BP神经网络JAVA实现详解

article/2025/10/8 23:23:37

       注:本文手动搬家自我的新浪博客点击打开链接

       从2016年3月份左右,我的毕业设计开题答辩时间正好是AlphaGo大战李世石之日。还记得当时答辩PPT最末引用的图片还是这张:


李世石大战Google的AlphaGo

       不过当时答辩情况并不理想,答辩组老师也没发现我留的这个彩蛋。想想但是我是一种多么激动的心情面对这个毕业设计课题的吗,第一次与前沿科技这么近距离的沾边。可是他们咋就没有多关注关注新闻呢,而且当天下午就是对战之日呀!!

       到如今我毕业已近一载,而alphago也已战胜柯洁,隐藏功与名默默退役,将对弈棋谱献于世人研究。我的配图也该换一换了:


柯洁对战AlphaGo

       好了,过了这么久,在这过程中又接触到了许多神经网络内容。是该蹭蹭热点,重拾毕业设计内容,来一发BP神经网络的总结和探寻了。

       其实,神经网络在上世纪50年代,神经网络就引发过一次热潮,不过由于当时的硬件计算速度和神经网络模型研究的不够深入。在短暂的兴盛后,在60年代末陷入了沉默,之后是默默的反思探索,默默耕耘。直至如今,当前人工智能将发展如何就让历史来评判吧。


神经网络发展历史
如今,随之BP神经网络模型,深度神经网络模型的提成,而且硬件水平的大福提升(加工工艺都已经到8nm了),AlphaGo的围棋挑战又一次引爆了这个AI热潮。谈谈我对BP神经网络的一些看法吧,神经网络应用,其核心就“ 几乎万能的模型+误差修正函数”。
例如:看到某品牌的泥塑很好,小作坊想仿造,拥有很多陶泥( 输入),还有可修改的模具( 万能的模型,可套出任意形状。然后开始仿制,首先刚起步很蠢用一大坨陶泥模子套出个长条形身体,出去卖当然市场不买账,返工对比发现 需要手和脚误差判断修正函数),然后一次一次的尝试改正(大小尺寸、头发、眼睛等),然后慢慢成型,这个模型就记录各种参数,然后直接套模子出产品就是的了。
BP神经网络(Back Propagation)误差反向传播神经网络,是通过误差反向传播算法实现的神经网络模型,其核心是误差反向传播思想和算法,简称BP神经网络。那么BP神经网络的 万能模型就是下图中的神经网络拓扑结构了:
研究证明: 神经元网络拓扑结构可以逼近任意非线性函数(国外论文数学论证了的,就当它具有这个功能就行了,仿生学厉害呀,仿造人脑神经元间的信息传递) 而且观察到神经元网络为多输入的并行结构,能同时输入不同类型的信息进行处理并给出输出,高效而迅速。
有了万能的淘宝,呕不,万能的模具。还差一个 美工刀来雕琢修改了。倒是有很多种 偏差修正函数,这里提一种我熟悉也较为通用(通用始终比不上专用的喽)的修正判定函数吧。
二次型性能修正:和最小二乘法的思想相似,取偏差的平方差构成2次函数。
简单的例子:有一根绳子长度为x米,需要另外剪一根和它长度一样的绳子。第一次剪了y1米,y1>x长了就需要剪短。第二次再修正剪短一节n1米,当前的绳子长y2=y1-n1,发现y2短了需要增长。第三次再修正增加一节n2米...以此类推,不断的逼近目标,使偏差趋于零。
最小二乘法:我们都知道一元二次函数 的曲线是一个“U”形,如下图所示:


一元二次函数曲线
可以观察到,U形最底部与x相交处函数值最小,趋近于零。由梯度下降法求解极小值思想,向函数增大的反方向或者函数减小的同方向迈步,而函数的变化方向可以通过求导得到,在交点左侧导数小于零,右侧导数大于零。
       梯度下降法:导数为正函数正在增大,外部修正调节效果变坏,应反向调节使其减小;导数为负函数正在减小外部修正修正调节效果变好,函数正在减小趋近于零,保存当前调节。通过不断的正反向梯度调节,最终逐渐逼近于导数为零时,纯2次函数的导数为零点即偏差为零点。从而达到学习调整权值逐渐趋近期望目标,使偏差逼近零。( 不断的剪短或增加绳子的长度,逐渐的趋近于目标值,偏差趋于零)。
于是借助于其特性,我们假定当前值和目标值得偏差为ek=y-x,设函数 ,就可以确定该用美工刀挖一刀或者加点材料了。
二次型性能修正
当然最小二乘法修正函数是较为原始的方法了,已不大适用于当前复杂的情况了。(我们一直假定的是偏差ek是一个一元函数,但如果偏差为二元甚至多元或者多次函数呢?那函数曲线就不单单是一个U形曲线了。)例如若最终拟合的函数曲线为一个多段多凹曲线时,二次性能修正函数就可能陷入局部最优解(局部U形)。例如下图的曲线:

多凹段曲线
上图多凹段曲线(并不太严谨举例说明足够了)中,有多个U形凹坑,随时一不小心就会陷入一个局部凹坑,但其并不是整个偏差函数趋于零的最小值,可见二次性能修正还有局限性。
       但对于一般情况,已经足够了,作为见识神经网络神奇的拟合能力还是可以的。相信AlphaGo的学习修正函数比这个高级的多。
--------------------------------------------- 分割线---------------------------------------------

接下来进入数学世界。。。有人在其中乐此不彼(例如《知无涯者》中的拉马努金),有人就只有使劲摆摆头了。我呢,处于中间阶段吧,愿意见到数学的神奇,但让我自己深入研究,那就太难为我了。
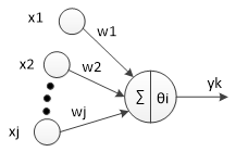
神经元是以生物研究及大脑的响应机制而建立的拓扑结构网络,模拟神经冲突的过程,多个树突的末端接受外部信号,并传输给神经元处理融合,最后通过轴突将神经传给其它神经元或者效应器。神经元的拓扑结构如图:
神经元拓扑结构
对于第i个神经元,X1、X2、…、Xj为神经元的输入,输入常为对系统模型关键影响的自变量,W1、W2、…、Wj为连接权值调节各个输入量的占重比。将信号结合输入到神经元有多种方式,选取最便捷的线性加权求和可得neti神经元净输入。

式中θi为阀值,当信号强度达到强度θi时才激活。
在拓展构建成多层神经元,就成了神经网络模型。一般来说,神经网络由3种层构成:输入层、隐含层、输出层。
神经网络结构
       输入的层数(Xi): 
需要选取对系统对象 影响较大的变量,例如 逼近函数 
y(k)=sin(5x)+y(k-1)^2;      
可以基本确定影响因素为:
输入样本1:   Sin(5x)或者x  
输入样本2:   y(k-1)
这需要一定的练习才能更好的掌握,也就是输入的是一些教师信号(由什么可以及应该得到什么),通过不断的调整各个权值来逐步的逼近这个函数规律。
       输入(Wij)输出(Wjk)权值:  
一般取[0,1]或[-1,1]区域内的随机值,C语言中使用(rand(srand(time(NULL))00)/1000.0以时间作种的随机数变换得到,具体为什么要取这之间的权值,还不太清楚,计算的方便可能是影响因素之一。
       隐含层数Xj:   
隐含层书上所说基本靠经验试凑确定,还有是输入层数+输出层数+值,一般我们取5层就可以满足要求,隐含层数的增加可以更加精准的逼近目标函数,提高网络的精度。
       输出层数Xk:  
所求对象的输出,需要想要得到的数值。 例如 y(k)=sin(5x)+y(k-1)^2;则对象输出为yn(k),后边根据理想教师信号的输出y(k)与网络计算的输出做误差运算来修正权值逼近理想输出。   
隐含层神经元的输入为所有输入的加权之和:
即例如" X1j=W11*X1+W21*X2+W31*X3+...+Wi1*Xj "以此类推。
隐含层神经元输出Xj'采用S型函数激发Xj得:


       隐含层的激活函数选择
       常用的是S型的对数或正切激活函数以及线性函数,S型函数具有非线性放大系数功能,它可以把输入从负无穷大到正无穷大的信号变换成-1到1之间输出,对较大的输入信号,放大系数较小,而对较小的输入信号,放大系数则较大,所以采用S型激活函数可以处理和逼近非线性的输入、输出关系。如果在输出层采用S型函数,输出则被现在到一个很小的范围,若采用线性激活函数,则可使网络输出任何值。所以当网络的输出没有限制时在隐含层采用S型激活函数,而输出层采用线性激活函数。
输出层神经元为所有隐含层输出的加权之和:
网络输出与理想输出误差为:
e(n)=XLk(n)-Xk(n)    (理想输出-网络输出)
其中k为第几个输出神经元,n为 计算值的第几次。
由最小二乘法思想,引入误差性能指标函数:
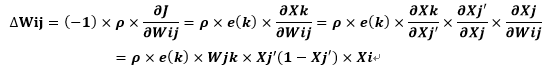
反向传播:求导,或者偏导,调整各层间的权值。隐含层到输出层连接权值修正值:

输入层到隐含层连接权值修正值:

式中p为学习速率,p一般取0~1之间的值稳定。(-1)是由梯度下降法得来的,导数>0时需反向控制,导数<0时需保持控制,所以乘以-1正好抵消满足。则下一次隐含层到输出层的连接权值Wjk和输入层到隐含层的连接权值Wij分别为:
Wjk(n+1)=Wjk(n)+△Wij
Wij(n+1)=Wij(n)+△Wjk
为了避免权值的学习过程发生振荡、收敛速度慢,需要考虑上次权值变换对本次权值变换的影响,即加入动量因子α(为了一定程度上避免陷入局部凹坑)。此时权值为:
Wjk(n+1)=Wjk(n)+△Wjk+ α(Wjk(n)-Wjk(n-1))
Wij(n+1)=Wij(n)+△Wij+ α(Wij(n)-Wij(n-1))
通常而言0<α<1,大小合适可以振荡越过局部凹坑,太大就可能振荡的无法趋近于全局最优解,太小无法振荡越出局部凹坑,但通常而言,一般的函数就够了。由此可见反向学习算法还是挺重要的,所以这把美工刀需要选择好。
       参考书籍----《智能控制》-刘金琨
--------------------------------------------- 分割线 ---------------------------------------------

终于,数学讨论结束了。下面我们进行试验论证,使用Java实现BP神经网络算法。
Java Code 
1
2
3
4
5
6
7
8
9
10
11
12
13
14
15
16
17
18
19
20
21
22
23
24
25
26
27
28
29
30
31
32
33
34
35
36
37
38
39
40
41
42
43
44
45
46
47
48
49
50
51
52
53
54
55
56
57
58
59
60
61
62
63
64
65
66
67
68
69
70
71
72
73
74
75
76
77
78
79
80
81
82
83
84
85
86
87
88
89
90
91
92
93
94
95
96
97
98
99
100
101
102
103
104
105
106
107
108
109
110
111
112
113
114
115
116
117
118
119
120
121
122
123
124
125
126
127
128
129
130
131
132
133
134
135
136
137
138
139
140
141
142
143
144
145
146
147
148
149
150
151
152
153
154
155
156
157
158
159
160
161
162
163
164
165
166
167
168
169
170
171
172
173
174
175
176
177
178
179
180
181
182
183
184
185
186
187
188
189
190
191
192
193
194
195
196
197
198
199
200
201
202
203
204
205
206
207
208
209
210
211
212
213
214
215
216
217
218
219
220
import java.util.Scanner;
public  class BpNet
{
     private  static  final  int IM =  1;                   //输入层数量
     private  static  final  int RM =  8;                   //隐含层数量
     private  static  final  int OM =  1;                   //输出层数量
     private  double learnRate =  0. 55;                        //学习速率
     private  double alfa =  0. 67;                             //动量因子
     private  double Win[][] =  new  double[IM][RM];      //输入到隐含连接权值
     private  double oldWin[][] =  new  double[IM][RM];
     private  double old1Win[][] =  new  double[IM][RM];
     private  double dWin[][] =  new  double[IM][RM];
     private  double Wout[][] =  new  double[RM][OM];     //隐含到输出连接权值
     private  double oldWout[][] =  new  double[RM][OM];
     private  double old1Wout[][] =  new  double[RM][OM];
     private  double dWout[][] =  new  double[RM][OM];
     private  double Xi[] =  new  double[IM];
     private  double Xj[] =  new  double[RM];
     private  double XjActive[] =  new  double[RM];
     private  double Xk[] =  new  double[OM];
     private  double Ek[] =  new  double[OM];
     private  double J =  0. 1;
     public  static  void main( String[] arg)
    {
        BpNet bpNet =  new BpNet();
        bpNet.train();
        Scanner keyboard =  new Scanner(System. in);
        System.out.println( "Please enter the parameter of input:");
         double parameter;
         while((parameter = keyboard.nextDouble()) != - 1)
            System.out.println(parameter +  "*2+23=" + bpNet.bpNetOut(parameter /  100. 0)[ 0] *  100. 0);
    }
     public  void train()
    {
         double y;
         int n =  0;
         //初始化权值和清零//
        bpNetinit();
        System.out.println( "training...");
         while(J > Math.pow( 10, - 17))
        {
             for(n =  0; n <  20; n++)
            {
                y = n *  2 +  23//逼近对象
                 //前向计算输出过程//
                bpNetForwardProcess(n /  100. 0, y /  100. 0);
                 //反向学习修改权值//
                bpNetReturnProcess();
            }
        }
         //在线学习后输出//
         for(n =  0; n <  20; n++)
        {
            y = n *  2 +  23;     //逼近对象
            System.out.printf( "%.1f  ", y);
            System.out.printf( "%f  ", bpNetOut(n /  100. 0)[ 0] *  100. 0);
            System.out.println( "J=" + J);
        }
        System.out.println( "n=20 " +  "Out:" +  this.bpNetOut( 20 /  100. 0)[ 0] *  100);
    }
     //
     // BP神经网络权值随机初始化
     // Win[i][j]和Wout[j][k]权值初始化为[-0.5,0.5]之间
     //
     public  void bpNetinit()
    {
         //初始化权值和清零//
         for( int i =  0; i < IM; i++)
             for( int j =  0; j < RM; j++)
            {
                Win[i][j] =  0. 5 - Math.random();
                Xj[j] =  0;
            }
         for( int j =  0; j < RM; j++)
             for( int k =  0; k < OM; k++)
            {
                Wout[j][k] =  0. 5 - Math.random();
                Xk[k] =  0;
            }
    }
     //
     // BP神经网络前向计算输出过程
     // @param inputParameter 归一化后的理想输入值(单个double值)
     // @param outputParameter  归一化后的理想输出值(单个double值)
     //
     public  void bpNetForwardProcess( double inputParameter,  double outputParameter)
    {
         double input[] = {inputParameter};
         double output[] = {outputParameter};
        bpNetForwardProcess(input, output);
    }
     //
     // BP神经网络前向计算输出过程--多个输入,多个输出
     // @param inputParameter  归一化后的理想输入数组值
     // @param outputParameter  归一化后的理想输出数组值
     //
     public  void bpNetForwardProcess( double inputParameter[],  double outputParameter[])
    {
         for( int i =  0; i < IM; i++)
        {
            Xi[i] = inputParameter[i];
        }
         //隐含层权值和计算//
         for( int j =  0; j < RM; j++)
        {
            Xj[j] =  0;
             for( int i =  0; i < IM; i++)
            {
                Xj[j] = Xj[j] + Xi[i] * Win[i][j];
            }
        }
         //隐含层S激活输出//
         for( int j =  0; j < RM; j++)
        {
            XjActive[j] =  1 / ( 1 + Math.exp(-Xj[j]));
        }
         //输出层权值和计算//
         for( int k =  0; k < OM; k++)
        {
            Xk[k] =  0;
             for( int j =  0; j < RM; j++)
            {
                Xk[k] = Xk[k] + XjActive[j] * Wout[j][k];
            }
        }
         //计算输出与理想输出的偏差//
         for( int k =  0; k < OM; k++)
        {
            Ek[k] = outputParameter[k] - Xk[k];
        }
         //误差性能指标//
        J =  0;
         for( int k =  0; k < OM; k++)
        {
            J = J + Ek[k] * Ek[k] /  2. 0;
        }
    }
     //
     //BP神经网络反向学习修改连接权值过程
     //
     public  void bpNetReturnProcess()
    {
         //反向学习修改权值//
         for( int i =  0; i < IM; i++)  //输入到隐含权值修正
        {
             for( int j =  0; j < RM; j++)
            {
                 for( int k =  0; k < OM; k++)
                {
                    dWin[i][j] = dWin[i][j] + learnRate * (Ek[k] * Wout[j][k] * XjActive[j] * ( 1 - XjActive[j]) * Xi[i]);
                }
                Win[i][j] = Win[i][j] + dWin[i][j] + alfa * (oldWin[i][j] - old1Win[i][j]);

                old1Win[i][j] = oldWin[i][j];
                oldWin[i][j] = Win[i][j];
            }
        }

         for( int j =  0; j < RM; j++)  //隐含到输出权值修正
        {
             for( int k =  0; k < OM; k++)
            {
                dWout[j][k] = learnRate * Ek[k] * XjActive[j];
                Wout[j][k] = Wout[j][k] + dWout[j][k] + alfa * (oldWout[j][k] - old1Wout[j][k]);

                old1Wout[j][k] = oldWout[j][k];
                oldWout[j][k] = Wout[j][k];
            }
        }
    }
     //
     // BP神经网络前向计算输出,训练结束后测试输出
     // @param inputParameter  测试的归一化后的输入值
     // @return  返回归一化后的BP神经网络输出值,需逆归一化
     //
     public  double[] bpNetOut( double inputParameter)
    {
         double[] input = {inputParameter};
         return bpNetOut(input);
    }
     //
     // BP神经网络前向计算输出,训练结束后测试输出
     // @param inputParameter 测试的归一化后的输入数组
     // @return  返回归一化后的BP神经网络输出数组
     //
     public  double[] bpNetOut( double[] inputParameter)
    {
         //在线学习后输出//
         for( int i =  0; i < IM; i++)
        {
            Xi[i] = inputParameter[i];
        }
         //隐含层权值和计算//
         for( int j =  0; j < RM; j++)
        {
            Xj[j] =  0;
             for( int i =  0; i < IM; i++)
            {
                Xj[j] = Xj[j] + Xi[i] * Win[i][j];
            }
        }
         //隐含层S激活输出//
         for( int j =  0; j < RM; j++)
        {
            XjActive[j] =  1 / ( 1 + Math.exp(-Xj[j]));
        }
         //输出层权值和计算//
         double Uk[] =  new  double[OM];
         for( int k =  0; k < OM; k++)
        {
            Xk[k] =  0;
             for( int j =  0; j < RM; j++)
            {
                Xk[k] = Xk[k] + XjActive[j] * Wout[j][k];
                Uk[k] = Xk[k];
            }
        }
         return Uk;
    }
}



以上就是JAVA写的BP神经网络拟合曲线Y=n*2+23的程序。我们看看 拟合结果吧:

BP神经逼近函数Y=n*2+23
第一列为理想输出值(函数Y=n*2+23,n从0到19),第二列为训练完后BP神经网络计算逼近输出值,第三列为误差性能指标(方差和)。可以观察到第一列和第二列的值非常接近,说明神经网络训练逼近模型还是很成功的。最后我们还测试了n=30时,BP神经网络模具输出值,也很理想接近83.0(我们只训练了n从0到19的数据)。  
可见经过多次(通常上万次)权值修正函数(美工刀)的微调,神经网络结构(万能模具)已几乎具有函数Y=n*2+23的功能。

好了,见识了神经网络结构的巨大潜力,来细究它的一些局限和注意事项吧:
输入样本归一化的重要性:
1.避免数值过大问题:若不进行归一化处理,所得的输出,权值等往往会很大,而偏差也就很大,而权值调节中需要偏差*权值*输入,及偏差的积分和,这得到的数值将会很大,超出了数量级,也就超出了计算机等处理器的数值范围(我开始就是这样,导致偏差积分根本不能求),权值修正很差。
2.归一化将有单位的量纲转换成无量纲的了,便于BP网络的计算。
3.使网络快速的收敛。
尽量的使尽可能多的输入样本归一化,不完全归一化也能实现效果。
归一化方法:
(测量值—最低标度)/(最大标度—最低标度)等(就是求占得百分比)
可能陷入局部最优解:
前面针对反向学习算法的二次性能修正函数已经做过介绍,表现出来最明显的现象就是,在神经网络训练过程中,由于初始化权值的随机,可能一开始就走偏了,一直无法满足偏差最小情况。学习时间很长还没有出结果,可能就是陷入了局部凹坑。需要重新初始化BP神经网络。
它就是个黑盒子:
神经网络是经过不断的训练数据,不断的调整连接权值。就像是在不断的总结经验,给它一系列输入,对应得到一系列输出。一直在模仿,就如熟能生巧样,仿佛它自己找到了事物的规律。就如中医一样,有很多前人的经验,有些确实有很好的疗效,甚至凭多年的经验,自己能够抓药配药。但一直没有强有力的科学理论依据,所以充满未知(细思极恐),稳定性也得不到保证。
对数据要求较高:
计算机只能处理计算机语言,所以需要处理现实中的问题,就需要转换为计算机能处理的数据,图片就需要转换为二进制编码,但二进制编码也包含了广泛的内容(颜色编码,方位编码,明亮编码),如瓶子装水一般,有清水、污水、酸性、碱性等性质不同。当你训练神经网络时用的是什么特征的数据,那么测试时就也该在这个特征范围内。(装清水的瓶就该只装清水)
拿Google识别图片来说,训练时是未经处理的图片,直接将图片的二进制存储信息等交由计算机处理就行。而如果人为的加入干扰,人眼直接可辨识出物体名称,而Google识图却出错了(如今已修复大部分问题)。具体操作可参考以下网页内容:
阿里的数字水印        
http://blog.jobbole.com/105968/
在图片中加入噪点就能骗过 Google 最顶尖的图像识别 AI   
http://www.oschina.net/news/84329/noise-can-fool-google-ai


以上,是我学习BP神经网络中的一些总结,能力有限难免有纰漏之处。
转载请注明出处









http://chatgpt.dhexx.cn/article/WWFmTFxW.shtml

相关文章

Java网络编程--网络基础

文章目录 网络协议常用网络协议族&#xff08;簇&#xff09;(protocol)端口&#xff08;port&#xff09;常见知名端口动态端口 IP地址IP地址分类IPv4的分类IPv6子网掩码 网络协议 是为计算机网络中进行数据交换而建立的规则、标准或约定的集合。为了使不同计算机厂家生产的计…

神经网络如何实现分类,神经网络基本概念

人工神经网络分类方法 从20世纪80年代末期&#xff0c;人工神经网络方法开始应用于遥感图像的自动分类。 目前&#xff0c;在遥感图像的自动分类方面&#xff0c;应用和研究比较多的人工神经网络方法主要有以下几种&#xff1a;&#xff08;1&#xff09;BP&#xff08;BackP…

神经网络如何进行分类

1.首先搞清楚什么是感知机 如上图所示&#xff0c;输入为向量&#xff0c;经线性变换&#xff0c;再通过激活函数得到输出&#xff0c;这样一个完整的结构成为感知机。感知机是人工神经网络的最小单元&#xff0c;本质上由一个仿射变换接一个非线性变换组成。 上图wxb属于仿射变…

Java基础学习(17)网络编程

Java基础学习 一、 网络编程1.1 什么是网络编程1.2 常见的软件架构&#xff1a;1.3 网络编程的三要素1.4 IP1.4.1 InetAddress用法 1.5 端口号1.6 协议1.6.1 UDP协议1.6.1.1 UDP的三种通信方式 1.6.2 TCP协议1.6.2.1 TCP底层原理 一、 网络编程 1.1 什么是网络编程 解释&…

java简单的神经网络

运行环境&#xff1a;jre1.7 以下是神经网络的主体类 public class NeuralNetwork {int inputNodes;//输入层节点数int hiddenNodes;//隐藏层节点数int outputNodes;//输出层节点数double learningRate;//学习率double[][] weight_ih;//输入层与隐藏层之间的权重double[][] w…

java实现神经网络算法,java调用神经网络模型

如何用70行Java代码实现神经网络算法 。 如何用70行Java代码实现神经网络算法import.Random;publicclassBpDeep{publicdouble[][]layer;//神经网络各层节点publicdouble[][]layerErr;//神经网络各节点误差publicdouble[][][]layer_weight;//各层节点权重publicdouble[][][]la…

神经网络如何实现分类,神经网络分类特点区别

人工神经网络分类方法 从20世纪80年代末期&#xff0c;人工神经网络方法开始应用于遥感图像的自动分类。 目前&#xff0c;在遥感图像的自动分类方面&#xff0c;应用和研究比较多的人工神经网络方法主要有以下几种&#xff1a;&#xff08;1&#xff09;BP&#xff08;Back …

Java神经网络(一)——Neuroph初次使用

Java神经网络 前言Neuroph框架Neuroph结构框架图Java API 及其类库说明&#xff08;core nnet util&#xff09; Neuroph简单案例实现下载必要的Neuroph jar包导入jar包找案例&#xff08;在书中或者网上&#xff09;运行解决方案 前言 学了好一阵子时间的神经网络&#xff0c;…

神经网络分类

人工神经网络&#xff08;Artificial Neural Network&#xff0c;ANN&#xff09;简称神经网络(NN)&#xff0c;是基于生物学中神经网络的基本原理&#xff0c;在理解和抽象了人脑结构和外界刺激响应机制后&#xff0c;以网络拓扑知识为理论基础&#xff0c;模拟人脑的神经系统…

神经网络分类总结

1.人工智能、机器学习与深度学习 人工智能&#xff1a;努力将通常由人类完成的智力任务自动化。机器学习机器学习&#xff08; machine learning&#xff09;是人工智能的一个特殊子领域&#xff0c;其目标是仅靠观察训练数据来自动开发程序&#xff3b;即模型&#xff08; mo…

神经网络分类四种模型,神经网络分类特点区别

神经网络有哪些主要分类规则并如何分类&#xff1f; 神经网络模型的分类人工神经网络的模型很多&#xff0c;可以按照不同的方法进行分类。其中&#xff0c;常见的两种分类方法是&#xff0c;按照网络连接的拓朴结构分类和按照网络内部的信息流向分类。 1按照网络拓朴结构分类…

【学习记录】神经网络三种主要类型

1.图结构 图网络是定义在图结构数据上的神经网络&#xff1a;①图中每个节点都由一个或一组神经元组成②节点之间连接可以有向可以无向③每个节点可接收来自相邻节点或自身的信息。 2.前馈神经网络 前馈神经网络中&#xff0c;把每个神经元接受信息的先后分为不同的组&#xf…

神经网络的类型分类和结构理解

一、序言 神经网络是模仿动物神经网络行为特征&#xff0c;进行分布式并行信息处理的算法数学模型。 在深度学习领域&#xff0c;神经网络就是我们深度学习的灵魂&#xff0c;如果我们想依靠算法实现一些功能&#xff0c;就必须依托不同的神经网络结构&#xff0c;所以很有必…

idea构建spark开发环境(基于maven)

目前Intellij IDEA对scala支持的比较好&#xff0c;本文使用idea构建spark开发环境。 1.准备工作 jdk版本&#xff0c;scala sdk环境(我的是jdk1.8&#xff0c;scala 2.1) scala官网下载地址&#xff1a;http://www.scala-lang.org/download/ 2.Intellij IDEA 下载地址ht…

Spark多语言开发

目录 1 多语言开发-说明2 Java-Spark-掌握2.1 SparkCore2.2 SparkStreaming2.3 SparkSQL2.4 StructuredStreaming2.5 线性回归算法-房价预测案例2.5.1 需求代码实现 3 PySpark-了解3.1 SparkCore3.2 SparkStreaming3.3 SparkSQL3.4 StructuredStreaming3.5 决策树算法-相亲决策…

eclipse配置spark开发环境

前言 无论Windows 或Linux 操作系统&#xff0c;构建Spark 开发环境的思路一致&#xff0c;基于Eclipse 或Idea&#xff0c;通过Java、Scala 或Python 语言进行开发。安装之前需要提前准备好JDK、Scala 或Python 环境&#xff0c;然后在Eclipse 中下载安装Scala 或Python 插件(…

idea搭建spark开发环境完整版(windows)

利用intellij idea 搭建spark开发环境&#xff08;windows&#xff09; 本文配置所有环境 Win10 企业版2016长期服务版 Jdk1.8.0.131 Hadoop2.7.3 Spark2.2.0 Scala2.11.12 一、Jdk环境配置 下载 http://www.oracle.com/technetwork/cn/java/javase/downloads/jdk8-downloads-…

Spark开发环境搭建(提供实验平台)

Spark开发环境搭建 1&#xff09;Scala环境 1. 前置说明 安装与配置Scala开发环境。 实验平台直达链接 Scala是一种函数式面向对象语言&#xff0c;它融汇了许多前所未有的特性&#xff0c;而同时又运行于JVM之上。随着开发者对Scala的兴趣日增&#xff0c;以及越来越多的…

使用Python开发spark

使用Python开发 一、Python编程语言 1.1、Python语言的特点 Python是一种面向对象的解释型计算机程序设计语言&#xff0c;具有丰富和强大的库。如今Python已经成为继JAVA&#xff0c;C之后的的第三大编程语言。 1、可性移强植 简易单学 2、免开费源 丰富库的 3、可性移强植…

Spark开发环境搭建(学习笔记)

夫君子之行&#xff0c;静以修身&#xff0c;俭以养德&#xff0c;非淡泊无以明志&#xff0c;非宁静无以致远。 夫学须静也&#xff0c;才须学也&#xff0c;非学无以广才&#xff0c;非志无以成学。淫慢则不能励精&#xff0c;险躁则不能冶性。 年与时驰&#xff0c;意与日去…