一.引言
前面介绍了如何生成带权的图: GraphEmbedding - networkx获取图结构
从带权的图随机游走生成序列: GraphEmbedding - DeepWalk 随机游走
embedding 向量的评估与可视化: GraphEmbedding - embedding 向量的降维与可视化
以及复杂度O(1)的采样算法 Alias: GraphEmbedding - Alias 采样图文详解
还有二叉树搜索的 DFS 与 BFS: 二叉树的遍历 DFS 与 BFS
结合上面5个知识点,今天引出 Node2vec 算法,Node2vec 结合了上面几篇文章的内容,同时也引进了自己的创新,比 DeepWalk 更常见也更有效。
二.Node2vec 算法
1.Node2vec 简介
说起 Node2vec 还是要提一下 DeepWalk,DeepWalk 基于图随机游走,默认各个边的权重为1,其更偏向于 DFS 即深度优先搜索,DFS 的好处是搜索的全局性好,但是对于较远的邻居的 embedding 表征作用不大,这时还有 BFS 广度优先搜索,其对周围邻居的覆盖程度较高,但是搜索偏局部,无法感知稍远的邻居节点,Node2vec 的出现就是结合 DFS 与 BFS 的优点,从而对局部和全局进行了折中,得到了质量更高的采样序列。

2.Node2vec 理论
A.基于 Edge 的转移概率

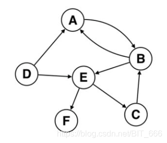
上面提到了DFS 和 BFS,在 Node2vec 中,通过 p,q 参数控制游走更偏向于全局搜索 DFS 还是局部搜索 BFS,假设当前节点从 t 走到 v 点,从 v 选择下一个邻居节点时,不再是等概率随机选择,而是对原始权重进行 P,Q修正,最终归一化得到选择不同节点的概率。
代表v的邻居与上一个起始点t的关系
=0 代表v又重新返回起始点t,其边权重的修正参数为 α=1/p
=1 代表从新起点v出发到达的下一个邻居和上一个起始点t也存在边的关系,此时距离为1,α=1
=2 代表从新起点v出发到达的下一个邻居与上一个起始点t不存在关系,所以距离为2, α=1/q
基于调节参数 和边的原始权重
可以得到上一条路径为 t -> v,v向其邻居
的整体转移概率,我们称之为基于edge的转移概率:
B.基于 Node 的转移概率

除了基于 edge 的转移概率,还有最基础的基于节点的转移概率,此时不考虑p,q参数,因为不涉及距离问题,从顶点 u 出发到任意u的邻居其距离均为1,所以 均为1,此时 α=1,原始权重为
,对于任意一点 v,v向其邻居
的整体转移概率,我们称之为基于 node 的转移概率:
C.采样

基于图中所有 Node 的转移概率与 Edge 的转移概率,结合 Alias 生成 AliasTable,后续按概率 AliasSample 即可,通过调整 p,q 参数,调整游走序列在 DFS 和 BFS 的偏重:
P: 采样中 p 控制从 v 回到起始点 t 的概率,所以是回撤概率,p越大,回撤的概率越小
Q: 采样中 q 控制 t->v-> 新节点的概率,如果 q > 1 游走偏向于访问局部的节点(BFS),因为此时 1>1/q ,如果 q < 1,游走偏向于访问全局的节点(DFS),因为此时 1 < 1/q
3.Node2vec 伪代码

A.node2vecWalk
这部分负责随机游走生成关注关系序列,需要用到原始node u,游走长度 l,对当前节点进行 AliasSample 获取游走序列
B.LearnFeatures
除了初始化游走长度外,定义向量维度 d,回撤概率 p,转出概率 q,最后通过 stochastic gradient descent 随机梯度下降的学习器对 walk 得到的的多个序列 walks 训练,得到每个节点的 embedding,这里常用的是 Word2vec
三.Node2vec 实践
根据上面的 node2vevWalk 与 leranFeatures 我们大致理一下需要哪些步骤:
A.生成一个带权的关注关系图,并获取图中节点,边以及对应的权重
B.为每一个点,每一条边生成基于 Node 和基于 Edge 的转移概率并生成 Alias Table
C.根据epoch和walk length 以及 Alias Table 进行 Alias Sample 获取游走序列
D.通过 Word2vec 方法对数据训练并获得向量 Embedding
跟随上面的思路操作一下
1.生成带权图

1-1 构造图通过 Random 随机模拟关注关系图的原始节点与权重,node_num 控制节点数,sample_num 控制该关系图的边的大致数量
1-2 获取带权图,通过 networkx 读取 1.1 生成的图并加载权重 weight
1-3 通过 .nodes() 和 .edges() 方法获取模拟图的节点与边
# 1-1 构造图edge_file = "./data/test_edges.txt"node_num = 100sample_num = 1000def createGraph():f = open(edge_file, "w")for i in range(sample_num):from = random.randint(0, node_num)to = random.randint(0, node_num)weight = random.random()if from != to:f.write("%s %s %s\n" % (from, to, weight))f.close()createGraph()# 1-2 获取带权图def loadGraph(fileName):G = nx.read_edgelist(fileName, create_using=nx.DiGraph(), nodetype=None, data=[('weight', float)])return GG = loadGraph(edge_file)# 1-3 获取图的节点与边nodes = G.nodes()edges = G.edges()nodes_list = list(nodes)
2.生成Alias Table
2.1 create_alias_table 方法通过将转移概率归一化并生成对应的 Alias Table,建表复杂度 O(n),这里再重复一下之前的需求,Node2vec 在概率游走前需要进行初始化,获取 Node 的转移概率表 alias_nodes 和 Edge 的转移概率表 alias_edge,前者决定当前顶点需要访问的下一个节点的 Alias Table,后者则决定条件概率下 (t,v) 边访问到 v 点时,v 的下一个节点的 Alias Table
import numpy as npdef create_alias_table(transform_prob):print("归一化前:", transform_prob)# 当前node的邻居的nbr的转移概率之和norm_const = sum(transform_prob)# 当前node的邻居的nbr的归一化转移概率normalized_prob = [float(u_prob) / norm_const for u_prob in transform_prob]print("归一化后:", normalized_prob)length = len(transform_prob)# 建表复杂度o(N)accept, alias = [0] * length, [0] * length# small,big 存放比1小和比1大的索引small, big = [], []# 归一化转移概率 * 转移概率数transform_N = np.array(normalized_prob) * lengthprint("归一化 * N 后:", transform_N)# 根据概率放入small largefor i, prob in enumerate(transform_N):if prob < 1.0:small.append(i)else:big.append(i)while small and big:small_idx, large_idx = small.pop(), big.pop()accept[small_idx] = transform_N[small_idx]alias[small_idx] = large_idxtransform_N[large_idx] = transform_N[large_idx] - (1 - transform_N[small_idx])if np.float32(transform_N[large_idx]) < 1.:small.append(large_idx)else:big.append(large_idx)while big:large_idx = big.pop()accept[large_idx] = 1while small:small_idx = small.pop()accept[small_idx] = 1return accept, alias
2.2 计算 Edge 的条件转移概率

这里 p,q 即为回撤概率和深度搜索概率,可以进行调节,内部 for 循环就是根据上图和 的距离进行节点间的权重生成
def get_alias_edge(G, t, v, p=1.0, q=1.0):G = Gp = pq = qunnormalized_probs = []# T -> V 对于V的邻居 nbr=T dtx=0 | 1步到位 dtx=1 | T -> V -> V-nbr dtx=2for x in G.neighbors(v):weight = G[v][x].get('weight', 1.0) # w_vxif x == t: # d_tx == 0unnormalized_probs.append(weight / p)elif G.has_edge(x, t): # d_tx == 1unnormalized_probs.append(weight)else: # d_tx = 2unnormalized_probs.append(weight / q)norm_const = sum(unnormalized_probs)normalized_probs = [float(u_prob) / norm_const for u_prob in unnormalized_probs]return create_alias_table(normalized_probs)
2.3 统一生成 Node Alias Table 和 Edge Alias Table
这里通过传入的参数 Graph 获取图的节点与边,节点直接调用 create_alias_table 制表,边则通过 get_alias_edge 加工制表
def preprocess_transition_probs(G):alias_nodes = {}for node in G.nodes():# 当前node的邻居nbr的转移概率unnormalized_probs = [G[node][nbr].get('weight', 1.0)for nbr in G.neighbors(node)]# 当前node的邻居的nbr的转移概率之和norm_const = sum(unnormalized_probs)# 当前node的邻居的nbr的归一化转移概率normalized_probs = [float(u_prob) / norm_const for u_prob in unnormalized_probs]# 获取 Accept Alias: 前者为当前方式事件I的概率 后者为另一个事件的编号alias_nodes[node] = create_alias_table(normalized_probs)alias_edges = {}for edge in G.edges():alias_edges[edge] = get_alias_edge(G, edge[0], edge[1], p=0.25, q=4)return alias_nodes, alias_edges(alias_nodes, alias_edges) = preprocess_transition_probs(G)
3.概率游走获取序列
通过前面的准备工作已经获得了点与边的转移概率,下面开始概率游走:
3-1 alias_sample 负责从 alias_table 中 O(1) 的采样
def alias_sample(accept, alias):N = len(accept)i = int(np.random.random() * N)r = np.random.random()if r < accept[i]:return ielse:return alias[i]
3-2 node2vec,铺垫了这么多,Node2walk 主要步骤都在这里,这里需要通过 walk 的长度判断是起始点还是中间点,起始点使用 alias_nodes,中间点使用 alias_edges
def node2vec_walk(G, _alias_nodes, _alias_edges, walk_length, start_node):G = G# 起始点walk = [start_node]while len(walk) < walk_length:# 获取当前nodecur = walk[-1]# 获取当前node的邻居cur_nbrs = list(G.neighbors(cur))# 如果有邻居if len(cur_nbrs) > 0:# 有邻居且当前为初始点 无顶点情况 使用alias_nodesif len(walk) == 1:walk.append(cur_nbrs[alias_sample(_alias_nodes[cur][0], _alias_nodes[cur][1])])# 有邻居且不是初始点 有顶点情况 使用alias_edgeselse:prev = walk[-2]edge = (prev, cur)next_node = cur_nbrs[alias_sample(_alias_edges[edge][0],_alias_edges[edge][1])]walk.append(next_node)else:breakreturn walk
3-3 将上述两者结合,定义 walk_length 和 迭代次数进行概率游走采样。这里定义了迭代次数 num_walks = 10,walk_length = 30,具体数值可根据实际场景调整
# 获取游走序列 Node2vecnum_walks = 10walks = []for _ in range(num_walks):random.shuffle(nodes_list)for node in nodes_list:walk = node2vec_walk(G, alias_nodes, alias_edges, 30, node)walks.append(walk)print("Node2vec Walk数目:", len(walks))# 统计游走序列去重词个数word_set = set()for walk in walks:for word in walk:word_set.add(word)print("去重大小:", len(word_set))
经过上面一系列操作,终于获取了游走序列:

4.Word2vec 训练获取向量
4-1 word2vec 训练
前面提到了使用现有库 from gensim.models import Word2Vec 直接训练,相关参数之前有过介绍,注意 gensim 版本不同 Word2vec 的参数可能有出入
# sentences: 训练语料# min_count: 最低词频# vector_size: 词嵌入维度,老版本为 size# sg: 算法选择 0-CBOW 1-skip-gram# hs: 是否使用层次softmax# workers: 训练的并行度# window: 窗口大小# epochs: 训练轮次,老版本也用为 iter,报错的话可以换一下# alpha: 学习率# sample: 采样阈值,出现次数过多的词会被采样,可以参考 softmax 采样优化的方法# cbow_mean: 0-sum 1-mean 用于 CBOW 时对上下文词向量的处理kwargs = {"sentences": walks, "min_count": 0, "vector_size": 64, "sg": 1, "hs": 0, "workers": 3, "window": 5,"epochs": 3}model = Word2Vec(**kwargs)
4-2 获取训练向量
通过模型获取向量,由于模型参数设置 min_count ,所以所有 node 都可以获取向量,实际场景中,词频较小的词可能不会获得向量表征
def get_embeddings(w2v_model, graph):count = 0invalid_word = []_embeddings = {}for word in graph.nodes():if word in w2v_model.wv:_embeddings[word] = w2v_model.wv[word]else:invalid_word.append(word)count += 1print("无效word", len(invalid_word))print("有效embedding", len(_embeddings))return _embeddingsembeddings = get_embeddings(model, G)
有兴趣也可以通过降维的方法对原始向量进行二维展示:

如果有原始数据的真实类别,可视化效果更好:

四.总结
Node2vec 相比 DeepWalk 优化了采样方式与序列生成方式,提高效率的情况下也提升了效果,这里简单介绍了使用的方法和过程,后续有时间继续盘一下 Line,SDNE,Struc2vec,EGES 等 GraphEmbedding 算法。


















