时间序列模型相关说明和模型介绍

article/2025/10/5 19:37:23

一、什么是时间序列?

时间序列是在规律性时间间隔记录的观测值序列。依赖于观测值的频率,典型的时间序列可分为每小时、每天、每周、每月、每季度和每年为单位记录。
在这里插入图片描述


import pandas as pd
df = pd.read_csv('https://raw.githubusercontent.com/selva86/datasets/data.csv', parse_dates=['date']) 
df.head()

在这里插入图片描述

二、时间序列具有4个成分,如下所示

  • Level − It is the mean value around which the series varies.
  • 水平 -它是序列变化的平均值。
  • Trend − It is the increasing or decreasing behavior of a variable with time.
  • **趋势 -**它是变量随时间的增加或减少行为。
  • Seasonality − It is the cyclic behavior of time series.
  • **季节性 -**这是时间序列的周期性行为。
  • Noise − It is the error in the observations added due to environmental factors.
  • 噪声 -这是由于环境因素导致的观测值误差。

三、预测质量评价指标

R 平方: 可决系数,取值范围为 [0,+∞)[0,+∞) ,其值越大,表示拟合效果越好 调用接口为 sklearn.metrics.r2_score,计算公式如下:

在这里插入图片描述
平均绝对误差: 即所有单个观测值与算术平均值的偏差的绝对值的平均。这是一个可解释的指标,因为它与初始系列具有相同的计量单位。取值范围为 [0,+∞)[0,+∞) ,调用接口为 sklearn.metrics.mean_absolute_error ,计算公式如下:
在这里插入图片描述
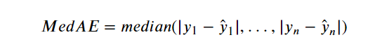
中值绝对误差: 与平均绝对误差类似,即所有单个观测值与算术平均值的偏差的绝对值的中值。而且它对异常值是不敏感。取值范围为 [0,+∞)[0,+∞) ,调用接口为 sklearn.metrics.median_absolute_error ,计算公式如下:
在这里插入图片描述
**均方差:**最常用的度量标准,对大偏差给予较高的惩罚,反之亦然,取值范围为 [0,+∞)[0,+∞) ,调用接口为 sklearn.metrics.mean_squared_error ,计算公式如下:
在这里插入图片描述
均方对数误差: 这个与均方差类似,通过对均方差取对数而得到。因此,该评价指标也更重视小偏差。这指标通常用在呈指数趋势的数据。取值范围为 [0,+∞)[0,+∞) ,调用接口为 sklearn.metrics.mean_squared_log_error ,计算公式如下:
在这里插入图片描述
**平均绝对百分比误差:**这与 MAE 相同,但是是以百分比计算的。取值范围为 [0,+∞)[0,+∞) ,计算公式如下:
在这里插入图片描述

#平均绝对百分比误差的实现
def mean_absolute_percentage_error(y_true, y_pred): return np.mean(np.abs((y_true - y_pred) / y_true)) * 100

四、十大时序模型:

  • Naïve, SNaïve
  • Seasonal decomposition (+ any model)
  • Exponential smoothing
  • ARIMA, SARIMA
  • GARCH
  • Dynamic linear models
  • TBATS
  • Prophet
  • NNETAR
  • LSTM

1、Naïve,模型
我们依据过往的观测值来预测:

这类预测假设随机模型产出时间序列是一个random walk。

Naïve模型的扩展是SNaïve,SNaïve假设时间序列是有周期性的,而且其周期为T,则:

因此,以下T时间步的预测值与之前T时间步的预测值相等。Naïve和SNaïve模型通常被用作基准模型。

2、Seasonal decomposition (+ any model)
statsmodels是一个 Python 模块,它提供了用于估计许多不同统计模型以及进行统计测试和统计数据探索的类和函数。

安装:pip install statsmodels

如果数据显示出某种周期性(例如,每日、每周、每季度、每年),则我们可以将原始时间序列分解为三个部分的总和:
在这里插入图片描述
其中S(t)是周期性部分,T(t)是趋势性成分,R(t)是剩余部分。针对这种分解,我们有多种经典的分解策略,例如:

  • 我们可以通过rolling mean的策略来预估;
  • 对于每个周期,我们通过计算平均去趋势序列来计算;
  • 最后通过减法得到余数部分。

当然上面的策略还是相对简单,后来被优化为:

  • 我们有非常数的周期;
  • 通过分解的形式计算初始和最后的值;
  • 防止过度平滑;
statsmodels.tsa.seasonal.seasonal_decompose(x,model = 'additive',filt = None,period = None,two_side = True,extrapolate_trend = 0#使用移动平均线进行季节性分解参数:x:array_like,被分解的数据model:{“additive”, “multiplicative”}, optional,"additive"(加法模型)和"multiplicative"(乘法模型)filt:tarray_like, optional,用于滤除季节性成分的滤除系数。滤波中使用的具体移动平均法由two_side确定period:int, optional,系列的时期。如果x不是pandas对象或x的索引没有频率,则必须使用。如果x是具有时间序列索引的pandas对象,则覆盖x的默认周期性。two_sided:bool, optional,滤波中使用的移动平均法。如果为True(默认),则使用filt计算居中的移动平均线。如果为False,则滤波器系数仅用于过去的值extrapolate_trend:int or ‘freq’, optional,如果设置为> 0,则考虑到许多(+1)最接近的点,由卷积产生的趋势将在两端外推线性最小二乘法(如果two_side为False,则为单一个最小二乘)。如果设置为“频率”,请使用频率最近点。设置此参数将导致趋势或残油成分中没有NaN值。
# 下面深入分解:长期趋势Trend、季节性seasonality和随机残差residuals。# 强行补充小知识:平稳性处理之“分解”
# 所谓分解就是将时序数据分离成不同的成分。statsmodels使用的X-11分解过程,它主要将时序数据分离成长期趋势、季节趋势和随机成分。
# 与其它统计软件一样,statsmodels也支持两类分解模型,加法模型和乘法模型,model的参数设置为"additive"(加法模型)和"multiplicative"(乘法模型)。import statsmodels.api as sm  # 导入统计建模模块
# multiplicative
res = sm.tsa.seasonal_decompose(ts.values,freq=12,model="multiplicative") 
# 这里用到的.tsa.seasonal_decompose()函数,经尝试:参数ts.values时,横坐标是Time;参数ts时,横坐标是date_block_num。其他不变。
# freg这个参数容后研究,这里暂且猜测是周期12个月。# plt.figure(figsize=(16,12))
fig = res.plot()
# fig.show()  # 此句,可加可不加。# 得到不同的分解成分,接下来可以使用时间序列模型对各个成分进行拟合。

在这里插入图片描述
3、指数平滑
指数平滑是早期大家在做数据竞赛时最为成功的一种模型,它基础形式为:
在这里插入图片描述
使用指数平滑方法生成的预测是过去观测值的加权平均值,并且随着过去观测值离预测值距离的增大,权重呈指数型衰减。

权重减小率由平滑参数α控制。 如果α很大(即接近1),则对更近期的观察给予更多权重。 有两种极端情况:

  1. α= 0:所有未来值的预测等于历史数据的平均值(或“平均值”),称为平均值法。

  2. α= 1:简单地将所有预测设置为最后一次观测的值,统计中称为朴素方法。

Exponential smoothing:针对「没有趋势和季节性」的序列

  1. 一次指数平滑,从最邻近到最早的数据点的权重呈现指数型下降的规律。

  2. 当时间数列无明显的趋势变化,可用一次指数平滑预测。

Holt exponential smoothing:针对「有趋势但没有季节性」的序列

  1. 二次指数平滑,通过引入一个额外的系数来解决指数平滑无法应用于具有趋势性数据的问题。

  2. 二次指数平滑保留并更新两个量的状态:「平滑后的信号」和「平滑后的趋势」。

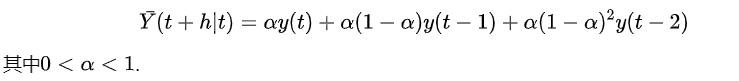
Holt-Winters exponential smoothing:针对「有趋势且有季节性」的序列

  1. 三次指数平滑,通过再次引入一个新系数的方式同时解决了 Holt exponential smoothing
    无法解决具有季节性变化数据的不足。

  2. 三次指数平滑在此基础上引入季节性分量考虑时间序列周期性模式。

  3. 有两种不同的季节性组成部分:

    当季节变化在该时间序列中大致保持不变时,通常选择加法模型;

    当季节变化与时间序列的水平成比例变化时,通常选择乘法模型;

在这里插入图片描述

import pandas as pd
import numpy as np
from scipy import  stats
import matplotlib.pyplot as plt
import statsmodels.api as smdata.index=pd.Index(sm.tsa.datetools.dates_from_range('2020m1',length=len(data)))

在这里插入图片描述

from statsmodels.tsa.holtwinters import ExponentialSmoothing
model1=ExponentialSmoothing(data,seasonal_periods=12,trend='add',seasonal='add',freq='1M').fit()   #加法模型
model2=ExponentialSmoothing(data,seasonal_periods=12,trend='mul',seasonal='mul',freq='1M').fit()   #乘法模型
summary_1=model1.summary()
summary_2=model1.summary()
print(summary_1)
print(summary_2)

在这里插入图片描述


#模型预测
model_forecast_2=model2.forecast(12)
print(model_forecast_2)

在这里插入图片描述


http://chatgpt.dhexx.cn/article/ySAESbCY.shtml

相关文章

常用的时间序列模型

白噪声模型 时间序列算法之ARIMA模型 对非平稳时间序列的分析方法可以分为确定性因素分解的时序分析和随机时序分析两个大类。 确定性因素分解的方法把所有序列的变化都归结为4个因素:长期趋势、季节变动、循环变动和随机波动。其中长期趋势和季节变动的规律性信息通…

数学建模之时间序列模型及其应用

摘要 时间序列模型就是将预测对象按照时间顺序排列起来,用这一组时间序列过去的变化规律,推断今后变化的可能性及变化趋势、变化规律。 时间序列模型也是一种回归模型,其一方面承认事物发展的延续性,运用过去的数据来推测事物的发展趋势;另一方面又考虑到偶然因素产生的随机性…

集成时间序列模型提高预测精度

使用Catboost从RNN、ARIMA和Prophet模型中提取信号进行预测 集成各种弱学习器可以提高预测精度,但是如果我们的模型已经很强大了,集成学习往往也能够起到锦上添花的作用。流行的机器学习库scikit-learn提供了一个StackingRegressor,可以用于…

时间序列规则和时间序列模型

1. 时间序列规则 1.1 什么是时间序列规则 对于赛题/业务的规则之前已经描述了它的重要性和应用,在此不再赘述。这章主要了解时间序列及其规则,和周期的应用。 1.1.1 时间序列 时间序列(或称动态数列):指将同一统计…

时间序列模型算法 - Prophet,LSTM(二)

时间序列模型 - Prophet 1.时间序列简介1.1 时间序列 - 平稳性检验1.1.1 log法1.1.2 差分法 1.2 平稳性的单位根检验 2.ARIMA3.Prophet3.1 Prophet的优点3.2 安装Prophet3.3 数据处理3.4 预测 4.LSTM4.1 数据处理4.2 训练预测 1.时间序列简介 在做时间序列时,首先要…

时间序列模型-ARIMA

一、ARIMA模型基本概念 1.1 自回归模型(AR) 描述当前值与历史值之间的关系,用变量自身的历史数据对自身进行预测;自回归模型必须满足平稳性的要求;(何为平稳性:见时间序列数据分析基本概念&am…

ARMA 时间序列模型

更好的理解协方差以及相关系数 ###X因素和Y因素协方差公式: 自相关系数ACF 直观上来说,ACF 描述了一个观测值和另一个观测值之间的自相关,包括直接和间接的相关性信息。 其实自相关系数可以这么理解:把一列数据按照滞后数拆成两…

时间序列模型简介

时间序列模型简介 尽管此前我们已经用到了time series这个专业名词,但我们对时序特征进行的处理,并不是time series这个专业名词所代表的真正含义,既时间序列。尽管本阶段我们并不会讲解时间序列模型,但既然讨论了时序特征&#x…

时间序列的7种预测模型

背景 时间序列问题比较常见,比如股市,工业生产指标等。 导入必要的Python包: from statsmodels.tsa.api import ExponentialSmoothing, \ SimpleExpSmoothing, Holtimport statsmodels.api as sm1. 朴素估计 y ^ t 1 y t \hat{y}_{\math…

算法模型---时间序列模型

文章来源 时间序列 时间序列是时间间隔不变的情况下收集的不同时间点数据集合,这些集合被分析用来了解长期发展趋势及为了预测未来。 时间序列与常见的回归问题的不同点在于: 1、时间序列是跟时间有关的;而线性回归模型的假设:观察结果是独立的在这种情…

ADF单位根检验三种形式_[STATA] 时间序列模型 ARIMA检验

___ ____ ____ ____ ____ (R) /__ / ____/ / ____/___/ / /___/ / /___/ 13.1 Statistics/Data Analysis 此次系列文章的主题是通过Stata软件来分析时间序列的平稳和非平稳关系,以及如何通过Stata软件来进行不同时间序列模型的预测性分析。…

机器学习——时间序列模型

文章目录 1. 基本概念1.1 自相关函数ACF(autocorrelation function)1.2 偏自相关函数PACF(partial autocorrelation function) 2. 常见模型2.1 自回归模型(AR)2.2 移动平均模型(MA)2…

时间序列模型算法 - ARIMA (一)

时间序列模型 1.时间序列模型概述1.1 时间序列的不同分类1.2 确定性时间序列分析方法概述1.3 三种时间序列模型 2.指标平滑ES2.1 一次指数平滑法 3.ACF与PACF4.AR5.MA6.ARMA7.ARIMA7.1 差分 8. ARIMA实践8.1 读取数据8.2 画图,观察数据是否非平稳8.3 差分&#xff0…

Office 2016 定制安装工具 v1.0 | Office 2016 自定义安装组件

软件简介 以往Office的安装包都采用的是MSI安装器,允许用户在安装时选择安装的组件,但是微软发布的Office2016安装包只提供了C2R(ClickToRun)方式,因此默认情况下用户无法选择安装组件,默认会安装所有。大…

office2016激活后还显示激活页面的解决办法

win10系统的office16通过Office激活工具激活之后,但是打开之后还会出现提示“让我们开始吧”的激活的页面, 1.office2016激活后还显示激活页面的解决办法 以后激活之后,每次试用Word或者Excel的时候,都会出现上图的激活提示页面…

运维 office2016自定义安装

office2016自定义安装组件简明教程 引言 以往Office的安装包都采用的是MSI安装器,允许用户在安装时选择安装的组件, 但是微软发布的Office 2016安装包只提供了C2R(ClickToRun)方式,因此默认情况下用户无法选择安装组…

安装Office的一些工具

1.可以下载各个版本的office:https://msdn.itellyou.cn/ 这个站点经常装系统的朋友应该都知道,一个老站了。 2.部署工具Office Tool Plus:https://otp.landian.vip/zh-cn/ 这个工具挺强大的,可以下载,可以部署&…

office2016 使用KMS破解无法连接服务器

最后发现是wmi服务异常。 修复完成后就正常 注册了

使用office tool plus清除office激活状态

如何清除office激活状态 大多数问题直接更改许可证就行,只有更改许可证无反应才需要使用,本文只是使软件变成未激活,但是激活仍需你已购买许可证 1下载office tool plus 2解压下载好的压缩包 3运行office too lplus.exe 4关闭所有office软件…

OFFICE激活报错0X80080005

点击工具箱->修复Office无法正常激活->修复,看到修复成功,再用Office Tool Plus激活就可以了