维特比算法(Viterbi algorithm)

article/2025/10/3 23:53:37

一、维特比算法(Viterbi)原理以及简单实现

维特比算法(Viterbi algorithm)是一种动态规划算法。它用于寻找最有可能产生观测事件序列的维特比路径——隐含状态序列,特别是在马尔可夫信息源上下文和隐马尔可夫模型中。

维特比算法实际是用动态规划解隐马尔可夫模型预测问题,即用动态规划求概率最大路径(最优路径)

Viterbi算法通过保存之前的最优路径,再选择当前步的最优路径并记录,而降低时间复杂度。动态规划:典型的空间换时间,时间复杂度从n^l降为l*n*n,l为层数,n为状态数。

算法原理

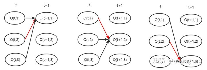
维特比算法就是求所有观测序列中的最优,如下图所示,我们要求从S到E的最优序列,中间有3个时刻,每个时刻都有对应的不同观察的概率,下图中每个时刻不同的观测标签有3个。
请添加图片描述
求所有路径中最优路径,最容易想到的就是暴力解法,直接把所有路径全部计算出来,然后找出最优的。这方法理论上是可行,但当序列很长时,时间复杂夫很高。而且进行了大量的重复计算,Viterbi算法就是用动态规划的方法就减少这些重复计算。

Viterbi算法是每次记录到当前时刻,每个观察标签的最优序列,如下图,假设在t时刻已经保存了从0到t时刻的最优路径,那么t+1时刻只需要计算从t到t+1的最优就可以了,图中红箭头表示从t时刻到t+1时刻,观测标签为1,2,3的最优。
请添加图片描述
每次只需要保存到当前位置最优路径,之后循环向后走。到结束时,从最后一个时刻的最优值回溯到开始位置,回溯完成后,这个从开始到结束的路径就是最优的。

回溯是为了重新串联最优路径。
请添加图片描述


http://chatgpt.dhexx.cn/article/gALCVpKa.shtml

相关文章

机器学习:维特比算法(Viterbi Algorithm)

一、维特比算法(Viterbi Algorithm)讲解方式01:篱笆网络(Lattice)的最短路径问题 已知下图的篱笆网络,每个节点之间的数字表示相邻节点之间的距离,举个例子来说,如果我走&#xff0…

字符串匹配原理及实现(C++版)

字符串匹配原理及实现(C版) 1. 字符串匹配概念2. BF2.1 原理2.2 代码实现 3. KMP3.1 原理3.2 代码实现 4. BM4.1 坏字符4.2 好后缀4.3 代码实现 1. 字符串匹配概念 在查找操作中,我们用到很重要的概念就是字符串匹配,所谓字符串匹…

C++之单字符串匹配问题

有很多算法可以解决单模式匹配问题。而根据在文本中搜索模式串方式的不同,我们可以将单模式匹配算法分为以下几种: 基于前缀搜索方法:在搜索窗口内从前向后(沿着文本的正向)逐个读入文本字符,搜索窗口中文…

字符串——字符串匹配

文章目录 字符串匹配一、基本概念字符串匹配问题符号和术语后缀重叠引理 二、朴素字符串匹配算法三、Rabin-Karp算法(字符串Hash算法)进制Hash质数Hash 四、利用有限自动机进行字符串匹配有限自动机字符串匹配自动机计算状态转移函数代码 五、Knuth-Morris-Pratt算法模式的前缀…

朴素字符串匹配

描述 字符串匹配问题的形式定义: 文本(Text)是一个长度为 n 的字符串:T;模式(Pattern)是一个长度为 m 且 m≤n 的字符串:P; T 和 P 中的元素都属于有限的字母表 Σ 表; 有效位移 (Valid Shift): 如果 0≤ s ≤n-m,并且 T[s1…sm] P[1…m]&#xff0c…

算法之字符串匹配一

目录 前言: BF算法: RK算法 总结: 参考资料 前言: 字符串匹配指的是一个短点的字符串与一个长点的字符串进行匹配,并确认短的字符串是否在长的字符串中存在。匹配算法有很多,本文介绍两种简单、容易…

字符串匹配算法(C语言实现)

目录 文章目录 前言 一、BF算法 二、KMP算法 1.算法介绍 2.算法思路 3.整体代码实现 总结 前言 字符串匹配算法又称模式匹配算法,该算法的目的是为了子串从主串中寻找是否有与其匹配的部分, 其可分为BF暴力检索、RK哈希检索、KMP、BM等等,本…

shell字符串匹配

一、简介 Bash Shell提供了很多字符串和文件处理的命令。如awk、expr、grep、sed等命令,还有文件的排序、合并和分割等一系列的操作命令。grep、sed和awk内容比较多故单独列出,本文只涉及字符串的处理和部分文本处理命令。 二、字符串处理 1、expr命令…

golang字符串匹配算法

简介 字符串匹配算法主要用于在一个较长的文本串中查找一个较短的字符串(称为模式串)。在 Golang 中,可以使用最常见的字符串匹配算法之一:Knuth-Morris-Pratt(KMP)算法,它的时间复杂度为 O(nm…

【数据结构】字符串匹配(暴力匹配)

原理解析: 字符串匹配方法,创建两个字符串结构,主 串和子串比较。 主串字符 a 和 子串字符 c 不匹配,主串的指针向下移动,移动到上一次开始比较的下一个位置。 子串指向开始的位置。 主串字符 b 和 子串字符 c 不匹配…

字符串匹配算法比较

字符串匹配(string match)是在实际工程中经常会碰到的问题,通常其输入是原字符串(String)和子串(又称模式,Pattern)组成,输出为子串在原字符串中的首次出现的位置。通常精确的字符串搜索算法包括暴力搜索(Brute force)…

子串查找(字符串匹配)

子串查询 首先,我们来定义两个概念,主串和模式串。我们在字符串 A 中查找字符串 B,则 A 就是主串,B 就是模式串。我们把主串的长度记为 n,模式串长度记为 m。由于是在主串中查找模式串,因此,主串…

字符串匹配算法综述

字符串匹配算法综述 字符串匹配算法综述:BF、RK、KMP、BM、Sunday 字符串匹配算法,是在实际工程中经常遇到的问题,也是各大公司笔试面试的常考题目。此算法通常输入为原字符串(string)和子串(pattern&…

字符串匹配算法详解

希望看到文章的你们,能够在今年的研究生考试中超常发挥。 愿你们都能考上自己心仪的学校,为你们的备考生涯划上一个完美的句号。做为你们的师兄有几句话想对你们说,希望这些话能对你们有一些帮助。 马上就要考试了,不要再继续啃难…

字符串匹配算法

字符串匹配就是在主串A中查找模式串B,例如在主串abababc中查找模式串abc是否存在,记主串A的长度为n,模式串B的长度为m,n>m。 BF算法 BF(Brute Force)算法,又叫暴力匹配算法或者朴素匹配算法,思路很简单…

字符串(字符串匹配)

一、字符串匹配问题、基础 1、假设文本是一个长度为n的数组T,而模式是长度为m的数组P,我们希望在文本T中寻找模式P 如果P出现在T中的第s个位置,那么我们称其有效偏移为s,在其他不匹配的位置称为无效偏移 2、如果字符串w是字符串…

字符串匹配

字符串匹配 1.朴素的串匹配算法(暴力解法) 1.1 分析 设t是目标串(母串),p是模式串(待匹配串),i , j 分别指向 模式串 和 目标串,m、n分别是模式串p和目标串t的长度。 从目标串的第0个字符&am…

Photoshop怎么给图片添加简介信息或者版权信息

转自:Photoshop怎么给摄影图片添加作者名字版权等信息? 有时我们点开一张图片的详细信息中可能可以看到各种属性信息,比如作者,时间,关键字,图片信息描述等属性,但是我们自己的拍摄的或者从别的地方获取的…

2022年中国版权保护中心计算机软件著作权登记最全申请步骤流程

一、前言二、实名认证1. 用户注册2. 实名认证 三、办理步骤1. 办理流程2. 填写申请表3. 提交申请文件4. 登记机构受理申请5. 审查6. 获得登记证书 四、登记申请所需文件1. 软件著作权登记申请表2. 软件(程序、文档)的鉴别材料3. 有关证明文件 五、申请表…

IDEA设置版权信息

File→Settings或者CtrlS快捷键。 Editor下面有个Copyright→Copyright Profiles 点击加号,然后输入名称。 然后修改成自己的信息: 其中第一个年份是本文件新建日期,后面的是最后一次修改年份。 中文版本: 版权所有(c) Jack魏 …