建议如果是大一大二的同学想提前学习机器学习的话可以提前看看我这个专栏的文章,说实话,专门做这个学习机器学习前置知识的博主没多少,至少我当时学的时候没找到多少,不得不学习我很厌恶的一个人讲的课,听得我浑身难受。现在我把自己的所学分享出来,也是给大家一个便利,希望大家支持。
目录
一,泰勒公式
1,出发点
2,一点一世界
3,泰勒多项式
4,多项式逼近
5,阶数是什么意思呢?
6,阶乘的作用
二,拉格朗日乘子法
一,泰勒公式
1,出发点
1)用简单的熟悉的多项式来近似代替复杂的函数
2)易计算函数值,导数与积分仍是多项式。
3)多项式由它的系数完全确定,其系数又由它在一点的函数值及其导数所确定
首先我们先来回忆一下,在微分中的可微函数可局部线性化 ,这个概念可能现在听起来有些太专业了哈,实际上就是一个以直代曲的思想。

具体推导如上。

2,一点一世界
一阶导数只帮我们定位了下一个点是上升还是下降对之后的趋势就很难把控了。

如何做的更准确一-些呢?如果把二阶导利用上呢。
基于当前点不断求导,最终可以得出当前曲线的近似公式
(经过足够多次的求导)
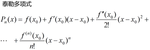
3,泰勒多项式
设f(x)在含有x0的某个区间(a,b)内具有直到(n+1)阶的导数,则对任意x属于(a,b),可推出下式。

f(x)=p(x)+R(x);
R是误差项。
上面这个式子称为f(x)的在x0关于(x-x0)的n阶泰勒多项式。
当x0=0时,上式便变为了麦克劳林公式

后面还有一个误差项。
4,多项式逼近

5,阶数是什么意思呢?

6,阶乘的作用


二,拉格朗日乘子法



多适用于自变量多于两个条件下。


上述图片来自于:
985+211浙大强推(全129讲)【机器学习-数学基础课程】绝对通俗易懂!学不会来打我(人工智能/AI/深度学习/机器学习入门/微积分/概率论)_哔哩哔哩_bilibili

















