(十四)透视变换

article/2025/10/3 21:29:13

透视变换(Perspective Transformation)

一 图像变换与平面坐标系的关系

1、旋转:

在这里插入图片描述

2、平移:

在这里插入图片描述在这里插入图片描述

3、刚体变换

在这里插入图片描述

4、仿射变换

在这里插入图片描述
在这里插入图片描述在这里插入图片描述

5、投影变换(单应性变换)

在这里插入图片描述

6 总结一下:

1、刚体变换:平移+旋转,只改变物体位置,不改变物体形状
2、仿射变换:改变物体位置和形状,但是保持“平直性”
3、投影变换:彻底改变物体位置和形状

在这里插入图片描述

7、变换矩阵的物理意义

在这里插入图片描述

二 、单应性变换

在这里插入图片描述在这里插入图片描述
在这里插入图片描述在这里插入图片描述在这里插入图片描述

三、平面坐标系与齐次坐标系

齐次坐标到底是什么?
在这里插入图片描述

一、透视变换理解

一、定义

透视变换(Perspective Transformation)的本质是将图像投影到一个新的视平面(Viewing Plane),也称作投影映射(Projective Mapping)。
在这里插入图片描述
在这里插入图片描述

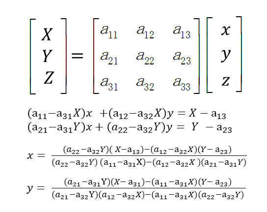
二、透视变换的变换矩阵计算

透视变换(Perspective Transformation)的本质是将图像投影到一个新的视平面,其通用变换公式为:
在这里插入图片描述

x,y,z 为原始图像像素点的齐次坐标,(X’=X/Z,Y’=Y/Z,Z’ =Z/Z ) 为变换之后的图像像素点的齐次坐标。

即原始图像像素点的齐次坐标(x,y,z)对应得到变换后的图像像素点的齐次坐标(X’;Y’;Z’)其中Z’=1,则点(X’;Y’)就是原图像对应的像素点的二维平面坐标经过变换后的二维平面坐标:
在这里插入图片描述

透视变换矩阵图解如下:
在这里插入图片描述 其中
在这里插入图片描述

原始图像像素点的齐次坐标(x,y,z)对应变换之后的图像像素点的齐次坐标(X;Y;Z)。将Z归一化后,得到归一化后的齐次坐标(X’;Y’;1),则其变换之后的图像像素点的齐次坐标(X;Y;Z)对应的二维平面坐标为(X’;Y’)
即当齐次坐标Z’=1,则点(X’;Y’)就是原图像对应的像素点的二维平面坐标经过变换后的二维平面坐标:
在这里插入图片描述
一般地,我们令a33=1,展开上面公式,得到一个点的放射变换:

在这里插入图片描述
在这个方程中,总共有8个未知数,因此我们可以找到4对8个点(每个两个对应,原平面上的点和其对应映射到新的视平面的点为一对)
列出方程。解出,参数a11 、a12、a13、a21、a22、a23、a31、a32。
假设这8个点为:
源点四个坐标分别为A:(x0,y0),(x1,y1),(x2,y2),(x3,y3)
目标点四个坐标分别为B:(X’0,Y’0),(X’1,Y’1),(X’2,Y’2),(X’3,Y’3)
则带入方程(写成矩阵形式)得:
在这里插入图片描述

三、求解出变换矩阵后如何使用

一、使用方法

首先,我们假设变换好的图像为new_image 大小跟原图image一样大,然后我们遍历图像new_image行和列,即遍历new_image的每一个像素坐标(Y,X,1),然后利用变换矩阵warpMatrix计算该坐标在原图中的对应位置(y,x,1),将原图中该位置的像素值p(y,x,1)赋值到变换后的图new_image中的(Y,X,1)位置。超出原图像素坐标的点可以随意赋值,看个人喜欢。一般赋值为边缘像素值

二、求(y,x,1)坐标方法

1、手推公式法

在这里插入图片描述

2、矩阵运算法

在这里插入图片描述原图:
在这里插入图片描述
原图像的四个点
src = np.float32([[207, 151], [517, 285], [17, 601], [343, 731]])
对应变换后的四个点
dst = np.float32([[0, 0], [337, 0], [0, 488], [337, 488]])
变换矩阵
[[ 8.92263779e-01 3.76733596e-01 -2.41585375e+02]
[-4.08140258e-01 9.44205073e-01 -5.80899328e+01]
[-8.53836442e-05 5.16464182e-05 1.00000000e+00]]
变换后的图
在这里插入图片描述

求解出的变换矩阵就可以将一个正方形变换到四边形。反之,四边形变换到正方形也是一样的。于是,我们通过两次变换:四边形变换到正方形+正方形变换到四边形就可以将任意一个四边形变换到另一个四边形。

在这里插入图片描述
因此,给定透视变换对应的四对像素点坐标,即可求得透视变换矩阵;反之,给定透视变换矩阵,即可对图像或像素点坐标完成透视变换,如下图所示:
在这里插入图片描述
https://blog.csdn.net/xiaowei_cqu/article/details/26471527
https://blog.csdn.net/u010925447/article/details/77947398?utm_source=blogxgwz6
https://zhuanlan.zhihu.com/p/74597564


http://chatgpt.dhexx.cn/article/car4Gsxh.shtml

相关文章

图像畸变矫正——透视变换

图像畸变矫正——透视变换 由于相机制造精度以及组装工艺的偏差引入的畸变,或者由于照片拍摄时的角度、旋转、缩放等问题, 可能会导致原始图像的失真,如果要修复这些失真,我们可以通过透视变换,对图像进行畸变矫正。 …

透视变换原理实例代码详解

导读 在上篇文章中,我们介绍了仿射变换,我们只需要通过一个两行三列的变换矩阵M就能够对图像实现平移、缩放、翻转、旋转操作。我们发现这些变换其实都属于平面变换,如果我们想要进行空间变换呢? 将上图的扑克牌单独提取出来&am…

[解疑]图像、矩阵的二维空间变换

本文经过参考多个文章整理而成,感谢各位博主的无私分享。 综述 图像(2维平面)到图像(2维平面)的四种变换包括:等距变换,相似变换,仿射变换,投影变换。对图像的几何变换…

数字图像处理(入门篇)十四 透视变换

目录 一 透视变换 二 实践 (1)代码 (2)结果图 一 透视变换 现实生活中的空间是三维的,图像中的物体存在近大远小的特征,这种畸变仿射变换不能矫正。因此,我们需要使用到三维空间的变化&…

【图像理论】透视变换

透视变换: 定义:本质是将图像投影到一个新的视平面。仿射变换可以理解为透视变换的特殊形式。利用透视中心、像点、目标点三点共线的条件,按透视旋转定律使承影面(透视面)绕迹线(透视轴)旋转某…

Python图像处理之透视变换

1 引言 如果你想对图像进行校准,那么透视变换是非常有效的变换手段。透视变换的定义为将图像投影到一个新的视平面,通常也被称之为投影映射。 2 公式 一般来说,通用的图像变换公式如下所示: 上述公式中,u,v代表原…

维特比算法 python_维特比算法理解与实现(Python)

前言 写这篇文章就是想以通俗易懂的方式解析维特比算法,最后给出Python代码的实现。下面的公式和原理均出自《统计学习方法》。 算法的原理 算法的原理1.PNG 算法的原理2.PNG 上面写了一大堆,意思就是:每个时刻选择出概率最大的路径&#xf…

viterbi-algorithm 维特比算法的例子解析

维特比算法的目的: 寻找最可能的隐藏状态序列(Finding most probable sequence of hidden states) 关于原理的讲解可以参考下面两篇文章,讲的比较清楚 小白给小白详解维特比算法1. 小白给小白详解维特比算法2. 本文通过分析维特比算法的例子&#xff0c…

维特比算法代码

维特比算法实现python语言版 本文主要写一个关于维特比算法的代码,具体理论请参考一文搞懂HMM(隐马尔可夫模型): HMM(隐马尔可夫模型)是用来描述隐含未知参数的统计模型,举一个经典的例子&…

维特比算法学习

参考文章1: 简直不要太通俗易懂,这篇文章,很值得看 参考文章2: 解释一些概念性的问题,我把他的一些内容写下来 维特比(Viterbi)算法的核心是动态规划。 对于 HMM 而言,其中一个重要的任务就是要找出最有…

5分钟理解维特比算法

安德鲁维特比老人家发明了维特比算法,用非常巧妙的方法简化了隐马尔可夫第二个问题运算过程。维特比先生后来发明了CDMA技术并与人一起创办了高通公司,高通现在是通信巨头,不生产产品却每年收取大量的专利费。 下面我们用简单的例子&#xff…

Viterbi-Algorithm(维特比算法)

Viterbi-Algorithm 维特比算法是一个特殊但应用最广的动态规划算法。利用动态规划,可以解决任何一个图中的最短路径问题。而维特比算法是针对一个特殊的图-篱笆网了(Lattice)的有向图最短路径问题而提出来的。它之所以重要,是因为…

NLP学习笔记06-维特比算法

一序 本文属于NLP学习笔记系列。 上一篇整理了前向最大匹配算法与所有组合算法缺点(时间复杂度太高了)。 二 维特比算法 log(x*y*z) log(x)log(y)log(z) 概率上为了避免小数练乘出现的超范围溢出,改用log,改用-log,使得原来求概…

HMM-维特比算法

HMM-维特比算法(viterbi) HMM回顾隐马科夫链解法:维特比算法(Viterbi) HMM回顾 最终的公式可以解释主要分为两个部分: P(xi|yi),发射概率,字面意思是从一个词性中发射/生成出某一个…

Viterbi算法(维特比算法)

维特比算法背景: 安德鲁维特比(Andrew J. Viterbi),CDMA之父,IEEE Fellow,高通公司创始人之一,高通首席科学家。他开发了卷积码编码的最大似然算法而享誉全球。1991年香农奖(Claude …

HMM+维特比算法

一、简介 Viterbi 算法 考虑到穷举方法的缺点,可以采用:Viterbi 算法: 动态搜索最优状态序列,这样每个节点保存的是到当前节点的局部最优概率;依据最后一个时刻中概率最高的状态,逆向找其路径中的上一个最大部分最优路…

维特比算法的java实现_原创:维特比算法

看了宗成庆博士的《统计自然语言处理(中文信息处理)》的第六章,对维特比算法有着非常精辟的讲解。把其中的讲解上传上来,个人感觉比较正统。 今天用Java实现了这个算法,也可以转换为C代码: package com.nlp.hmm.algorithm.viterbi…

隐马尔可夫(HMM)、前/后向算法、Viterbi算法 再次总结

本总结是是个人为防止遗忘而作,不得转载和商用。 说明:此篇是作者对“隐马尔可夫模型”的第二次总结,因此可以算作对上次总结的查漏补缺以及更进一步的理解,所以很多在第一次总结中已经整理过的内容在本篇中将不再重复&#xff0c…

维特比(Viterbi)算法

维特比算法 (Viterbi algorithm) 是机器学习中应用非常广泛的动态规划算法,在求解隐马尔科夫、条件随机场的预测以及seq2seq模型概率计算等问题中均用到了该算法。实际上,维特比算法不仅是很多自然语言处理的解码算法,也是现代数字通信中使用…

小白给小白详解维特比算法(一)

小白给小白详解维特比算法(一) 小白给小白详解维特比算法一 篱笆网络Lattice的最短路径问题 这个问题长什么样子这个问题难在哪里简化成这个模样你总能回答了吧下一步我们该干什么 别倒立了我们再从头想一下这个问题 我们是怎么走过来的来我们从A开始走这…