目录
分组卷积
分组卷积的矛盾——计算量
分组卷积的矛盾——特征通信
channel shuffle
ShuffleNet V1
ShuffleNet基本单元
ShuffleNet网络结构
对比实验
ShuffleNet V2
设计理念
网络结构
对比实验
分组卷积
Group convolution是将输入层的不同特征图进行分组,然后采用不同的卷积核再对各个组进行卷积,这样会降低卷积的计算量。因为一般的卷积都是在所有的输入特征图上做卷积,可以说是全通道卷积,这是一种通道密集连接方式(channel dense connection),而group convolution相比则是一种通道稀疏连接方式(channel sparse connection)。
分组卷积的矛盾——计算量
使用group convolution的网络有很多,如Xception,MobileNet,ResNeXt等。其中Xception和MobileNet采用了depthwise convolution,这是一种比较特殊的group convolution,此时分组数恰好等于通道数,意味着每个组只有一个特征图。但这些网络存在一个很大的弊端:采用了密集的1x1 pointwise convolution。
这个问题可以解决:对1x1卷积采用channel sparse connection, 即分组卷积,那样计算量就可以降下来了,但这就涉及到下面一个问题。
分组卷积的矛盾——特征通信
group convolution层另一个问题是不同组之间的特征图需要通信,否则就好像分了几个互不相干的路,大家各走各的,会降低网络的特征提取能力,这也可以解释为什么Xception,MobileNet等网络采用密集的1x1 pointwise convolution,因为要保证group convolution之后不同组的特征图之间的信息交流。
channel shuffle
为达到特征通信目的,我们不采用dense pointwise convolution,考虑其他的思路:channel shuffle。其含义就是对group convolution之后的特征图进行“重组”,这样可以保证接下了采用的group convolution其输入来自不同的组,因此信息可以在不同组之间流转。图c进一步的展示了这一过程并随机,其实是“均匀地打乱”。
ShuffleNet V1
ShuffleNet基本单元
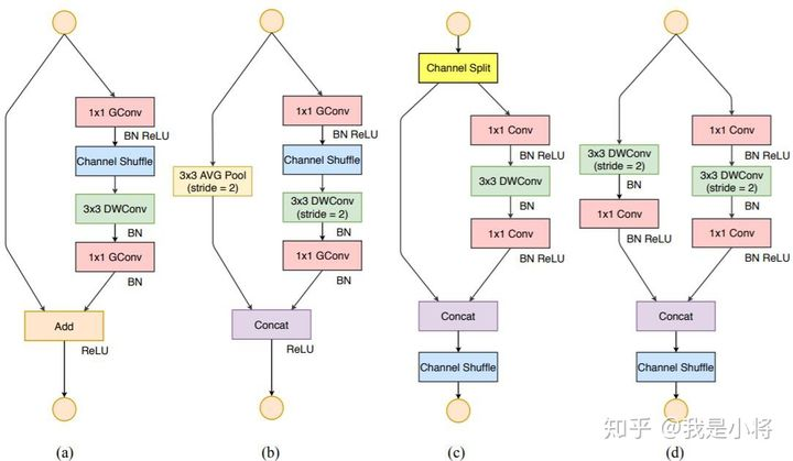
下图a展示了基本ResNet轻量级结构,这是一个包含3层的残差单元:首先是1x1卷积,然后是3x3的depthwise convolution(DWConv,主要是为了降低计算量),紧接着是1x1卷积,最后是一个短路连接,将输入直接加到输出上。
下图b展示了改进思路:将密集的1x1卷积替换成1x1的group convolution,不过在第一个1x1卷积之后增加了一个channel shuffle操作。值得注意的是3x3卷积后面没有增加channel shuffle,按paper的意思,对于这样一个残差单元,一个channel shuffle操作是足够了。还有就是3x3的depthwise convolution之后没有使用ReLU激活函数。
下图c的降采样版本,对原输入采用stride=2的3x3 avg pool,在depthwise convolution卷积处取stride=2保证两个通路shape相同,然后将得到特征图与输出进行连接而不是相加。极致的降低计算量与参数大小。
ShuffleNet网络结构
可以看到开始使用的普通的3x3的卷积和max pool层。然后是三个阶段,每个阶段都是重复堆积了几个ShuffleNet的基本单元。对于每个阶段,第一个基本单元采用的是stride=2,这样特征图width和height各降低一半,而通道数增加一倍。后面的基本单元都是stride=1,特征图和通道数都保持不变。对于基本单元来说,其中瓶颈层,就是3x3卷积层的通道数为输出通道数的1/4,这和残差单元的设计理念是一样的。
对比实验
下表给出了不同g值(分组数)的ShuffleNet在ImageNet上的实验结果。可以看到基本上当g越大时,效果越好,这是因为采用更多的分组后,在相同的计算约束下可以使用更多的通道数,或者说特征图数量增加,网络的特征提取能力增强,网络性能得到提升。注意Shuffle 1x是基准模型,而0.5x和0.25x表示的是在基准模型上将通道数缩小为原来的0.5和0.25。
除此之外,作者还对比了不采用channle shuffle和采用之后的网络性能对比,如下表的看到,采用channle shuffle之后,网络性能更好,从而证明channle shuffle的有效性。
然后是ShuffleNet与MobileNet的对比,如下表ShuffleNet不仅计算复杂度更低,而且精度更好。
ShuffleNet V2
设计理念
目前衡量模型复杂度的一个通用指标是FLOPs,具体指的是multiply-add数量,但是这却是一个间接指标,因为它不完全等同于速度。相同FLOPs的两个模型,其速度可能存在差异。这种不一致主要归结为两个原因,首先影响速度的不仅仅是FLOPs,如内存使用量(memory access cost, MAC),这不能忽略,对于GPUs来说可能会是瓶颈。另外模型的并行程度也影响速度,并行度高的模型速度相对更快。另外一个原因,模型在不同平台上的运行速度是有差异的,如GPU和ARM,而且采用不同的库也会有影响。
据此,作者在特定的平台下研究ShuffleNetv1和MobileNetv2的运行时间,并结合理论与实验得到了4条实用的指导原则:
- 同等输入个输出通道数能最小化内存访问量
- (G2)过量使用组卷积会增加MAC
- (G3)网络碎片化会降低并行度 一些网络如Inception,以及Auto ML自动产生的网络NASNET-A,它们倾向于采用“多路”结构,即存在一个lock中很多不同的小卷积或者pooling,这很容易造成网络碎片化,减低模型的并行度,相应速度会慢,这也可以通过实验得到证明。
- (G4)不能忽略元素级操作 对于元素级(element-wise operators)比如ReLU和Add,虽然它们的FLOPs较小,但是却需要较大的MAC。这里实验发现如果将ResNet中残差单元中的ReLU和shortcut移除的话,速度有20%的提升。
上面4条指导准则总结如下:
- 1x1卷积进行平衡输入和输出的通道大小;
- 组卷积要谨慎使用,注意分组数;
- 避免网络的碎片化;
- 减少元素级运算。
网络结构
根据前面的4条准则,作者分析了ShuffleNetv1设计的不足,并在此基础上改进得到了ShuffleNetv2,两者模块上的对比如下图所示:
在ShuffleNetv1的模块中,大量使用了1x1组卷积,这违背了G2原则,另外v1采用了类似ResNet中的瓶颈层(bottleneck layer),输入和输出通道数不同,这违背了G1原则。同时使用过多的组,也违背了G3原则。短路连接中存在大量的元素级Add运算,这违背了G4原则。
为了改善v1的缺陷,v2版本引入了一种新的运算:channel split。具体来说,在开始时先将输入特征图在通道维度分成两个分支:通道数分别为 c-c'和 c'.实际实现时 。左边分支做同等映射(即不改变,直接和后面层concat);右边的分支包含3个连续的卷积,并且输入和输出通道相同,这符合G1。而且两个1x1卷积不再是组卷积,这符合G2,另外两个分支相当于已经分成两组。两个分支的输出不再是Add元素,而是concat在一起,紧接着是对两个分支concat结果进行channle shuffle,以保证两个分支信息交流。其实concat和channel shuffle可以和下一个模块单元的channel split合成一个元素级运算,这符合原则G4。
对于下采样模块,不再有channel split,而是每个分支都是直接copy一份输入,每个分支都有stride=2的下采样,最后concat在一起后,特征图空间大小减半,但是通道数翻倍。
ShuffleNetv2的整体结构如表2所示,基本与v1类似,其中设定每个block的channel数,如0.5x,1x,可以调整模型的复杂度。
值得注意的一点是,v2在全局pooling之前增加了个conv5卷积,这是与v1的一个区别。
对比实验
最终的模型在ImageNet上的分类效果如表3所示:
可以看到,在同等条件下,ShuffleNetv2相比其他模型速度稍快,而且准确度也稍好一点。同时作者还设计了大的ShuffleNetv2网络,相比ResNet结构,其效果照样具有竞争力。
从一定程度上说,ShuffleNetv2借鉴了DenseNet网络,把shortcut结构从Add换成了Concat,这实现了特征重用。但是不同于DenseNet,v2并不是密集地concat,而且concat之后有channel shuffle以混合特征,这或许是v2即快又好的一个重要原因。
参考:
『高性能模型』轻量级网络ShuffleNet_v1及v2
ShuffleNetV2:轻量级CNN网络中的桂冠


















