文章目录
- 模板匹配介绍
- 模板匹配定义
- 匹配算法
- 平方差
- 归一化的平方差
- 相关性
- 归一化的相关性
- 相关性系数
- 归一化的相关性系数
- 相关API
- 代码示例
模板匹配介绍
模板匹配定义
模板匹配就是在整个图像区域发现与给定子图像匹配的小块区域。
所以模板匹配首先需要一个模板图像T(给定的子图像)
另外需要一个待检测的图像-源图像S
工作方法,在带检测图像上,从左到右,从上向下计算模板图像与重叠子图像的匹配度,匹配程度越大,两者相同的可能性越大。
匹配算法
opencv中支持的比较方法有六种,分别如下:
平方差
1、cv::TM_SQDIFF:该方法使用平方差进行匹配,因此最佳的匹配结果在结果为0处,值越大匹配结果越差。
公式为:

归一化的平方差
2、cv::TM_SQDIFF_NORMED:该方法使用归一化的平方差进行匹配,最佳匹配也在结果为0处。
公式为:

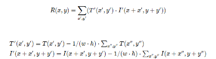
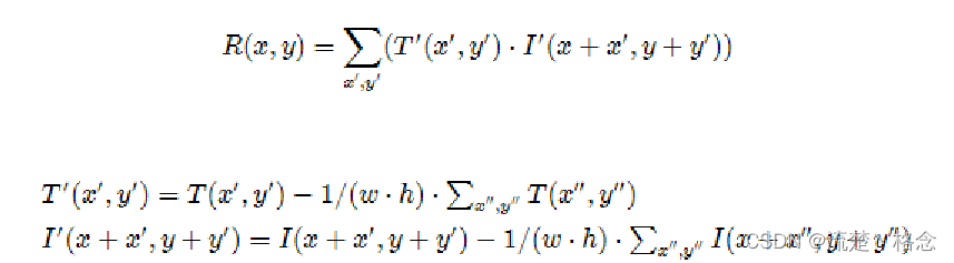
相关性
3、cv::TM_CCORR:相关性匹配方法,该方法使用源图像与模板图像的卷积结果进行匹配,因此,最佳匹配位置在值最大处,值越小匹配结果越差。
公式为:

归一化的相关性
4、cv::TM_CCORR_NORMED:归一化的相关性匹配方法,与相关性匹配方法类似,最佳匹配位置也是在值最大处。
公式为:

相关性系数
5、cv::TM_CCOEFF:相关性系数匹配方法,该方法使用源图像与其均值的差、模板与其均值的差二者之间的相关性进行匹配,最佳匹配结果在值等于1处,最差匹配结果在值等于-1处,值等于0直接表示二者不相关。
公式为:

归一化的相关性系数
6、cv::TM_CCOEFF_NORMED:归一化的相关性系数匹配方法,正值表示匹配的结果较好,负值则表示匹配的效果较差,也是值越大,匹配效果也好
公式为:

相关API
函数原型:
void cv::matchTemplate(cv::InputArray image, // 用于搜索的输入图像, 8U 或 32F, 大小 W-Hcv::InputArray templ, // 用于匹配的模板,和image类型相同, 大小 w-hcv::OutputArray result, // 匹配结果图像, 类型 32F, 大小 (W-w+1)-(H-h+1)int method // 用于比较的方法
);
函数参数:
| 参数 | 含义 | 匹配取值 |
|---|---|---|
TM_SQDIFF | 平方差 | 该方法使用平方差进行匹配,因此最佳的匹配结果在结果为0处,值越大匹配结果越差。 |
TM_SQDIFF_NORMED | 归一化的平方差 | 该方法使用归一化的平方差进行匹配,最佳匹配也在结果为0处。 |
TM_CCORR | 相关性 | 相关性匹配方法,该方法使用源图像与模板图像的卷积结果进行匹配,因此,最佳匹配位置在值最大处,值越小匹配结果越差。 |
TM_CCORR_NORMED | 归一化的相关性 | 归一化的相关性匹配方法,与相关性匹配方法类似,最佳匹配位置也是在值最大处。 |
TM_CCOEFF | 相关性系数 | 相关性系数匹配方法,该方法使用源图像与其均值的差、模板与其均值的差二者之间的相关性进行匹配,最佳匹配结果在值等于1处,最差匹配结果在值等于-1处,值等于0直接表示二者不相关。 |
TM_CCOEFF_NORMED | 归一化的相关性系数 | 归一化的相关性系数匹配方法,正值表示匹配的结果较好,负值则表示匹配的效果较差,也是值越大,匹配效果也好 |
代码示例
效果如下:在另一张颖宝图片中,找到了其他图片的颖宝头像截图

素材:


代码:
#include <iostream>
#include <math.h>
#include <opencv2/opencv.hpp>
#include <opencv2/highgui.hpp>
#include <opencv2/highgui/highgui_c.h> using namespace std;
using namespace cv;Mat src, temp, dst;
int match_method = TM_SQDIFF;
int max_track = 5;
const char* INPUT_T = "input image";
const char* OUTPUT_T = "result image";
const char* match_t = "template match-demo";
void Match_Demo(int, void*);
int main(int argc, char** argv) {// 待检测图像src = imread("./zhao3.jpg");// 模板图像temp = imread("./zhaolian.jpg");if (src.empty() || temp.empty()) {printf("could not load image...\n");return -1;}namedWindow(INPUT_T, CV_WINDOW_AUTOSIZE);namedWindow(OUTPUT_T, CV_WINDOW_NORMAL);namedWindow(match_t, CV_WINDOW_AUTOSIZE);imshow(INPUT_T, temp);const char* trackbar_title = "Match Algo Type:";createTrackbar(trackbar_title, OUTPUT_T, &match_method, max_track, Match_Demo);Match_Demo(0, 0);waitKey(0);return 0;
}void Match_Demo(int, void*) {int width = src.cols - temp.cols + 1;int height = src.rows - temp.rows + 1;Mat result(width, height, CV_32FC1);matchTemplate(src, temp, result, match_method, Mat());normalize(result, result, 0, 1, NORM_MINMAX, -1, Mat());Point minLoc;Point maxLoc;double min, max;src.copyTo(dst);Point temLoc;minMaxLoc(result, &min, &max, &minLoc, &maxLoc, Mat());// 平方差最佳的匹配结果小值匹配效果最佳 其余均为大值效果最佳if (match_method == TM_SQDIFF || match_method == TM_SQDIFF_NORMED) {temLoc = minLoc;} else {temLoc = maxLoc;}// 绘制矩形rectangle(dst, Rect(temLoc.x, temLoc.y, temp.cols, temp.rows), Scalar(0, 0, 255), 2, 8);rectangle(result, Rect(temLoc.x, temLoc.y, temp.cols, temp.rows), Scalar(0, 0, 255), 2, 8);imshow(OUTPUT_T, result);imshow(match_t, dst);
}















