概率论与数理统计学习笔记——第十九讲——二元连续型随机变量,联合概率密度函数

article/2025/10/2 1:25:35

 

1. 联合概率密度函数

 

2. 概率密度的性质

 

3. 二元连续型随机变量概率分布函数求解示例


http://chatgpt.dhexx.cn/article/PkiKKYFe.shtml

相关文章

联合分布概率密度函数

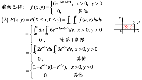
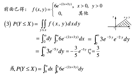
定义&#xff1a; 二维随机变量(X,Y)的分布函数&#xff0c;或称为随机变量X和Y的联合分布函数。随机变量X和Y的联合分布函数是设(X,Y)是二维随机变量&#xff0c; 对于任意实数x,y&#xff0c;二元函数&#xff1a;F(x,y) P{(X<x) ∩ (Y<y)} > P(X<x, Y<y) 称…

协方差与联合概率密度的关系、协方差的几何意义

以二维正态分布来举例。当方差不变&#xff0c;而协方差变化时&#xff0c;分布沿着长宽比等于两个方差之比的矩阵逐渐变窄。如下图所示&#xff1a; 两个分布的标准差都为0.1&#xff0c;均值都为0&#xff0c;协方差左边从0一直上升到0.01&#xff0c;右边从0下降到-0.01。 看…

概率论与数理统计学习笔记——第8讲——多维随机变量的概念(3.1.4联合概率密度的概念及性质)

1. 内容回顾——二维离散型随机变量 2. 二维连续型随机变量的联合概率密度 3. 联合概率密度的性质 4. 联合概率密度求解示例

联合概率密度函数

条件概率密度函数&#xff1a; 边缘概率密度函数&#xff1a; 随机变量G的条件期望&#xff1a;

【数学建模】Matlab二维联合正态分布概率密度函数构造

文章目录 前言一、公式解读二、构造过程1.先求出均值&#xff08;期望值&#xff09;&#xff0c;方差&#xff08;或标准差&#xff09;&#xff0c;相关系数2.写出联合PDF3.画图 总结 前言 二维正态分布&#xff0c;又名二维高斯分布&#xff08;英语&#xff1a;Two-dimens…

联合概率分布

离散随机变量的联合分布 我们先从离散的情况出发&#xff0c;了解多个随机变量并存的含义。 之前说&#xff0c;一个随机变量是从样本空间到实数的映射。然而&#xff0c;所谓的映射是人为创造的。从一个样本空间&#xff0c;可以同时产生多个映射。比如&#xff0c;我们的实验…

高斯推断(联合高斯概率密度函数,分解与推断)

对于⼀对服从多元正态分布的变量 ( x , y ) &#xff0c;可以写出它们的联合概率密度函数&#xff1a; 根据Bays rule&#xff0c; &#xff0c;能不能得到条件概率 和边缘概率 的高斯分布&#xff1f; 高斯推断告诉我们是可以的&#xff01; 是左边被拆分成两个部分的形式&a…

联合密度函数求期望_已知概率密度函数怎么求它的数学期望和方差

展开全部 代入公式。在[a,b]上的均匀分32313133353236313431303231363533e58685e5aeb931333431353939布&#xff0c;期望(ab)/2&#xff0c;方差[(b-a)^2]/2。代入直接得到结论。如果不知道均匀分布的期望和方差公式&#xff0c;只能按步就班的做&#xff1a; 期望&#xff1a;…

核密度函数构建联合概率密度函数

核密度估计其实就是通过核函数&#xff08;如高斯&#xff09;将每个数据点的数据带宽当作核函数的参数&#xff0c;得到N个核函数&#xff0c;再线性叠加就形成了核密度的估计函数&#xff0c;归一化后就是核密度概率密度函数了。 将设有N个样本点&#xff0c;对这N个点进行上…

高斯概率密度函数

高斯概率密度函数 1. 单变量正态分布 单变量正态分布概率密度函数定义为&#xff1a; ρ ( x ) 1 2 π σ e − 1 2 ( x − μ σ ) 2 (1) \rho(x)\frac{1}{\sqrt{2\pi \sigma}} e^{-\frac{1}{2} (\frac{x- \mu}{\sigma})^2} \tag 1 ρ(x)2πσ ​1​e−21​(σx−μ​)2(1…

为什么边缘概率密度是联合概率密度的积分_我为什么弃用GAN?

贾浩楠 发自 凹非寺量子位 报道 | 公众号 QbitAI 输出单一、调参麻烦、损失函数不能收敛、稳定性差。 苏黎世理工大学的博士Andreas Lugmayr历数了各种GAN的“罪状”&#xff0c;说出了今后弃用GAN的话。 说出“弃用”&#xff0c;当然是已经有了B计划。 Andreas Lugmayr博士和…

联合概率密度,条件概率,乘法公式,求和公式,边缘分布,链式法则,贝叶斯公式...

联合概率密度 P(A^B) 条件概率 从面积比例看出,P(A|B)等于B中A的面积(P(A^B))除以B的面积(P(B))。 乘法公式(乘积法则) 假如事件A与B相互独立,那么: 相互独立:表示两个事件互不影响。 互斥:表示两个事件不能同时发生。互斥事件一定不独立(因为一件事的发生导致了另…

概率论——随机变量、概率分布函数、概率密度函数、联合概率密度

&#xff08;博客上编辑公式很麻烦&#xff0c;大多上自己文档的截图了&#xff09; &#xff08;随机试验&#xff0c;样本空间等可参考https://blog.csdn.net/qq_37601846/article/details/103507576&#xff09; 1. 随机变量&#xff08;random variable&#xff09; &…

概率统计笔记:高斯分布的联合概率密度

1 符号说明 我们的目的是求的概率 2 求p(y) 不难发现&#xff0c;y与x的关系为线性高斯模型&#xff0c;则yy与x符合下述关系 于是可以得到y的分布 3 求p(z) 我们现在的目标就是求这个▲是什么 参考资料&#xff1a;机器学习-白板推导系列笔记&#xff08;二&#xff09;-数…

利用MATLAB来绘制二维随机变量的联合概率密度图像

本文档通过MATLAB来绘制二维随机变量(X,Y)的联合概率密度函数。 第一种类型&#xff0c;X服从标准正态分布&#xff0c;Y服从均匀分布。 【例题】已知随机变量X与Y相互独立&#xff0c;X~N(0,1);Y在区间[0,2]上服从均匀分布。求&#xff1a; &#xff08;1&#xff09;二维随机…

联合概率密度函数的基本结论

若已知连联合概率密度函数&#xff1a; 则&#xff1a; X边缘密度函数&#xff1a; Y边缘密度函数&#xff1a; x,y从负无穷到正无穷的积分为&#xff1a; X与Y的边缘分布函数&#xff1a;可分别通过X与Y 的边缘密度函数求得。&#xff08;分布函数由密度函数求积分得到&#x…

图解联合概率密度、边缘概率密度、条件概率密度之间的关系

图解联合概率密度、边缘概率密度、条件概率密度之间的关系 笔记来源&#xff1a;L10.3 Comments on Conditional PDFs 联合概率密度、条件概率密度的关系 个人理解&#xff1a;某个条件概率密度函数图像是联合概率密度函数图像的某个经过放缩后的“切片”&#xff08;y取某个…

Python出现ValueError: check_hostname requires server_hostname如何解决

Python出现ValueError: check_hostname requires server_hostname如何解决 Python出现ValueError: check_hostname requires server_hostname如何解决 Python出现ValueError: check_hostname requires server_hostname如何解决 在安装myqr库的时候&#xff0c;出现了ValueErro…

python3.8 check_hostname requires server_hostname

这个error我查了下&#xff0c;在多个方面运行程序时都会报错&#xff0c;本人是在安装下面的轮子时报的错&#xff0c;查了好多&#xff0c;大部分是修改某一包的版本 但&#xff0c;有一个方法贼简单&#xff0c;分享下&#xff1a; 将 使用代理服务器 设置为 关 &#xff…