有两种滤波,一个deblock filter用来减弱因为transform和预测边界的不联系性;另外一个是SAO,通过减弱振铃效应和改变像素的强度来提升画质。https://blog.csdn.net/u014470361/article/details/94641124解释什么是块效应和振铃效应。

-
Deblocking Filter
块效应的产生:
1.

2.

since the deblocking of one vertical (horizontal) boundary in HEVC does not affect
deblocking of other vertical (horizontal) boundaries because of only fltering the
boundaries on the 88 sample grid, all the vertical (horizontal) boundaries can be
processed in parallel。

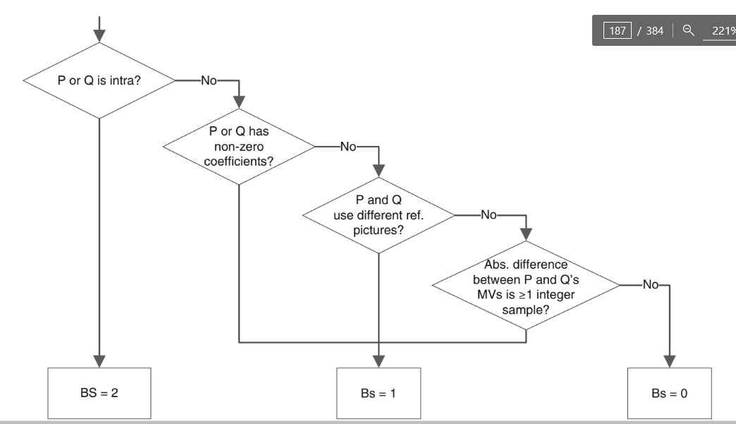
去效应滤波,对于亮度,BS必须大于0;对于色度,BS必须大于1.


HEVC有2个filter mode,normal ,strong;
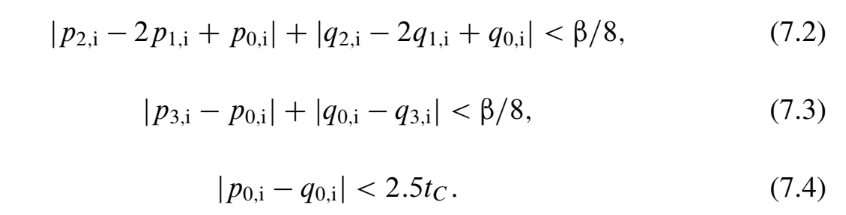
Strong filter mode满足的条件是:

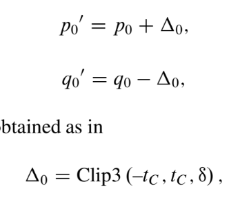
normal filter mode:








-
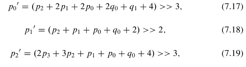
strong filter Mode
用在平坦的区域,这个块效应会更加明显。


-
Chrome Deblocking
. Chroma
deblocking only modifes one sample from each side of the block boundary.
Adaption:sending parameterstc_offset_div2and beta_offset_div2in the
slice header or picture parameter set (PPS) [46]. These parameters specify offsets
(divided by two) that are added to a QP value before determining “and tC from the
look-up tables. This gives an encoder a possibility to adapt the deblocking strength
-
Sample Adaptive Offset (SAO)
在一定的范围内,通过选择的分类器把像素分为不同的类别,然后加上一定的offeset来减少像素的损失。有两种类型的SAO type,一种edge offset,另外一种是band offset。
In Edge, a sample is based on its neighborhood, i.e. on the comparison between the current
sample and its neighboring samples. In BO, the classifcation is based on the sample
value。
-
edge Offset



-
Band Offset

The sample values range is divided into 32 equal bands. For 8-bit samples
in the range from 0 to 255, the width of a band is 8. Thus, sample values from 8k to
8k C7 belong to band k, where k ranges from 0 to 31. The difference between the
original samples and reconstructed samples in a band (i.e. the offset of a band) can
be signaled to the decoder.


-
SAO Parameter Signaling
sample_adaptive_offset_enabled_flag:SAO enble or not
slice_sao_luma_flag and slice_sao_chroma_flag, indicate if SAO
is enabled for luma and chroma, respectively, in the current slice
-
SAO Parameters Merging
1.reusing SAO param
eters of the left CTU (by setting a syntax element sao_merge_left_flag
2.
to 1), reusing SAO parameters of the above CTU (by setting a syntax element
sao_merge_up_flag to 1)


















