目录
一个引言
定义
确定性时间序列分析方法概述
确定性时间序列模型类型
移动平均法
简单移动平均法
加权移动平均法
趋势移动平均法
指数平滑法
一次指数平滑法
1.预测模型编辑
2.加权系数的选择编辑
3.初始值的确定编辑
二次指数平滑法编辑
三次指数平滑法编辑
指数平滑预测模型的评价
一般自回归模型 AR(n)
白噪声序列编辑
移动平均模型 MA(m)编辑
自回归移动平均模型编辑
ARMA 模型的特性
AR(1)系统的格林函数
ARMA (2,1)系统的格林函数 的隐式 编辑
逆函数和可逆性 编辑
一个引言
时间序列是时间间隔不变的情况下收集的时间点集合。分析这些集合来确定长期趋势,为了预测未来或进行其他形式的分析。但是什么使Time Series不同于常规回归问题呢?有两个原因:
1. 时间序列是与时间有关的。因此线性模型的基础假设:观察值是独立的是不适应这个场景的。
2. 伴随着增加和减少的趋势,大多数时间序列会存在季节性趋势,比如,特定时间的特定变化。例如,如果你看到羊毛夹克随时间变化的销量,你一定会发现冬季的销量会很高。
定义
时间序列是按时间顺序排列的、随时间变化且相互关联的数据序列。分析时间序 列的方法构成数据分析的一个重要领域,即时间序列分析。 时间序列根据所研究的依据不同,可有不同的分类。
按 研究对象的数量,有 一元时间序列 和 多元时间序列
按 时间的连续性,有 离散时间序列 和 连续时间序列
按 序列的统计特性,有 平稳时间序列 和 非平稳时间序列。如果一个时间序列的概率分布与时间t无关,则称该序列为严格的(狭义的)平稳时间序列。如果序列的一、二阶矩存在,而且对任意时刻t满足:
(1)均值为常数
(2)协方差为时间间隔γ的函数,则称该序列为宽平稳时间序列,也叫广义平稳时间序列。
按 时间序列的分布规律 来分, 有高斯型时间序列和非高斯型时间序列。
确定性时间序列分析方法概述
时间序列预测技术是通过对预测目标自身时间序列的处理,从而研究其变化趋势。一个时间序列往往是以下几类变化形式的叠加或耦合。我们常认为一个时间序列可以分解为以下四大部分:
(1)长期趋势变动(T)。指时间序列朝着一定的方向持续上升或下降,或停留在 某一水平上的倾向,它反映了客观事物的主要变化趋势。
(2)季节变动(S)。在一年内随着季节的变化而发生的有规律的周期性变动。
(3)循环变动(C)。通常是指周期为一年以上,由非季节因素引起的涨落起伏波形相似的波动。
(4)不规则变动(I)。是一种无规律可循的变动,包括严格的随机变动和不规则的突发性影响很大的变动两种模型。
确定性时间序列模型类型
我们通常用表示长期趋势项,
表示季节变动趋势项,
表示循环变动趋势项,
表示随机干扰项。常见的确定性时间序列模型有以下几种类型:
(1)加法模型
(2)乘法模型
(3)混合模型
其中是观测目标的观测记录,
,
。如果在预测时间范围内,无突然变动且随机变动的方差
较小,并且有理由认为过去和现在的演变趋势将继续发展到未来时,可用一些经验方法进行预测。
移动平均法
移动平均法(Moving average,MA) 可以作为一种数据平滑的方式 ,以每天的气温数据为例,今天的天气可能与过去的十天的气温有线性关系;或者有的人对食物有一种节俭的美德,他们做的饭菜能看出有些是上一顿的,当然也有一部分是今天的做的,再假设隔两顿的都被倒掉了,并且每天都是这样的,那么这碗饭菜可能就是一部分上一顿的再加上一部分今天现做的,这就是一个一阶的移动平均。
移动平均法是根据时间序列资料逐渐推移,依次计算包含一定项数的时序平均数, 以反映长期趋势的方法。当时间序列的数值由于受周期变动和不规则变动的影响,起伏 较大,不易显示出发展趋势时,可用移动平均法,消除这些因素的影响,分析、预测序列的长期趋势。 移动平均法有简单移动平均法,加权移动平均法,趋势移动平均法等。
简单移动平均法
近N 期序列值的平均值作为未来各期的预测结果。一般 N 的取值范围: 5≤N≤ 200。当历史序列的基本趋势变化不大且序列中随机变动成分较多时,N 的 取值应较大一些。否则 N 的取值应小一些。在有确定的季节变动周期的资料中,移动平均的项数应取周期长度。选择佳 N 值的一个有效方法是,比较若干模型的预测误 差。预测标准误差小者为好。
简单移动平均法只适合做近期预测,而且是预测目标的发展趋势变化不大的情况。 如果目标的发展趋势存在其它的变化,采用简单移动平均法就会产生较大的预测偏差和滞后。
加权移动平均法
在简单移动平均公式中,每期数据在求平均时的作用是等同的。但是,每期数据所包含的信息量不一样,近期数据包含着更多关于未来情况的信心。因此,把各期数据等同看待是不尽合理的,应考虑各期数据的重要性,对近期数据给予较大的权重,这就 是加权移动平均法的基本思想。
例 2 我国 1979~1988 年原煤产量如表 2 所示,试用加权移动平均法预测 1989 年 的产量
趋势移动平均法
简单移动平均法和加权移动平均法,在时间序列没有明显的趋势变动时,能够准确 反映实际情况。但当时间序列出现直线增加或减少的变动趋势时,用简单移动平均法和 加权移动平均法来预测就会出现滞后偏差。因此,需要进行修正,修正的方法是作二次 移动平均,利用移动平均滞后偏差的规律来建立直线趋势的预测模型。这就是趋势移动平均法。 一次移动的平均数为
例 3 我国 1965~1985 年的发电总量如表 3 所示,试预测 1986 年和 1987 年的发 电总量。
解 由散点图 1 可以看出,发电总量基本呈直线上升趋势,可用趋势移动平均法 来预测。
指数平滑法
一次指数平滑法
1.预测模型
2.加权系数的选择
3.初始值的确定
例 4 某市 1976~1987 年某种电器销售额如表 4 所示。试预测 1988 年该电器销售 额。
二次指数平滑法
例 5 仍以例 3 我国 1965~1985 年的发电总量资料为例,试用二次指数平滑法预 测 1986 年和 1987 年的发电总量
三次指数平滑法
例 6 某省 1978~1988 年全民所有制单位固定资产投资总额如表 7 所示,试预测 1989 年和 1990 年固定资产投资总额。
指数平滑预测模型的评价
指数平滑预测模型是以时刻t为起点,综合历史序列的信息,对未来进行预测的。 选择合适的加权系数 α 是提高预测精度的关键环节。根据实践经验, α 的取值范围一 般以 0.1~0.3 为宜。 α 值愈大,加权系数序列衰减速度愈快,所以实际上 α 取值大小 起着控制参加平均的历史数据的个数的作用。 α 值愈大意味着采用的数据愈少。因此, 可以得到选择 α 值的一些基本准则。
(1)如果序列的基本趋势比较稳,预测偏差由随机因素造成,则 α 值应取小一些, 以减少修正幅度,使预测模型能包含更多历史数据的信息。
(2)如果预测目标的基本趋势已发生系统地变化,则 α 值应取得大一些。这样, 可以偏重新数据的信息对原模型进行大幅度修正,以使预测模型适应预测目标的新变 化。
一般自回归模型 AR(n)
白噪声序列
移动平均模型 MA(m)
自回归移动平均模型
ARMA 模型的特性
在时间序列的时域分析中,线性差分方程是极为有效的工具。事实上,任何一个 ARMA 模型都是一个线性差分方程。
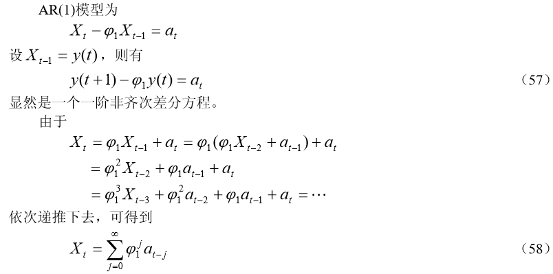
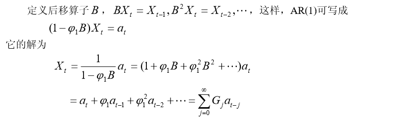
AR(1)系统的格林函数
格林函数就是描述系统记忆扰动程度的函数。
由于格林函数就是差分方程解的系数函数,格林函数的意义可概括如下:
ARMA (2,1)系统的格林函数 的隐式
逆函数和可逆性
————————————————
版权声明:本文为CSDN博主「wamg潇潇」的原创文章,遵循CC 4.0 BY-SA版权协议,转载请附上原文出处链接及本声明。
原文链接:https://blog.csdn.net/qq_29831163/article/details/89448959