根据年月日查询mysql的时间戳(timestamp)的处理方法

article/2025/10/8 21:09:51

有的时候我们想查询数据的创建时间,也可以理解为用户的注册时间来查询数据,因为一般创建时间都会timestamp类型,所以根据年月日的日期是无法查询到的,所以我们需要转换格式查询,下面就看具体的操作吧。

这是我表的数据。

这是我的查询语句。


完全查询不到的。

下面我们就要根据时间戳来转换格式查询。


可以看到使用格式转换之后就能匹配到查询的数据格式了。


http://chatgpt.dhexx.cn/article/pB2AfoF9.shtml

相关文章

mysql时间类型

mysql时间类型:datetime,timestamp,date,time,year 几种时间类型比较如下: 1.datetime DATETIME 用于表示 年月日 时分秒,是 DATE 和 TIME 的组合,并且记录的年份(见上表)比较长久…

快速Mockito教程

一、什么是mock测试,什么是mock对象? 先来看看下面这个示例: 从上图可以看出如果我们要对A进行测试,那么就要先把整个依赖树构建出来,也就是BCDE的实例。 一种替代方案就是使用mocks 从图中可以清晰的看出 mock对象就是…

【转】Mockito教程

原文地址:https://www.cnblogs.com/Ming8006/p/6297333.html 1 Mockito 介绍 [3] 1.1 Mockito是什么? Mockito是mocking框架,它让你用简洁的API做测试。而且Mockito简单易学,它可读性强和验证语法简洁。 1.2 为什么需要Mock 测…

mockito使用教程

一、什么是 Mock 测试 Mock 测试就是在测试过程中,对于某些不容易构造(如 HttpServletRequest 必须在Servlet 容器中才能构造出来)或者不容易获取比较复杂的对象(如 JDBC 中的ResultSet 对象),用一个虚拟的…

Mockito教程

目录 1 Mockito 介绍 1.1 Mockito是什么? 1.2 为什么需要Mock 1.3 Stub和Mock异同 1.4 Mockito资源 1.5 使用场景 2 使用Mockito 2.1 验证行为 2.2 模拟我们所期望的结果 2.3 RETURNS_SMART_NULLS和RETURNS_DEEP_STUBS 2.4 模拟方法体抛出异常 …

python的取整函数:向上取整,向下取整,四舍五入取整

#encoding:utf-8 import math#向上取整 print "math.ceil---" print "math.ceil(2.3) > ", math.ceil(2.3) print "math.ceil(2.6) > ", math.ceil(2.6)#向下取整 print "\nmath.floor---" print "math.floor(2.3) > &q…

[Python] Python数值取整

美图欣赏2022/06/22 1.向上取整math.ceil() 不论正负,所有小数都是向着数值更大的方向取整 import math math.ceil(-0.5) # 0 math.ceil(-0.9) # 0 math.ceil(0) # 0 math.ceil(0.5) # 1 math.ceil(1.2) # 2 2.向下取整math.floor() 不论正负,所有小数都是向着数值更小的方…

python的 取整 及 四舍五入方法(包含list元素取整)

目录 1、向下取整int()2、四舍五入round()2.1 表达式:2.2 注意:尽量不用round!,原因如下 3、向上取整math.ceil()4、分别取整数部分和小数部分5、list元素取整 1、向下取整int() >>> a 3.75 >>> int(a) 32、四…

python中取整数操作

python中取整数操作 ★向靠近零的方向取整 int(x)内置函数【https://docs.python.org/zh-cn/3/library/functions.html#int 】,向靠近零的方向取整,x是数字表达式,如 int(4.4) #得到4 int(-4.4) #得到-4 int(4.5) #得到4 int(-4.5) …

python取整(不同方法的取整)

1. 向下取整 int是截断取整 举个例子 4.x等于4 2.四舍五入 round( )函数简介 菜鸟教程中介绍到,round() 函数作用就是,返回浮点数x的四舍五入值。 x round(5.76543, 2) print(x) >>> x5.773、向上取整 向上取整需要用到 math 模块中的 ce…

【Java之网络】网络基本概念总结

网络相关概念 一. 局域网和广域网1. 局域网(LAN)(1)定义(2)特点 2. 广域网(WAN)(1)定义(2)特点 二. IP地址和端口号1. IP地址2. 端口号…

java网络编程学习基础篇

一、基础背景 时代背景 自2000年左右,Web的快速发展以及2010左右的云原生和云计算的提出,网络通信的重要性越来越凸显出来; 对于用户来说:软件的响应速度和体验是越来越重要的,而网络通信是决定响应速度关键因素之一…

神经网络和CNN的一些基础概念,基础知识的梳理

(好吧,这又是一篇软文,适合初学者) 一、通用概念: 1. 有监督学习方法与非监督学习方法: 必须要有训练集与测试样本,模型在训练集中寻找规律,训练结束对测试样本使用这种规律进行…

一些神经网络基础知识归纳

神经网络(NN)复杂度 NN复杂度,多用NN层数和NN参数个数表示 如上图示 空间复杂度 层数隐藏层的层数1个输出层 上图为2层NN 总参数 3*44 4*2226 时间复杂度 乘加运算次数 3*44*220 指数衰减学习率 可以先用较大学习率,快速得…

Java网络编程(一)网络的基本认知

前言 这是一个信息化的时代,在生活中,网络通信无处不在。比如发送短信,邮件,视频通话等。 以邮件为例子: ① 收件人: 相当于网络编程的ip地址端口号,定位到某一个具体的地方!只有找…

第四章 使用JAVA构建神经网络

• 构建一个神经网络 •激活函数 • Encog持久化 •在代码里使用Encog Analyst 这章将展示用Encog怎样构造前馈与简单递归神经网络,以及在最后部分怎样保存这些神经网络。创建神经网络类型使用BasicNetwork和BasicLayer这两个类,除了这两个类,还使用…

深入浅出讲解神经网络的种类及举例说明

本文收录于《深入浅出讲解自然语言处理》专栏,此专栏聚焦于自然语言处理领域的各大经典算法,将持续更新,欢迎大家订阅!个人主页:有梦想的程序星空个人介绍:小编是人工智能领域硕士,全栈工程师&a…

Java网络基础知识

目录 一,计算机网络 1,概念 2,计算机网络的主要功能 3,计算机网络分类 二,网络通信协议及接口 1,网络通信协议 2,网络通信接口 3,通信协议分层思想 4,协议分类 …

神经网络可以用来分类吗,神经网络如何实现分类

怎么用spss神经网络来分类数据 。 用spss神经网络分类数据方法如下:神经网络算法能够通过大量的历史数据,逐步建立和完善输入变量到输出结果之间的发展路径,也就是神经网络,在这个神经网络中,每条神经的建立以及神经…

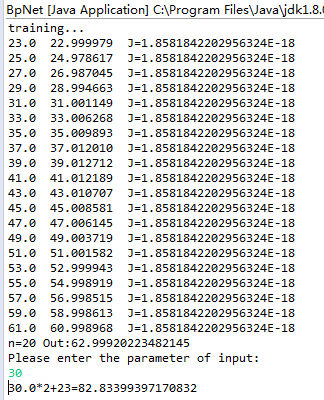
BP神经网络JAVA实现详解

注:本文手动搬家自我的新浪博客点击打开链接 从2016年3月份左右,我的毕业设计开题答辩时间正好是AlphaGo大战李世石之日。还记得当时答辩PPT最末引用的图片还是这张: 李世石大战Google的AlphaGo 不过当时答辩情况并不理想,答辩组老…