近日通过CAE软件分析弹性体折叠过程中的半径变化趋势,已经从分析结果文件中提取了弯折区域三点的运动轨迹,设想将弯折区域近似为圆弧并通过三点计算得出圆的半径。经网上查找一翻,发现一篇博客有比较详细的计算公式,由于不能直接转载,在此记录一篇作为笔记。为向原作者示敬,附上原作链接如下:http://blog.csdn.net/liyuanbhu/article/details/52891868
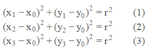
我们设一个圆的圆心坐标为 (x0,y0),半径为 r。那么这个圆的方程可以写为:
取圆上任意三点,设这三个点的坐标分别是 (x1,y1),(x2,y2),(x3,y3)。由于圆弧上所有点到圆心距离均为半径,那么有:
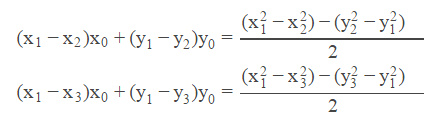
公式(1)(2)相减,(1)(3)相减之后经过化简可以得到:
x0,y0有唯一解的条件是系数行列式不为 0:
简单变变型也就是:
上式的几何意义即:三点不能共线。
设:
那么 :
有了x0和y0的值后,带入(1) 式就可以得到半径 r 的值。至此,三点确定圆的问题就解决了。
好了,有了以上理论以及计算公式,利用 Python 读入CAE软件计算得到的圆弧上三个点的运动轨迹,即可得到折叠过程中半径r的变化趋势了。














