MASK RCNN 之RPN

article/2025/10/11 14:00:41

一、RPN网络

1.1 网络结构

RPN结构图

1.2 Anchor锚框生成规则

基于上一步得到的特征图[P2,P3,P4,P5,P6],介绍下MASKRCNN网络中Anchor锚框的生成,根据源码中介绍的规则,与之前的Faster-RCNN中的生成规则有一点差别。

  1. ①遍历P2到P6这五个特征层,以每个特征图上的每个像素点都生成Anchor锚框
  2. ②以P2层为例,P2层的特征图大小为256*256,相对于原图的步长为4,这样P2上的每个像素点都可以生成一个基于坐标数组[0,0,3,3]即4*4面积为16大小的Anchor锚框,当然,可以设置一个比例SCALE,将这个基础的锚框放大或者缩小,比如,这里设置P2层对应的缩放比例为16,那边生成的锚框大小就是长和宽都扩大16倍,从4*4变成64*64,面积从16变成4096,当然在保证面积不变的前提下,长宽比可以变换为32*128、64*64或128*32,这样以长、宽比率RATIO=[0.5,1,2]完成了三种变换,这样一个像素点都可以生成3个Anchor锚框。在Faster-RCNN中可以将SCALE也可以设置为多个值,而在MASKRCNN中则是每一特征层只对应着一个SCALE即对应着上述所设置的16。
  3. ③以P2层每个像素点位中心,对应到原图上,则可生成256*256*3(长宽三种变换)=196608个锚框
  4. ④以P3层每个像素点为中心,对应到原图上,则可生成128*128*3=49152个锚框
  5. ⑤以P4层每个像素点为中心,对应到原图上,则可生成64*64*3=12288个锚框
  6. ⑥以P5层每个像素点为中心,对应到原图上,则生成32*32*3=3072个锚框
  7. ⑦以P6层每个像素点为中心,对应到原图上,则生成16*16*3=768个锚框

从P2到P6层一共可以在原图上生成261888个Anchor锚框

1.3 生成RPN网络数据集

1.3.1 建立RPN网络训练时的正样本与负样本

在上一步已经生成了26188个Anchor锚框,需要借助这些Anchors建立RPN网络训练时的正类和负类,

假设每个图片中需要的正样本与负样本共计256个Anchor,即RPN_TRAIN_ANCHORS_PER_IMAGE这个参数所指定。源码中这步操作由以下几方面构成:

  1. 先找到所有真实框中那些同时框住了多个物体的框,并排除掉
  2. 计算每个Anchors与该图片上标注的真实框ground truth之间的IOU
  •  如果anchor box与ground truth的IoU值最大,标记为正样本,label=1
  •  如果anchor box与ground truth的IoU>0.7,标记为正样本,label=1
  • 如果anchor box与ground truth的IoU<0.3,标记为负样本,label= - 1
  • 剩下的既不是正样本也不是负样本,不用于最终训练,label=0

同时,保证正样本为128个,负样本为128个

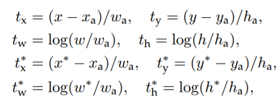
1.3.2 计算anchor box与ground truth之间的偏移量

除了对anchor box进行标记外,另一件事情就是计算anchor box与ground truth之间的偏移量

令:

  • ground truth:标定的框也对应一个中心点位置坐标x*,y*和宽高w*,h*
  • anchor box:中心点位置坐标x_a,y_a和宽高w_a,h_a

 所以,偏移量:

△x=(x*-x_a)/w_a   △y=(y*-y_a)/h_a 

△w=log(w*/w_a)   △h=log(h*/h_a)

 什么是IoU:

这样,经过这一步,共找到128个Anchor作为正样本和128个Anchor作为负样本, 同时,保存了这256个Anchor与真实框ground truth之间的偏移量

1.4 RPN网络的分类与回归

1.4.1 前向传播计算分类得分(概率)和坐标点偏移量

RPN网络在分类和回归的时候,分别将每一层的每一个Anchor分为背景和前景两类,以及回归四个位移量,比如P2层,特征图大小为256*256,即像素点有256*256个,每个像素点有三种长宽比例变换,一共有256*256*3个Anchor,如果是分类则需要分别计算每个Anchor为前景的得分(概率)或为背景的得分(概率),其数组可定义为[256*256*3,2],相应的如果是偏移量的回归则数组对应着形式为[256*256*3,4]

将从P2到P6的所有层进行同样的分类和回归操作,一共得到[261888,2]的分类信息和[261888,4]的回归信息。

1.4.2 计算RPN网络损失值反向传播更新权重

在‘1.3.1 生成RPN网络数据集’这一步,在261888个Anchors中获得了256个正负样本且与真实框的偏移量。

1、分类

从前向传播计算得到的所有Anchors得分数组中即上面所述的[261888,2]数组中找到这256个正样本和负样本所对应的得分,利用得分与正负样本的标签计算交叉熵损失值。

RPN分类使用的是基于Softmax函数的交叉熵损失函数,Softmax函数只要是将前向传播计算的得分归一化到0~1之间的概率值,同时,经过Softmax函数后,也可以保证各个分类的概率不会出现负数

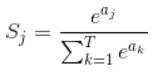
Softmax函数公式:

  

其中,表示类别j经过网络前向传播计算出来的得分, 表示类别j经过Softmax函数后换算得到的概率

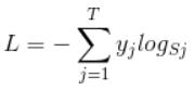
基于Softmax的交叉熵公式:

 

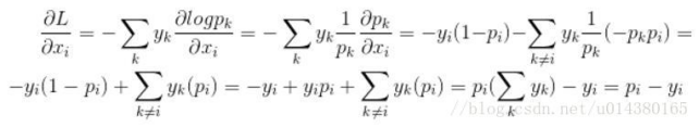
其中,表示的是真实标签,表示概率,下面用代替来表示概率,看下L的求导结果:

 

因此假设一个5分类任务,一张图像经过Softmax层后得到的概率向量p是[0.1,0.2,0.25,0.4,0.05],真实标签y是[0,0,1,0,0],那么损失回传时该层得到的梯度就是p-y=[0.1,0.2,-0.75,0.4,0.05]。这个梯度就指导网络在下一次forward的时候更新该层的权重参数

2、回归

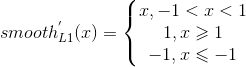
从前向传播计算得到的所有Anchors偏移量数组中即上面所述的[261888,4]数组中找到这128个正样本所在索引对应的偏移量,利用此前向传播计算得到的偏移量与正样本与真实框之间计算的偏移量计算损失值,使用的是SmoothL1Loss

SmoothL1函数:

  

对应的损失函数:

其中,

分别表示由前向传播计算的预测框的坐标值,Anchor锚框对应的坐标值,真实框对应的坐标值

SmoothL1函数的求导:

 

将预测框与真实框偏移量之间的差值带入上述公式后可得到损失函数求导后的结果,用此更新权重实现反向传播

1.5 根据RPN调整生成ROI

这一部分对应着总网络图中的ProposalLayer层,取出一定量的Anchors作为ROI,这个量由源码中参数POST_NMS_ROIS_TRAINING确定,假设这个参数在训练的时候设置为2000,则我们这里需要从261888个Anchors中取出2000个作为ROI

首先,按照Anchors经过RPN网络前向传播计算得出的前景(或称为正样本)的得分从高到低排序,取出前2000个得分最高的Anchors,相对应的将2000个Anchors经RPN网络前向传播计算出的偏移量累加到Anchor box上得到较为准确的box坐标。

其中,红色的A框是生成的anchor box,而蓝色的G’框就是经过RPN网络训练后得到的较精确的预测框,绿色的G是ground truth box

最后在返回前,对2000个框再进行一次非最大值抑制NMS操作

用下图一个案例来对NMS算法进行简单介绍

上图所示,一共有6个识别为人的框,每一个框有一个置信率。 
现在需要消除多余的:

  • 按置信率排序: 0.95, 0.9, 0.9, 0.8, 0.7, 0.7
  • 取最大0.95的框为一个物体框
  • 剩余5个框中,去掉与0.95框重叠率IoU大于0.6(可以另行设置),则保留0.9, 0.8, 0.7三个框
  • 重复上面的步骤,直到没有框了,0.9为一个框
  • 选出来的为: 0.95, 0.9

进行非最大值抑制的目的主要是需要剔除掉重复的框,如果经过非最大值抑制操作后得到的ROI没有事先代码中设定的2000个,则用0填充。

1.6 生成RCNN网络数据集(就是FPN)

这一部分对应着总网络图中的DetectionTargetLayer层

在经过ProposalLayer层之后得到了2000个经过微调后的ROI(建议框box),而在DetectionTargetLayer需要对2000个ROI做以下几步:

1、首先剔除掉2000个ROI中不符合条件的ROI,主要是在ProposalLayer层最后返回的时候如果不足2000个会用0填充凑足,将这些用0填充的全部排除掉,避免参与不必要的计算

2、DetectionTargetLayer中会用到图片中的真实框信息,所以,在使用之前同样将所有真实框中那些同时框住了多个物体的框,并排除掉

3、计算每个ROI与真实框之间的IOU值

  • 如果ROI与ground truth的IoU>0.5,标记为正样本
  • 如果ROI与ground truth的IoU<0.5,标记为负样本
  • 假定正样本个数只保留到100个,而负样本一般保持是正样本数的3倍,正负样本总数则就可以达到400个,这个400可有配置文件中TRAIN_ROIS_PER_IMAGE参数确定

4、对于每个正样本,进一步计算与其相交最大即最接近的真实框ground truth box,将这个真实框所对应的类别即class_id赋予这个正样本,这样RCNN网络就可以区分具体哪个类别

5、同样,计算每个正样本ROI与最接近的真实框ground truth box之间的偏移量,这RPN中的计算公式一样

6、RCNN网络还需要保存与每个正样本ROI最接近的真实框ground truth box的mask掩码信息,并且知道每个mask大小为参数MASK_SHAPE所指定,一般为28*28,同时知道其所属于的类别即class_id,进行保存

7、最后DetectionTargetLayer层返回400个正、负样本,400个位移偏移量(其中300个由0填充),400个掩码mask信息(其中300个由0填充)

1.7 ROI 对齐操作

通过DetectionTargetLayer层,在原图上找到400个ROI,因为这些ROI可能是有各个特征层产生的Anchor,所以,现在需要将这些ROI映射回特征图上

第一步,我们需要知道每个ROI如何和特征层对应上,论文中提到的方法是利用下面的公式:

对于公式而言:w,h分别表示ROI宽度和高度;k是这个RoI应属于的特征层level; 是w,h=224,224时映射的level,一般取为4,即对应着P4,至于为什么使用224,一般解释为是因为这是ImageNet的标准图片大小,比如现在有一个ROI是112*112,则利用公式可以计算得到k=3,即P3层

第二步,开始讨论对齐的方式

当完成每个ROI能找到其对应的特征层后,就同样可以算出其对应的步长,步长只要用于解释ROI Align的原理,论文中提到的ROI Align,这个方法的思路:

①使用每个ROI的长、宽除以步长,得到ROI映射到特征图上的图片大小,比如ROI为113*113,对应P3层,步长为8,则在特征图上的感兴趣区域则为14.13*14.13

②如果要将特征图上的感兴趣区域对齐到7*7,则需要将14.13*14.13这个区域分成49份,每一份的大小为:2.02*2.02

③再将每个2.02*2.02的小区域,平分四份,每一份取其中心点位置,而中心点位置的像素,采用双线性插值法进行计算,这样,就会得到四个点的像素值,取四个像素值中最大值作为这个小区域(即:2.02*2.02大小的区域)的像素值,如此类推,同样是49个小区域得到49个像素值,组成7*7大小的feature map

以上介绍的是论文中的ROI Align方法,但是在这篇博文开头提供的代码链接中的源码并不是这样处理的。对于ROI映射到特征图上的方法是一样的,但当每个ROI找到对应的特征层厚,直接利用Crop and Resize操作,生成7*7大小的feature map

Mask掩码分支则是对齐成14*14大小的feature map

 Mask-RCNN中提出了一个新的idea就是RoIAlign,其实RoIAlign就是在RoI pooling上稍微改动过来的,但是为什么在模型中不能使用RoI pooling呢?现在我们来直观的解释一下。

    图13. RoIAlign与RoIpooling对比

        可以看出来在RoI pooling中出现了两次的取整,虽然在feature maps上取整看起来只是小数级别的数,但是当把feature map还原到原图上时就会出现很大的偏差,比如第一次的取整是舍去了0.78,还原到原图时是0.78*32=25,第一次取整就存在了25个像素点的偏差,在第二次的取整后的偏差更加的大。对于分类和物体检测来说可能这不是一个很大的误差,但是对于实例分割而言,这是一个非常大的偏差,因为mask出现没对齐的话在视觉上是很明显的。而RoIAlign的提出就是为了解决这个问题,解决不对齐的问题。

        RoIAlign的思想其实很简单,就是取消了取整的这种粗暴做法,而是通过双线性插值(听我师姐说好像有一篇论文用到了积分,而且性能得到了一定的提高)来得到固定四个点坐标的像素值,从而使得不连续的操作变得连续起来,返回到原图的时候误差也就更加的小。

        1.划分7*7的bin(可以直接精确的映射到feature map上来划分bin,不用第一次ROI的量化)

图14. ROI分割7*7的bin

        2.接着是对每一个bin中进行双线性插值,得到四个点(在论文中也说到过插值一个点的效果其实和四个点的效果是一样的,在代码中作者为了方便也就采用了插值一个点)

图15.插值示意图

        3.通过插完值之后再进行max pooling得到最终的7*7的ROI,即完成了RoIAlign的过程。是不是觉得大佬提出来的高大上名字的方法还是挺简单的。

ROI Align (线性插值)

假设我们已知坐标 (x0, y0) 与 (x1, y1),要得到 [x0, x1] 区间内某一位置 x 在直线上的值。根据图中所示,我们得到

\frac{y - y_0}{x - x_0} = \frac{y_1 - y_0}{x_1 - x_0}

由于 x 值已知,所以可以从公式得到 y 的值

y = y_0 + (x-x_0)\frac{y_1 - y_0}{x_1-x_0} = y_0 + \frac{(x-x_0) y_1 - (x-x_0) y_0}{x_1-x_0}

已知 y 求 x 的过程与以上过程相同,只是 x 与 y 要进行交换。

Linear interpolation.png

双线性差值

即做三次线性插值 R1,R2,P

https://zh.wikipedia.org/wiki/%E5%8F%8C%E7%BA%BF%E6%80%A7%E6%8F%92%E5%80%BC

具体流程

如下图所示,虚线部分表示feature map,实线表示ROI,这里将ROI切分成2×2的单元格。

  • 如果采样点数是4,那我们首先将每个单元格子均分成四个小方格(如红色线所示),每个小方格中心就是采样点。
  • 这些采样点的坐标通常是浮点数,所以需要对采样点像素进行双线性插值(如四个箭头所示),就可以得到该像素点的值了。
  • 然后对每个单元格内的四个采样点进行maxpooling,就可以得到最终的ROIAlign的结果。

Pooling 池化

要做2×2的最大池化,原Roi是5×7的,那么无法均分:

h方向: 5/2 = 2 (2,3)

w方向:7/2 = 3 (3,4)

output

1.8 RCNN网络的类别分类、回归、mask掩码分类

①RCNN网络的类别分类和回归与RPN网络中的分类和回归是一样的,损失函数也都是基于Softmax交叉熵和SmoothL1Loss,只是RPN网络中只分前景(正类)、背景(负类),而RCNN网络中的分类是要具体到某个类别(多类别分类)

②mask掩码分类

在ROI 对齐操作中mask分支对齐成14*14大小的feature map,并且在‘生成RCNN网络数据集’操作中知道每个正样本mask掩码区域对应的class_id

i) 前向传播:将14*14大小feature map通过反卷积变换为[28*28*num_class],即每个类别对应一个mask区域,称之为预测mask

ii) 与‘生成RCNN网络数据集’操作中的返回的mask也是28*28,并且知道每个mask区域的真实类别class_id,称之为真实mask

iii) 通过当前得到的真实mask中的类别class_id,遍历所有的预测mask,找到class_id类别所对应的预测mask(前向传播中介绍过每个类别都有一个预测mask),比较真实mask与预测mask每个像素点信息,用的是binary_cross_entropy二分类交叉熵损失函数

iv) binary_cross_entropy是二分类的交叉熵,实际是多分类softmax_cross_entropy的一种特殊情况,当多分类中,类别只有两类时,即0或者1,因为28*28大小的mask中只有0和1,即是像素和不是像素

这个是针对概率之间的损失函数,你会发现只有(预测概率)和(真实标签)是相等时,loss才为0,否则loss就是为一个正数。而且,概率相差越大,loss就越大,根据Loss值更改权重实现反向传播

二、rpn_graph 代码 

        rpn = build_rpn_model(config.RPN_ANCHOR_STRIDE, # 1len(config.RPN_ANCHOR_RATIOS), config.TOP_DOWN_PYRAMID_SIZE) # 3, 256
def build_rpn_model(anchor_stride, anchors_per_location, depth): #1,3,256input_feature_map = KL.Input(shape=[None, None, depth],name="input_rpn_feature_map")outputs = rpn_graph(input_feature_map, anchors_per_location, anchor_stride) # (?,?,?,256),3,1  ||||||  [(?,?,2),(?,?,2),(?,?,4)]return KM.Model([input_feature_map], outputs, name="rpn_model")

rpn_graph 

def rpn_graph(feature_map, anchors_per_location, anchor_stride): # (?,?,?,256),3,1"""Builds the computation graph of Region Proposal Network.feature_map: backbone features [batch, height, width, depth]anchors_per_location: number of anchors per pixel in the feature mapanchor_stride: Controls the density of anchors. Typically 1 (anchors forevery pixel in the feature map), or 2 (every other pixel).Returns:rpn_class_logits: [batch, H * W * anchors_per_location, 2] Anchor classifier logits (before softmax)rpn_probs: [batch, H * W * anchors_per_location, 2] Anchor classifier probabilities.rpn_bbox: [batch, H * W * anchors_per_location, (dy, dx, log(dh), log(dw))] Deltas to beapplied to anchors."""# TODO: check if stride of 2 causes alignment issues if the feature map# is not even.# Shared convolutional base of the RPNshared = KL.Conv2D(512, (3, 3), padding='same', activation='relu',strides=anchor_stride,name='rpn_conv_shared')(feature_map)# Anchor Score. [batch, height, width, anchors per location * 2].x = KL.Conv2D(2 * anchors_per_location, (1, 1), padding='valid',activation='linear', name='rpn_class_raw')(shared)# Reshape to [batch, anchors, 2]rpn_class_logits = KL.Lambda(lambda t: tf.reshape(t, [tf.shape(t)[0], -1, 2]))(x)  #[batch, H * W * anchors_per_location, 2]# Softmax on last dimension of BG/FG.rpn_probs = KL.Activation("softmax", name="rpn_class_xxx")(rpn_class_logits)# Bounding box refinement. [batch, H, W, anchors per location * depth]# where depth is [x, y, log(w), log(h)]x = KL.Conv2D(anchors_per_location * 4, (1, 1), padding="valid",activation='linear', name='rpn_bbox_pred')(shared)# Reshape to [batch, anchors, 4]rpn_bbox = KL.Lambda(lambda t: tf.reshape(t, [tf.shape(t)[0], -1, 4]))(x) #[batch, H * W * anchors_per_location, 4]return [rpn_class_logits, rpn_probs, rpn_bbox]

 三、rpn_graph 分析

rpn_graph 看输入参数:

feature_map:上篇博客得到的rpn_feature_maps = [P2, P3, P4, P5, P6]中的特种图,一个一个的被送进rpn_graph中

anchors_per_location:3

anchor_stride:1

这里以P2为例,所以feature_map为(1,256,256,256)。

图中有误,第二个Conv,o=6..应该o=12,是filtes=12

从上图可以看出rpn_graph共返回rpn_class_logits、rpn_probs、rpn_bbox。P2的形状已经在上图中显示,其他P3、P4、P5、P6以此类推,将得到如下表格:

rpn_class_logitsrpn_probsrpn_bbox
P2(1,256*256*3,2)(1,256*256*3,2)(1,256*256*3,4)
P3(1,128*128*3,2)(1,128*128*3,2)(1,128*128*3,4)
P4(1,64*64*3,2)(1,64*64*3,2)(1,64*64*3,4)
P5(1,32*32*3,2)(1,32*32*3,2)(1,32*32*3,4)
P6(1,16*16*3,2)(1,16*16*3,2)(1,16*16*3,4)

当返回到build_rpn_model函数中时,不难看出进行了新模型的构建,输入就是特征图,输出就是对应的[rpn_class_logits,rpn_probs,rpn_bbox]。

rpn_class_logits:形状为(1,261888,2);

rpn_class:形状为(1,261888,2),经过了softmax;

rpn_bbox:形状为(1,261888,4)。

这里的261888=256*256*3+128*128*3+64*64*3+32*32*3+16*16*3。

四、代码说明

模拟 rpn_feature_maps数据的处理,最终得到rpn_class_logits, rpn_class, rpn_bbox

import numpy as np
‘‘‘
层与层之间主要是中间变量H与W不一致,则此处模拟2层,分别改为8与4
‘‘‘
# 模拟某层,如p3
a1=np.ones((3,8,2)) # rpn_class_logits
b1=np.ones((3,8,2)) # rpn_class
c1=np.ones((3,8,4)) # rpn_bbox
# 模拟某层,如p4
a2=np.ones((3,4,2)) # rpn_class_logits
b2=np.ones((3,4,2)) #rpn_class
c2=np.ones((3,4,4)) #rpn_bbox
layer_outputs = []
‘‘‘        
以下模拟此处代码,得到layer_outputs:
for p in rpn_feature_maps:
layer_outputs.append(rpn([p]))
‘‘‘
d1=[a1,b1,c1]
d2=[a2,b2,c2]
layer_outputs.append(d1)
layer_outputs.append(d2)
‘‘‘
outputs = list(zip(*layer_outputs))
‘‘‘
output_names = ["rpn_class_logits", "rpn_class", "rpn_bbox"] #  可跳过
outputs = list(zip(*layer_outputs))
print(‘outputs‘,outputs)
‘‘‘
此处模拟以下代码,最终得到rpn_class_logits, rpn_class, rpn_bbox值
outputs = [KL.Concatenate(axis=1, name=n)(list(o)) for o, n in zip(outputs, output_names)]
‘‘‘
rpn_class_logits = np.concatenate((list(outputs[0])[0],list( outputs[0])[1]),axis=1)
print(‘rpn_class_logits=‘,rpn_class_logits)
rpn_class = np.concatenate((list(outputs[1])[0],list( outputs[1])[1]),axis=1)
print(‘rpn_class=‘,rpn_class)
rpn_bbox=np.concatenate((list(outputs[2])[0],list( outputs[2])[1]),axis=1)
print(‘rpn_bbox=‘,rpn_bbox)

看跟踪输出

test1=list(zip(outputs, output_names))
print('Test',test1)for o,n in zip(outputs, output_names):print('o1',o)print('n1',n)

		outputs=[[a1, a2, a3 ...], [b1, b2, b3,...], [c1, c2, c3,...]]outputs =[t0,t1,t2] 列表有三个元素,每个元素是一个元组,t0=[logits256,logits64,logits32,logits16]t1=[rpn_probs256,rpn_probs64,rpn_probs32,rpn_probs16]t2=[rpn_bbox256,rpn_bbox64,rpn_bbox32,rpn_bbox16]list(zip(outputs, output_names))返回三个元素,[[t0,'rpn_class_logits'],[t1,'rpn_class'],[t02'rpn_bbox']]o_0 [t0]  list(o) = [logits256,logits64,logits32,logits16]o_1 [t1]  list(o) = [rpn_probs256,rpn_probs64,rpn_probs32,rpn_probs16]o_2 [t2]  list(o) = [rpn_bbox256,rpn_bbox64,rpn_bbox32,rpn_bbox16]KL.Concatenate(axis=1, name=n)(list(o)) 相当于KL.Concatenate(axis=1, name=n)([logits256,logits64,logits32,logits16])


http://chatgpt.dhexx.cn/article/G5VD2eTQ.shtml

相关文章

FasterRCNN_rpn

本文代码来自于https://github.com/bubbliiiing/faster-rcnn-pytorch,b站视频https://www.bilibili.com/video/BV1BK41157Vs?p1,本文仅作学习使用 FasterRCNN整体的网络构造 class FasterRCNN(nn.Module):def __init__(self, num_classes, mode "training",feat_…

RPN网络讲解

讲完了anchor机制&#xff0c;接下来我们讲RPN(region proposal network)区域候选网络&#xff0c;它的作用是为了得到候选框。 先看以下内容&#xff1a; faster rcnn结构及代码讲解 原理解释 Feature Map进入RPN后&#xff0c;先经过一次33的卷积&#xff0c;同样&#xff…

RPN架构及其PyTorch实现

RPN&#xff08;Region Proposal Network&#xff09; 引言RPN架构RPNAnchor 生成Proposals 的选择loss 的计算FPN for RPNRPN网络对于正负样本的选择 FPN for Fast R-CNN RPN架构及其Pytorch实现基于RPN产生~20k个候选框~20k个候选框(1)&#xff1a;RPN~20k个候选框(2)&#x…

RPN 模型简要介绍

概述 本文介绍了 Faster R-CNN 目标检测模型中提出的图像候选框提取模型—— RPN 模型&#xff0c;这是一种区域生成网络&#xff0c;结构简单嵌入方便&#xff0c;极大加快了目标检测模型的运行速度&#xff0c;使目标检测模型真正融合到同一个神经网络内&#xff0c;对之后影…

RPN网络代码解读

1. 说在前面的话 在目标检测领域Faster RCNN可以说是无人不知无人不晓,它里面有一个网络结构RPN(Region Proposal Network)用于在特征图上产生候选预测区域。但是呢,这个网络结构具体是怎么工作的呢?网上有很多种解释,但是都是云里雾里的,还是直接撸代码来得直接,这里…

Siam-RPN

Siam-RPN 1. 研究动机&#xff1a; 在Siam-FC中&#xff0c;作者提出的算法首次将孪生网络引入了目标跟踪的领域&#xff0c;实现了端到端的训练&#xff0c;它是一个兼容了速度和精度的算法&#xff0c;在3个尺度变换和5个尺度变换的条件下&#xff0c;跟踪的速率分别达到了…

RPN的深度理解(实现层面)

参考http://www.telesens.co/2018/03/11/object-detection-and-classification-using-r-cnns/ 这是我看过的讲faster rcnn最好的一篇博客了&#xff0c;花了一下午时间看得差不多了&#xff0c;不过他也有些小细节没讲&#xff0c;我这里总结补充一下 另外还有一文读懂Faster R…

Faster RCNN 中的RPN解析

Faster RCNN 中的RPN解析 文章目录 Faster RCNN 中的RPN解析Anchor分类bounding box regressionproposal 参考 RCNN和Fast RCNN中使用Selective Search方法找出所有的候选框&#xff0c;SS方法非常耗时。Faster RCNN中提出RPN(region proposal network)替代SS方法提取候选框&am…

网络模型—RPN

仅作记录&#xff0c;自用 简单来说&#xff1a;输入一张图片&#xff0c;经过骨干网络的特征提取&#xff0c;得到一个m*n的特征图&#xff0c;映射到原图上&#xff0c;将原图划分为m*n个区域&#xff08;每个区域很小&#xff09;&#xff0c;原图的每个区域的中心点由这个…

RPN网络

RPN 思路&#xff1a; 1、先通过conv层pooling层relu层&#xff0c;可以是vgg&#xff0c;得到feature maps。 2、在feature maps上提取对应的图。在第一步基础上&#xff0c;先通过rpn生成region proposals。通过softmax判断anchors&#xff08;9个框&#xff09;&#xff0…

RPN

RPN&#xff08;区域生成网络&#xff09; </h1><div class"clear"></div><div class"postBody">转&#xff1a;懒人元&#xff08;侵删&#xff09; RPN全称是Region Proposal Network&#xff0c;Region Proposal的中文意思是“…

RPN详解

RPN 思路&#xff1a; 1、先通过conv层pooling层relu层&#xff0c;可以是vgg&#xff0c;得到feature maps。 2、在feature maps上提取对应的图。在第一步基础上&#xff0c;先通过rpn生成region proposals。通过softmax判断anchors&#xff08;9个框&#xff09;&#xff0…

RPN 解析

RPN全称是Region Proposal Network,Region Proposal的中文意思是“区域选取”,也就是“提取候选框”的意思,所以RPN就是用来提取候选框的网络; 1. RPN的意义 RPN第一次出现在世人眼中是在Faster RCNN这个结构中,专门用来提取候选框,在RCNN和Fast RCNN等物体检测架构中,…

RPN(区域生成网络)

RPN全称是Region Proposal Network&#xff0c;Region Proposal的中文意思是“区域选取”&#xff0c;也就是“提取候选框”的意思&#xff0c;所以RPN就是用来提取候选框的网络。 1. RPN的意义 RPN第一次出现在世人眼中是在Faster RCNN这个结构中&#xff0c;专门用来提取候选…

RPN简介

RPN全称是Region Proposal Network&#xff0c;Region Proposal的中文意思是“区域选取”&#xff0c;也就是“提取候选框”的意思&#xff0c;所以RPN就是用来提取候选框的网络 文章目录 前言 一、RPN是什么&#xff1f; 二、计算RPN的输入特征图 三、生成Anchors 总结 前言 …

深度学习之 RPN(RegionProposal Network)- 区域候选网络

anchor boxes基本概念与作用: feature map 上的一个点可以映射回输入图片上的一个点&#xff0c;以特征图上这个点为中心&#xff0c;预先人为设定 k 个 boxes&#xff0c;这些 boxes 就称为在这个点上生成的 k 个 anchor boxes&#xff08;所有anchor boxes的中心点坐标是一样…

基于51单片机蓝牙小车

文章目录 接线电机控制模块接线&#xff08;需要额外电源&#xff09;单片机接线 实物图代码相关目录树.c文件main.cSerial.c&#xff08;不会参考我写的串口文章&#xff09;CarTurn.c&#xff08;车的相关操作&#xff09;delay.c .h文件reg51.h&#xff08;keil软件自带&…

51单片机 | 红外遥控实验

文章目录 一、红外遥控介绍1.红外线简介2.红外遥控的原理2.1 红外发射装置2.2 红外接收设备二、硬件设计三、软件设计1.红外初始化函数2.红外解码函数3.主函数四、实验现象这一节来介绍一种无线通信技术–红外遥控通信。我们开发板标配了一个一体化红外接收头和红外遥控器,我们…

基于51单片机手机电话拨号盘模拟proteus仿真

功能简介&#xff1a; 1.采用4X4矩阵键盘实现号码输入&#xff0c;并在LCD液晶上显示 2.按下enter键&#xff0c;显示calling…&#xff0c;并且蜂鸣器模拟电话拨号发声 3.按下*键&#xff0c;退格&#xff0c;按下#键&#xff0c;清楚电话号码 4.拨号过程中&#xff0c;长按#取…

51单片机 | 串口通信实验

文章目录 一、通信的基本概念1.串行通信与并行通信2. 异步通信与同步通信3.单工、半双工与全双工通信4.通信速率二、51单片机串口介绍1.串口通信介绍2.串口相关寄存器3.串口工作方式3.1 方式03.2 方式13.3 方式2和方式34.串口的使用方法三、硬件设计四、软件设计五、实验现象这…