联合概率密度函数的基本结论

article/2025/10/2 3:56:31

若已知连联合概率密度函数:

则:

X边缘密度函数:

Y边缘密度函数:

 

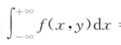
x,y从负无穷到正无穷的积分为:

X与Y的边缘分布函数:可分别通过X与Y 的边缘密度函数求得。(分布函数由密度函数求积分得到)

判断随机变量X与Y是否独立:

 若相等:则独立,不相等:则不独立。

求联合函数的分布函数:通过对联合概率密度函数求积分。

关于分布函数的公式:

其中P中x的范围用作求积分时的变量范围。


http://chatgpt.dhexx.cn/article/niNuCpkh.shtml

相关文章

图解联合概率密度、边缘概率密度、条件概率密度之间的关系

图解联合概率密度、边缘概率密度、条件概率密度之间的关系 笔记来源:L10.3 Comments on Conditional PDFs 联合概率密度、条件概率密度的关系 个人理解:某个条件概率密度函数图像是联合概率密度函数图像的某个经过放缩后的“切片”(y取某个…

Python出现ValueError: check_hostname requires server_hostname如何解决

Python出现ValueError: check_hostname requires server_hostname如何解决 Python出现ValueError: check_hostname requires server_hostname如何解决 Python出现ValueError: check_hostname requires server_hostname如何解决 在安装myqr库的时候,出现了ValueErro…

python3.8 check_hostname requires server_hostname

这个error我查了下,在多个方面运行程序时都会报错,本人是在安装下面的轮子时报的错,查了好多,大部分是修改某一包的版本 但,有一个方法贼简单,分享下: 将 使用代理服务器 设置为 关 &#xff…

ValueError: check_hostname requires server_hostname解决方法

使用python的pip安装第三方包的时候会出现这个问题 查看了一些解决方法 关掉一些代理VPN然后重试,再不行就关闭计算机代理: PS H:\python_project\Python-Multiple-Image-Stitching-master\Python-Multiple-Image-Stitching-master> pip install ope…

彻底理解hostname---四种方法修改hostname值

当我觉得对Linux系统下修改hostname已经非常熟悉的时候,今天碰到了几个个问题,这几个问题给我好好上了一课,很多知识点,当你觉得你已经掌握的时候,其实你了解的还只是皮毛。技术活,切勿浅尝则止&#xff01…

Linux命令之获取和修改主机名hostname

概述 hostname 命令可以获取当前主机名和临时修改主机名。 语法 该命令的语法如下: hostname [选项] [参数]该命令支持的选项有: 选项说明-a显示主机别名-d显示DNS域名-f显示FQDN名称-i显示主机的ip地址-s显示短主机名称,在第一个点处截断…

【安全测试学习】数据库基础

以上来自学习极客时间《Web 安全攻防实战》课程内容,汇总整理思维导图。

安全测试-数据安全测试(2)

目录 前言 一、环境准备 1.1 模拟器软件下载 1.2 账号登录注册 1.3 版本选择 二、获取 SQLite 文件 Android 三、查看 SQLite 文件 四、SQLite 数据安全 4.1SQL 注入 4.2预防 SQL 注入 前言 捣鼓了那么久,终于整理出来了,可能中间会出现一些波…

Web安全攻防渗透测试

1. Nmap的基本 Nmap ip 6 ip Nmap -A 开启操作系统识别和版本识别功能 – T(0-6档) 设置扫描的速度 一般设置T4 过快容易被发现 -v 显示信息的级别,-vv显示更详细的信息 192.168.1.1/24 扫描C段 192.168.11 -254 上 nmap -A -T…

安全测试-- WEB 实战

增:XSS、文件上传get shell 删:越权 查:sql注入、越权 改:XSS、越权 好 也可以用wvs先扫 根据报告找漏洞的点 一 端口信息收集 kali : nmap -A -T4 192.168.1.35 端口信息收集 端口信息收集资料 问题:端口扫描是…

Web应用安全测试扫盲

最近新闻热点《西北工业大学遭美国国家安全局网络攻击事件》想必大家都看到了,攻击的目的无外乎获取涉及到国安的机密数据。 移动互联网时代,Web应用产生并存储海量用户隐私以及交易数据,对Web应用进行安全测试变得越来越重要。 本文属于扫…

Web 安全测试之信息泄漏测试

随着因特网的不断发展,人们对网络的使用越来越频繁,通过网络进行购物、支付等其他业务操作。而一个潜在的问题是网络的安全性如何保证,一些黑客利用站点安全性的漏洞来窃取用户的信息,使用户的个人信息泄漏,所以站点的…

MYSQL数据库安全测试

1.利用渗透机场景kali中的工具确定MySQL的端口&#xff0c;将MySQL端口作为Flag提交&#xff1b; Nmap -sV -p- 172.16.101.243 flag{3358} 2.管理者曾在web界面登陆数据库&#xff0c;并执行了 {select ‘<?php echo ;system($_GET[\cmd\]); echo ; ?>’ INTO OUTFI…

Web安全测试-WebScarab工具

转载自web安全测试—WebScarab工具介绍&#xff08;中间攻击&#xff0c;可以修改请求参数&#xff09; 1.1 Webscarab1.1.1 工具安装1.1.2 功能原理1.1.3 工具使用1.1.34 使用心得 工具下载&#xff1a;WebScarab工具下载 1.1 Webscarab 【功能】 WebScarab是一个用来分析使…

web安全测试概述

一、关于安全 1、安全问题的根源&#xff1a; 1&#xff09;、分层思想&#xff0c;这个分层包括网络分层和软件分层等&#xff0c;分层可以将大的问题划分为不同的层次&#xff0c;层次与层次之间通过一定的接口标准进行信息交换&#xff0c;从而将一个大问题拆分开来由不同…

【安全】Web渗透测试(全流程)

1 信息收集 1.1 域名、IP、端口 域名信息查询&#xff1a;信息可用于后续渗透 IP信息查询&#xff1a;确认域名对应IP&#xff0c;确认IP是否真实&#xff0c;确认通信是否正常 端口信息查询&#xff1a;NMap扫描&#xff0c;确认开放端口 如果不会用Nmap&#xff0c;看这里…

WEB渗透之数据库安全——MySQL

意识薄弱-弱口令爆破 安全机制-特定安全漏洞 0x00 MySQL默认配置root用户禁止外连 就算爆破出正确用户名密码也无法登录&#xff0c;如果爆破出非root用户账号密码&#xff0c;价值也不大 所以如果目标网站部署了phpMyAdmin,找到phpMyAdmin目录&#xff08;如果使用phpStudy…

web安全渗透测试

通过浏览器访问http://靶机服务器IP/1&#xff0c;对该页面进行渗透测试, 找到flag格式&#xff1a;flag&#xff5b;Xxxx123&#xff5d;&#xff0c;括号中的内容作为flag值并提交&#xff1b;&#xff08;2分&#xff09;通过浏览器访问http://靶机服务器IP/2&#xff0c;对…

菜鸟浅谈——web安全测试

本文仅为小白了解安全测试提供帮助 一&#xff1a;安全测试注意事项 1&#xff09;要注意白帽子与黑客之间的区别 2&#xff09;在挖漏洞挣外快时&#xff0c;注意不要使用安全扫描或暴力破解软件对上线网站进行扫描或攻击。 不要对上线网站造成破坏&#xff0c;不要去获取网…

WEB安全_基础入门_系统及数据库,明确安全测试思路(演示只需要熟悉流程)

目录 前言一、操作系统层面背景知识点1.识别操作系统的常见方法方式一&#xff1a;改变大小写看操作系统的类型方式二&#xff1a;TTL判断方式三&#xff1a;nmap端口判断 2.简要两者区别及识别意义3.操作系统层面漏洞类型对应意义SQL注入漏洞跨站脚本漏洞弱口令漏洞HTTP报头追…