文章目录
- 多元函数的极限
- 多元函数的连续性
- 偏导数
- 全微分
- 多元函数的微分法
- 例题1
- 例题2
- 例题3
- 参考
多元函数的极限

注意这里的以任意方式趋于x0和y0,因为一元只有一维,看左右就行,二元的话可以看成二维,那就得看四面八方了。

将y=kx代入,符合条件,算出来是关于k的表达式,说明极限值与k有关,并不是定值,所以不存在极限。
多元函数的连续性

定义和一元函数的差不太多。
偏导数

对谁算偏导数,就是将另外的都看成常数,那么函数就可以看成关于谁的一元函数,求导即可。
全微分


可以全微分,则一定存在偏导数,不存在偏导数则一定不能全微分。
偏导数连续,则一定可以全微分。
反之都错。
因此一般判断是否可以可微:
1.先判断偏导数是否存在
2.再判断o§是不是p的高阶无穷小(用定义来判断)
因为好像只有定义才是充要条件。

多元中就是可导和可微不等价了,全都怪偏导数,因为例如二元函数的偏导数只是负责两条直线上区域的函数值的变化,别的管不了,所以推不出可微,也推不出连续了。
具体例子如下:

多元函数的微分法
1.直接求全微分
2.求各个偏导数然后乘上对应微分
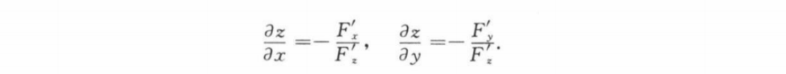
3.公式法
求某个特定点时,一般可以考虑先代后求,简化计算。




例题1

注意f1’也是关于ex和cosx 的函数,所以导出来有两项的。
可将f1’看作z,ex和cosx分别看做u和v
看参考树形结构:
z
u v
x y x y
所以z对x求导是有两条路径到x的,所以有两项。
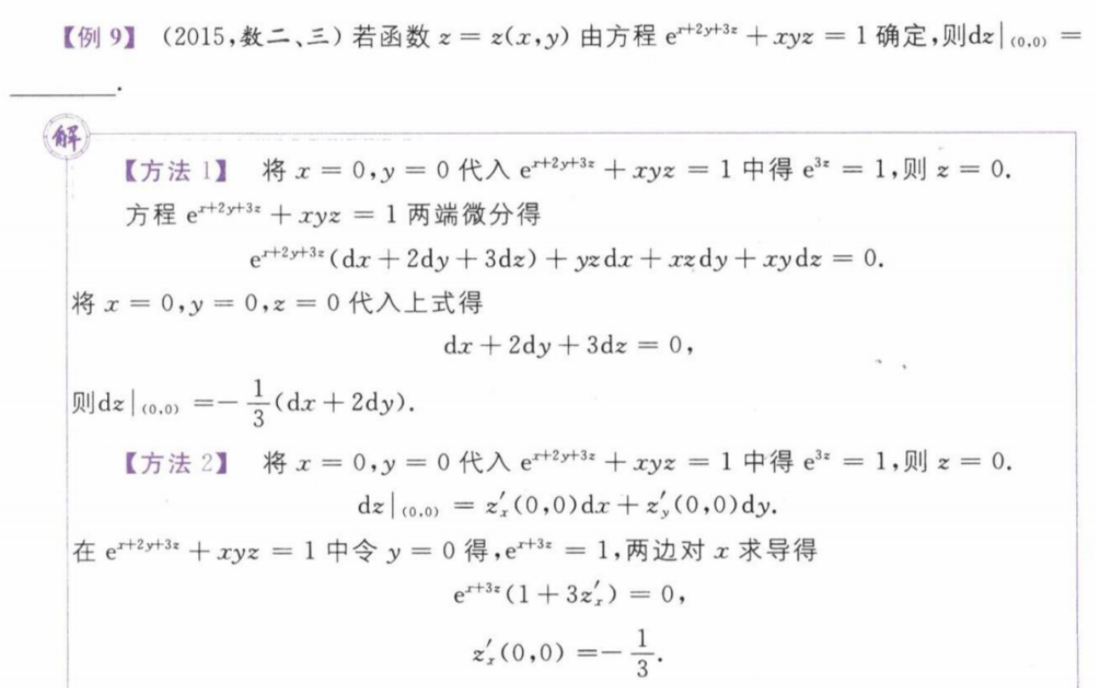
例题2


方法一直接使用全微分,然后计算得到答案。
方法二使用先代后算,计算出x,y各自得偏导数(两端各自求导,其实就是隐函数得求导方法,此时z是关于x的函数,得导),然后得到全微分,得到最终答案。
例题3

使用公式法时,上面对x求偏导时其他项都看成常数。
参考
2024版武忠祥高等数学基础篇
















