幂等性
- 一:什么是幂等性:
- 二:数据访问的幂等性:
- 2.1:增加操作:
- 2.2:删除操作:
- 2.3:更新操作:
- 三:幂等性的解决方案:
- 3.1:前端幂等性的实现:
- 3.2: 后端幂等性的实现:
一:什么是幂等性:
-
1:方法调用一次和调用多次得到的结果是一样的,则称为方法是幂等的。
-
2:HTTP幂等性:资源请求一次,或者多次产生的副作用是相同的。
- 例如: 我们发送1次get请求,获取一个ok,与发送100次请求,获取这个ok,效果是一样的,都是得到一个ok,中间没有给服务器带来任何压力,也没有修改数据库,因此我们称这个get请求是幂等的。(不是强调结果是否相同,而是副作用是否相同)
-
3:HTTP中的请求是不是幂等的呢?
- GET获取请求, 是幂等的。
- 请求一次,与请求多次,不会对后端造成任何影响。
- DELECT删除请求, 是幂等的。
- 删除一次,与删除多次,结果都是被删除了。
- POST请求创建资源,不是幂等的。
- 两次创建操作,会对在后台创建两个不同的资源,因此不是幂等的。
- PUT请求更新资源, 是幂等的。
- 更新一次,与更新多次(数据相同), 得到的结果都是被更新后的。
- GET获取请求, 是幂等的。
-
4: 应用角度----幂等性场景:
- 1:因为网络波动,引起重复请求。
- 案例:例如收藏(取消收藏)请求,我们请求了一次,因为网络原因,我们一直没有返回响应,用户由于没有看到被收藏了,结果再次点击收藏,而两次点击收藏导致我们后端仍处于未收藏状态,影响了幂等性。
- 2: 用户重复操作,导致重复扣款,重复下单等问题。
- 例如: 双十一,用户下单请求,提交一次后,由于网络堵塞,用户点击了刷新,导致相同订单重复请求,则会导致数据库中存在两个订单。
- 3:应用中使用了超时,重试机制。
- Nginx重试, RPC框架重试, 业务层面重试等。
- 4:第三方平台接口(支付宝),异步回调。
- 例如: 支付宝支付完成后,支付宝会调用我们后台接口,证明支付完成,但是,由于异常,支付宝调用了两次我们后台,则导致我们后台扣款了两次,实际支付宝只扣款一次。
- 5: 页面刷新, 回退按钮,导致重复提交表单。
- 例如:学校网站问卷调查统计,再提交时,由于网络延时,或者后端反应过慢,导致用户重新刷新,重新提交表单,则导致问卷多出一份。
- 6:定时任务导致重复执行。
- 7: 多核浏览器问题:
- 某些版本的浏览器,请求一次,发送两次请求。
- 1:因为网络波动,引起重复请求。
二:数据访问的幂等性:
- 幂等性设计的地点:由于都是对于数据库数据进行操作,才设计幂等性,因此我们要在访问数据库之前做幂等性设计。
- 读请求,显然不需要设计幂等性。
- 写请求,增删改需要设计幂等性。
2.1:增加操作:
- insert操作: 例如: insert into student(id, name, age, sex);
- 如果是自增主键,则会出现幂等性问题,因为两次都可以插入。
- 如果给 name, age, sex,设置唯一索引,则不会出现幂等性问题, 因为数据库会报错。
2.2:删除操作:
- delect 操作:
- 相对删除:删除前20条数据, 会出现幂等问题。
- 绝对删除:删除id是1的数据, 不会出现幂等问题。
2.3:更新操作:
- 相对更新:将id为1的价格增加100, 此时不是幂等的。
- 绝对更新:将id为1的价格修改成100, 此时是幂等的。
三:幂等性的解决方案:
3.1:前端幂等性的实现:
-
1:按钮设置成只能操作一次, 防止用户重复提交。
- 例如提交按钮,点击后,前端变成灰色,不能再次点击了。
-
2: tocken机制, 防止重复提交。:
- 例如: 当请求某个页面的时候,我们后端生成一个token,将这个token存放在页面中一起返回给前端, 前端进行提交时,携带上页面中的token,后端取出前端携带的token和后端保存的token,两个进行比较,如果token一致,则表示第一次提交,则删除后端的token。如果发现前端携带的token,我们后端不存在,则表示不是第一次提交,则返回响应,重复提交。
-
3: Post/Redirect/Get(PRG)模式:
- 例如: 前端当用户提交后,立刻发出一个请求,请求发送成功的页面。这样避免用户刷新页面导致重复提交,也不会出现浏览器提示重复提交的警告,而且也消除了因为前进和后退导致重复提交的问题。
-
4:在Session中存在特殊标志:
- 案例: 与token机制相同, 我们可以在服务端生成一个唯一标识,将他存入到session中,将session中的唯一标识也写入到隐藏表单中,将表单返回给客户端。客户端提交信息时,后端根据session_id拿到session信息,与表单中的session信息比对,如果相同则删除服务端中的session中的唯一标识,如果找不到,说明不是第一次提交则返回重复提交。
3.2: 后端幂等性的实现:
-
1: 使用唯一索引防止幂等性问题:
- 建立唯一索引后,插入数据如果出现重复的,则会抛出异常,因此可以防止幂等性。
-
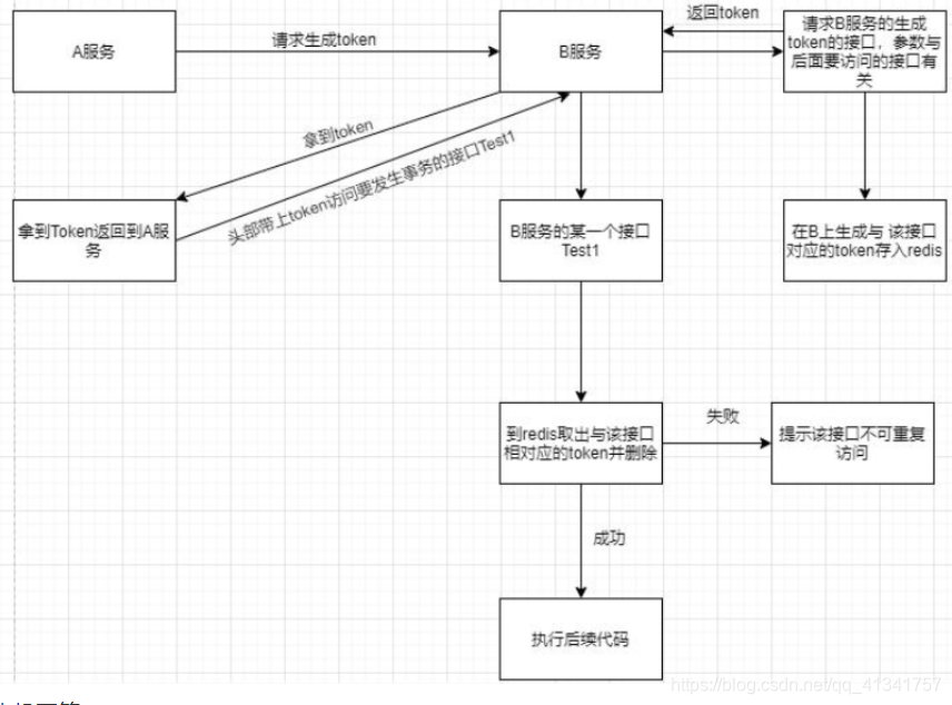
2:ToKen + Redis幂等性方案:

-
3:状态机幂等:
- 针对某些更新操作, 比如业务中需要修改订单状态:待支付状态, 支付中, 支付成功, 支付失败,订单超时等。
- 在进行接口的设计时,我们最好只支持状态的单向改变,例如更新成 status = 1;这样即使多次,状态也不会改变。
-
4:乐观锁实现幂等:
- 先查询出被更新的信息,得到版本version = 1
- 通过版本号进行更新,如果版本号匹配,说明之前没有改变,则进行更新,如果版本号不匹配则说明已经操作过了,无需再进行操作。
-
5:防重表实现幂等性:
-
我们要增加一个表,这个表叫做防重表。这个防重表中有一个字段,这个字段是一个唯一索引。案例我们下订单,我们每次下一个订单,就向防重表中增加一个数据,如果订单id重复了,则表示第二次加入这个订单,则返回重复提交。
-
6: select + insert方案:
- 在进行插入操作之前先查询一下是否改变了,这种方案单机条件可以,但是分布式下不可以。
-
7: 分布式锁方案:
- 尝试获取分布式锁,如果获取到了,则进行业务逻辑,如果没有获取到,则返回请稍后再试。

-
8: 缓冲队列解决幂等性:
- 我们后端将所有的请求都保存到缓冲队列中, 然后使用异步任务处理里面的请求,异步任务中过滤掉重复的请求。
-
9:全局唯一号实现幂等:
- 在执行操作前先根据这个全局唯一ID是否存在,来判断这个操作是否已经执行。如果不存在则把全局ID,存储到存储系统中,比如redis,并设置有效期。如果存在则表示该方法已经执行。

















