内容。 图像分类:图片分类问题并不陌生,例如,输入一张图片到多层卷积神经网络。这就是卷积神经网络,它会输出一个特征向量,并反馈给 softmax 单元来预测图片类型…

目标定位与检测

学习笔记仅用作自己复习 https://b23.tv/JAqvgA Object Recognition Object Detection Object Localization 位置表示,x,y中心点坐标,w宽度,h高度,就可以得到矩形框的范围。(先找中心点再得到矩形框) 黄色全连接层是…

定位目标地理位置

获取目标地理位置 一、GPS简介及分布二、定位工具:Seeker三、反向代理:Ngrok四、实战:获取目标地理位置1.运行 seeker2.上传 ngrok3.短链接伪装4.转发链接 一、GPS简介及分布 物理位置定位:根据P的定位不准确,容易被欺…

目标定位算法(四)之移动目标定位算法

文章目录 移动目标定位算法1.移动目标计算机仿真建模2.基于距离观测的运动目标定位3.纯方位角的运动目标定位 移动目标定位算法 实时探测目标并对目标进行实时定位。 1.移动目标计算机仿真建模 假定目标做匀速直线运动,第i个观测站的位置为(x,y),目标…

目标定位跟踪系统概述

一、观测系统:目标、观测站、坐标系。 观测站如雷达、声纳等传感器。坐标系:二维、三维直角坐标系(描述确定位置);极坐标系(r,cita)、球坐标系(r,cita,fai)(利用角度描述位置&#x…

目标定位算法(三)之基于角度的定位算法

文章目录 基于角度测量的定位算法1.双战角度定位2.三角测量法定位 基于角度测量的定位算法 又叫纯方位目标定位,它的测量信息是目标与观测站之间的角度,包括方向角和俯仰角等。 1.双战角度定位 例:有两个观测站,其中A观测站的位…

目标检测之目标定位

目标检测是计算机视觉领域中一个新兴的应用方向,相比前两年,它的性能越来越好。在构建对象检测之前,我们先了解一下对象定位,首先我们看看它的定义。 图片分类任务我们已经熟悉了,就是算法遍历图片,判断其中…

深度学习——目标定位

目标定位 图片分类任务我们已经熟悉了,就是算法遍历图片,判断其中的对象是不是汽车,这就是图片分类。这节课我们要学习构建神经网络的另一个问题,即定位分类问题。这意味着,我们不仅要用算法判断图片中是不是一辆汽车&…

目标检测及目标定位

一、概述 本文是关于目标检测后根据物体的坐标来确定物体所处的区域,适用于需要根据物体在图像中的位置来分别判断的情况,而且对应的是YOLOv5模型。YOLOv5目标检测的内容可以看看我之前的一篇文章YOLOv5训练自己的数据集_ONEPIECE_00的博客-CSDN博客 本…

一、目标定位

1、目标定位是要求图像中只有一个目标,则构建这个目标的位置信息,如一个网络输出8个值,一个是是否有目标的pc,4个目标位置信息的bx,by,bh,bw,其中bx,by为目标中心点坐标,bh,bw为目标的高和宽,最…

3-1 目标定位

目标定位( Object localization) 图片分类任务就是算法遍历图片,判断其中的对象是不是某个指定的类别,这就是图片分类。 定位分类问题。意味着我们不仅要用算法判断图片中是不是一辆汽车,还要在图片中标记出它的位置&a…

深度学习(十五):目标定位 Object Localization

这是一系列深度学习的介绍,本文不会涉及公式推导,主要是一些算法思想的随笔记录。 适用人群:深度学习初学者,转AI的开发人员。 编程语言:Python 参考资料:吴恩达老师的深度学习系列视频 吴恩达老师深度学习…