【图像理论】透视变换

article/2025/10/3 22:28:52

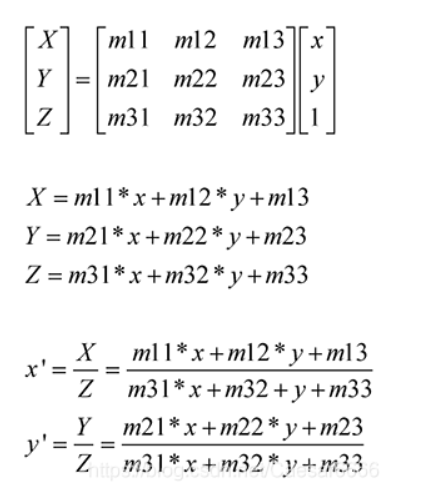
透视变换:

定义:本质是将图像投影到一个新的视平面。仿射变换可以理解为透视变换的特殊形式。利用透视中心、像点、目标点三点共线的条件,按透视旋转定律使承影面(透视面)绕迹线(透视轴)旋转某一角度,破坏原有的投影光线束,仍能保持承影面上投影几何图形不变的变换。如图所示;
在这里插入图片描述

对于透视投影,一束平行于投影面的平行线的投影可保持平行,而不平行于投影面的平行线的投影会聚集到一个点,该点称为灭点。
当在行驶过程中,看向远处,马路两边的白线会向交于一点

数学原理:

[外链图片转存失败,源站可能有防盗链机制,建议将图片保存下来直接上传(img-qCdY0Jtu-1635942390590)(图像形成.assets/20200205163342761.png)]

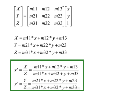
其中,(x,y)是原图坐标,(x’,y’)是变换后的坐标;m11,m12,m21,m22,m31,m32为旋转量,m13,m23,m33为平移量。因为透视变换是非线性的,所以不能齐次性表示;透视变换矩阵为3*3。

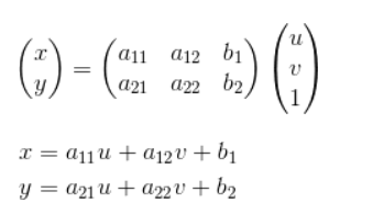
仿射变换和透视变换的区别:

仿射变换和透视变换更直观的叫法可以叫做「平面变换」和「空间变换」或者「二维坐标变换」和「三维坐标变换」。如果这么命名的话,其实很显然,这俩是一回事,只不过一个是二维坐标(x,y),一个是三维坐标(x,y,z)。也就是:
仿射变换:
在这里插入图片描述

透视变换具有9个自由度(其变换系数为个自由度(其变换系数为9个),故可以实现平面四边形到四边形的映射。

两者的关系:
仿射变换:二维空间的变换 ; 线性变换 ;已知3对坐标点就可以求得变换矩阵,三点确定一个平面
透视变换:三维空间的变换 ; 非线性变换 ;已知4对坐标点可以求得变换矩阵,四个点确定一个空间

一个思考:

第一个思考:在仿射变换的时候,只需要乘一下矩阵,不需要除以z,为什么透视变换需要除以z?

在这里插入图片描述

不除行不行?

因为我们处理的是二维的图像,所以可以令Z’=1,并将变换后的图像坐标除以Z’,将图片由三维降维为两维。

[外链图片转存失败,源站可能有防盗链机制,建议将图片保存下来直接上传(img-BxsSiJcE-1635942390596)(图像形成.assets/20210208230725167.PNG)]

第二个思考:在什么时候透视变换会变成仿射变换。

从矩阵上看,m31=0 m32=0 这样就变成仿射变换了。

透视变换的性质

保持直线性。就是直线还是直线。

第三个思考:自由度是几?8还是9?

是8。
请添加图片描述


http://chatgpt.dhexx.cn/article/5j9RTOwN.shtml

相关文章

Python图像处理之透视变换

1 引言 如果你想对图像进行校准,那么透视变换是非常有效的变换手段。透视变换的定义为将图像投影到一个新的视平面,通常也被称之为投影映射。 2 公式 一般来说,通用的图像变换公式如下所示: 上述公式中,u,v代表原…

维特比算法 python_维特比算法理解与实现(Python)

前言 写这篇文章就是想以通俗易懂的方式解析维特比算法,最后给出Python代码的实现。下面的公式和原理均出自《统计学习方法》。 算法的原理 算法的原理1.PNG 算法的原理2.PNG 上面写了一大堆,意思就是:每个时刻选择出概率最大的路径&#xf…

viterbi-algorithm 维特比算法的例子解析

维特比算法的目的: 寻找最可能的隐藏状态序列(Finding most probable sequence of hidden states) 关于原理的讲解可以参考下面两篇文章,讲的比较清楚 小白给小白详解维特比算法1. 小白给小白详解维特比算法2. 本文通过分析维特比算法的例子&#xff0c…

维特比算法代码

维特比算法实现python语言版 本文主要写一个关于维特比算法的代码,具体理论请参考一文搞懂HMM(隐马尔可夫模型): HMM(隐马尔可夫模型)是用来描述隐含未知参数的统计模型,举一个经典的例子&…

维特比算法学习

参考文章1: 简直不要太通俗易懂,这篇文章,很值得看 参考文章2: 解释一些概念性的问题,我把他的一些内容写下来 维特比(Viterbi)算法的核心是动态规划。 对于 HMM 而言,其中一个重要的任务就是要找出最有…

5分钟理解维特比算法

安德鲁维特比老人家发明了维特比算法,用非常巧妙的方法简化了隐马尔可夫第二个问题运算过程。维特比先生后来发明了CDMA技术并与人一起创办了高通公司,高通现在是通信巨头,不生产产品却每年收取大量的专利费。 下面我们用简单的例子&#xff…

Viterbi-Algorithm(维特比算法)

Viterbi-Algorithm 维特比算法是一个特殊但应用最广的动态规划算法。利用动态规划,可以解决任何一个图中的最短路径问题。而维特比算法是针对一个特殊的图-篱笆网了(Lattice)的有向图最短路径问题而提出来的。它之所以重要,是因为…

NLP学习笔记06-维特比算法

一序 本文属于NLP学习笔记系列。 上一篇整理了前向最大匹配算法与所有组合算法缺点(时间复杂度太高了)。 二 维特比算法 log(x*y*z) log(x)log(y)log(z) 概率上为了避免小数练乘出现的超范围溢出,改用log,改用-log,使得原来求概…

HMM-维特比算法

HMM-维特比算法(viterbi) HMM回顾隐马科夫链解法:维特比算法(Viterbi) HMM回顾 最终的公式可以解释主要分为两个部分: P(xi|yi),发射概率,字面意思是从一个词性中发射/生成出某一个…

Viterbi算法(维特比算法)

维特比算法背景: 安德鲁维特比(Andrew J. Viterbi),CDMA之父,IEEE Fellow,高通公司创始人之一,高通首席科学家。他开发了卷积码编码的最大似然算法而享誉全球。1991年香农奖(Claude …

HMM+维特比算法

一、简介 Viterbi 算法 考虑到穷举方法的缺点,可以采用:Viterbi 算法: 动态搜索最优状态序列,这样每个节点保存的是到当前节点的局部最优概率;依据最后一个时刻中概率最高的状态,逆向找其路径中的上一个最大部分最优路…

维特比算法的java实现_原创:维特比算法

看了宗成庆博士的《统计自然语言处理(中文信息处理)》的第六章,对维特比算法有着非常精辟的讲解。把其中的讲解上传上来,个人感觉比较正统。 今天用Java实现了这个算法,也可以转换为C代码: package com.nlp.hmm.algorithm.viterbi…

隐马尔可夫(HMM)、前/后向算法、Viterbi算法 再次总结

本总结是是个人为防止遗忘而作,不得转载和商用。 说明:此篇是作者对“隐马尔可夫模型”的第二次总结,因此可以算作对上次总结的查漏补缺以及更进一步的理解,所以很多在第一次总结中已经整理过的内容在本篇中将不再重复&#xff0c…

维特比(Viterbi)算法

维特比算法 (Viterbi algorithm) 是机器学习中应用非常广泛的动态规划算法,在求解隐马尔科夫、条件随机场的预测以及seq2seq模型概率计算等问题中均用到了该算法。实际上,维特比算法不仅是很多自然语言处理的解码算法,也是现代数字通信中使用…

小白给小白详解维特比算法(一)

小白给小白详解维特比算法(一) 小白给小白详解维特比算法一 篱笆网络Lattice的最短路径问题 这个问题长什么样子这个问题难在哪里简化成这个模样你总能回答了吧下一步我们该干什么 别倒立了我们再从头想一下这个问题 我们是怎么走过来的来我们从A开始走这…

viterbi算法

维特比算法(Viterbi Algorithm) 标签(空格分隔): 未分类 维特比算法(Viterbi Algorithm) viterbi算法用于寻找最可能的隐藏状态序列(Finding most probable sequence of hidden states) 对于…

维特比算法

1. 概述 维特比算法是安德鲁.维特比(Andrew Viterbi)于1967年为解决通信领域中的解码问题而提出的,它同样广泛用于解决自然语言处理中的解码问题,隐马尔可夫模型的解码是其中典型的代表。无论是通信中的解码问题还是自然语言处理中的解码问题&#xff0c…

维特比算法(Viterbi algorithm)

一、维特比算法(Viterbi)原理以及简单实现 维特比算法(Viterbi algorithm)是一种动态规划算法。它用于寻找最有可能产生观测事件序列的维特比路径——隐含状态序列,特别是在马尔可夫信息源上下文和隐马尔可夫模型中。 维特比算法实际是用动…

机器学习:维特比算法(Viterbi Algorithm)

一、维特比算法(Viterbi Algorithm)讲解方式01:篱笆网络(Lattice)的最短路径问题 已知下图的篱笆网络,每个节点之间的数字表示相邻节点之间的距离,举个例子来说,如果我走&#xff0…

字符串匹配原理及实现(C++版)

字符串匹配原理及实现(C版) 1. 字符串匹配概念2. BF2.1 原理2.2 代码实现 3. KMP3.1 原理3.2 代码实现 4. BM4.1 坏字符4.2 好后缀4.3 代码实现 1. 字符串匹配概念 在查找操作中,我们用到很重要的概念就是字符串匹配,所谓字符串匹…