一、简介
核跟踪方法是目标跟踪的主要方法, 应用非常广泛。例如Meashift、Camshift 算法, 它直接运用最速下降法的原理, 向梯度下降方向对目标模板逐步迭代, 直到迭代到最优位置。它的核心就是一步一步迭代寻找最优点, 在跟踪中, 就是为了寻找相似度值最大的候选区间。
本文主要介绍基于Meashift算法的目标跟踪的MATLAB实现,原理不再详细解释,具体原理可以参考文章结尾处的参考文献。
二、代码内容
1.载入图片,获取图片参数。
2.初始化跟踪器,在第一帧图片中手动框出跟踪目标。
3.定义目标模板的颜色模型,计算颜色概率分布。

-----------进入循环----------
4.计算上一帧目标中心位置的概率分布,即候选模型。

5.计算目标模型和候选模型之间的相似程度。

6.计算候选模型区域每个像素点的权重。

7.计算meanshift vector得到新的候选中心位置。

8.计算新的候选模型和相似度。
9.得到相似度最大的候选位置作为当前目标中心位置。
三、MATLAB代码实现
clc
clear all
close all%% 载入图片
imPath = 'car'; imExt = 'jpg'; %定义文件路径
%检查图片文件路径是否存在
if isdir(imPath) == 0error('USER ERROR : The image directory does not exist');
end
%载入路径中的文件
filearray = dir([imPath filesep '*.' imExt]); % 获取目录下所有文件
NumImages = size(filearray,1); %图片数量
if NumImages < 0error('No image in the directory');
end
disp('Loading image files from the video sequence, please be patient...');
%获取图片参数
imgname = [imPath filesep filearray(1).name]; %获取图片名
I = imread(imgname);
VIDEO_WIDTH = size(I,2);
VIDEO_HEIGHT = size(I,1);
ImSeq = zeros(VIDEO_HEIGHT, VIDEO_WIDTH, NumImages);%读取目录下全部图片
for i=1:NumImagesimgname = [imPath filesep filearray(i).name]; %获取图片名ImSeq(:,:,i) = imread(imgname); %放入所有图片
end
disp(' ... OK!');%% 初始化跟踪器
%在第一帧图片中框出感兴趣区域作为跟踪目标
% 使用函数imcrop手动初始化,框出跟踪目标,该函数用于返回图像的一个裁剪区域。可把图像显示在一个图像窗口中, 并允许用户以交互方式使用鼠标选定要剪切的区域。
[patch, rect] = imcrop(ImSeq(:,:,1)./255);%rect输出左上角横纵坐标 宽度 高度
%获取ROI参数(中心点坐标/宽度/高度),ROI(region of interest),感兴趣区域
ROI_Center = round([rect(1)+rect(3)/2 , rect(2)+rect(4)/2]);
ROI_Width = rect(3);
ROI_Height = rect(4);
rectangle('Position', rect, 'EdgeColor','r');%画矩阵框出初始目标位置%**********MEANSHIFT跟踪算法**********
%%首先定义目标的颜色模型,计算颜色概率分布
% compute target object color probability distribution given the center and size of the ROI
imPatch = extract_image_patch_center_size(ImSeq(:,:,1), ROI_Center, ROI_Width, ROI_Height);
%该函数截取了感兴趣区域的颜色数据
%RGB颜色空间中的颜色分布
Nbins = 8;
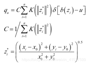
TargetModel = color_distribution(imPatch, Nbins);%以上函数用来计算目标模型的qu概率密度
%
figure('name', 'Mean Shift Algorithm', 'units', 'normalized', 'outerposition', [0 0 1 1]);
prev_center = ROI_Center;
disp(prev_center);for n = 2:NumImages%读取下一帧图片I = ImSeq(:,:,n);while(1) % STEP 1% 计算上一帧目标中心位置的PDF,即候选模型imPatch = extract_image_patch_center_size(I, prev_center, ROI_Width, ROI_Height);ColorModel = color_distribution(imPatch, Nbins);% 计算目标模型和候选模型之间的相似程度-bhattacharyya距离rho = compute_bhattacharyya_coefficient(TargetModel, ColorModel);% STEP 2, 3% 计算候选模型区域每个像素点的权重weights = compute_weights_NG(imPatch, TargetModel, ColorModel, Nbins);% 计算mean-shift vector得到新的候选中心位置z = compute_meanshift_vector(imPatch, prev_center, weights);new_center = round(z);% STEP 4, 5计算新的候选模型和相似度imPatch2 = extract_image_patch_center_size(I, new_center, ROI_Width, ROI_Height);ColorModel2 = color_distribution(imPatch2, Nbins);% 相似度rho2 = compute_bhattacharyya_coefficient(TargetModel, ColorModel2);while(rho2<rho)%当移动后的候选位置相似度小于移动前的时候 进行以下迭代搜索 new_center = (prev_center+new_center)/2; imPatch2 = extract_image_patch_center_size(I, new_center, ROI_Width, ROI_Height);ColorModel2 = color_distribution(imPatch2, Nbins);rho2 = compute_bhattacharyya_coefficient(TargetModel, ColorModel2);% 相似度end% STEP 6if norm(new_center-prev_center, 1) < 0.0001breakendprev_center = new_center;enddisp(new_center);subplot(1,1,1); imshow(I, []);hold on;plot(new_center(1), new_center(2) , '+', 'Color', 'r', 'MarkerSize',10);drawnow;end
(这个代码格式也太丑了== 哪位兄弟知道怎么整的好看一点)
运行结果:


图1 第一帧手动框定跟踪目标 图2 第二帧跟踪结果
四、参考
基于MeanShift的目标跟踪算法及实现 基于MeanShift的目标跟踪算法及实现_taotao1233的博客-CSDN博客
孟琭,杨旭,目标跟踪算法综述,自动化学报,2019
本文代码包下载地址:
meanshift目标跟踪MATLAB实现_meanshift-机器学习代码类资源-CSDN下载(需要C币)
MeanShift tracking: The file is the MATLAB implementation of target tracking based on Meashift algorithm. For detailed explanation, please refer to the following blog post: https://blog.csdn.net/weixin_41537599/article/details/100151916#comments_13581050(求小星星♥♥♥)
GitHub - liyidi/MeanShift-tracking: MeanShift tracking MATLAB implementation(不稳定,求小星星♥♥♥)











