插值方法
插值方法是用来处理和分析数据的方法,所谓插值就是在所给数据的基础上再插入一些所需的值,但这些值不是随便给出的,而是在已有数据的基础上进行分析,给出的近似值。
插值方法要解决的问题
首先当我们遇到一堆数据(如表1-1)时,要对这些数据进行分析,但是又没有现成的函数表达式用来拟合数据。这时如果我们要再求出给定点的y值,就需要用到插值方法。

所谓插值,就是设法利用已给数据表求出给定点x的函数值y,表中的数据点xi=(i=0,1,2…)称为插值节点,所要插值的点x称为插值点
**插值计算的目的在于 ,通过尽可能简便的方法 ,利用所给数据表加工出插值点 x上具有足够精度的插值结果 ! **
其次就是要解决当一个函数f(x)的表达式非常复杂,我们没法像普通函数一样去求值或分析时,我们可以用一个近似简便的函数去代替这个复杂的函数f(x),从而求出给定点x的近似函数值y。
所以插值方法的关键就在于两点:
- 通过已有数据求出近似的关系式

- 提高该关系式的计算精度。 接下来的所有计算方法的目的其实都是为了提高精度。
代数精度的概念
我们称上述给出的近似关系式具有m阶精度,如果它对于次数<=m的多项式均能准确成立,后者说,对于幂函数y=1,x, x2, x3 ,…xm 均能准确成立,而对于y=xm+1 不准确时,我们就称插值公式具有m阶精度。
拉格朗日插值公式 Lagrange
两点插值
只给出两个数据点。

现要求过一给定点x的y值。 只能通过这两个点,求出一个近似关系式。
求出的关系式如下:

求解过程如下:

这种求解方法类似于待定系数法。关键点在于这个插值公式具有1阶精度,就是对于y=1,x都成立,分别令y=1,y=x,代入假设的关系式,可得到方程组。
三点插值
就是有三个点的时候求近似关系式。

求出的插值公式如下:

求解过程:
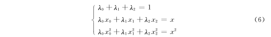
三个数据点,所以用待定系数法需要假设三个未知数,如下:

为让这个关系式具有三阶精度,对于y=1,x,x2 ,x3 都成立,可得到方程组:

通过求解这个方程组可以得到,利用Cramer法则求解

多点插值公式
多点插值公式的系数为:

代入各点y值即可得到插值公式。

















