朴素贝叶斯分类器

article/2025/10/6 6:13:05

前知识了解:

  • 贝叶斯决策论是概率框架下实施决策的基本方法。

在这里插入图片描述

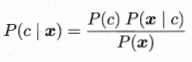
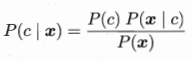
  • 贝叶斯定理:
    在这里插入图片描述
    贝叶斯定理是由果溯因的思想,当知道某件事情的结果后,由结果推断出这件事是由各种原因导致的概率为多少。
  • 极大似然估计:
    在这里插入图片描述

朴素贝叶斯分类器:

画重点:啥为”朴素”?(基于“属性条件独立性假设”:对已知类别,假设所有属性相互独立,换言之,假设每个属性独立地对分类结果发生影响。这是对朴素的定义)

基于朴素可以分别重新定义贝叶斯定理和贝叶斯判定准则,如下:

  • 重新定义贝叶斯定理:
    在这里插入图片描述
    在这里插入图片描述

  • 重新定义贝叶斯判定准则:
    在这里插入图片描述
    在这里插入图片描述

  • 求解朴素贝叶斯分类器:
    在这里插入图片描述
    结合下面例子求解过程:
    在这里插入图片描述

在这里插入图片描述
在这里插入图片描述
在这里插入图片描述
(注本章节主要出自周志华《机器学习》,对于朴素贝叶斯分类器该书已经分析的很透彻,很合适看好几遍慢慢理解!这里只是对自己理解进行简单梳理。)


http://chatgpt.dhexx.cn/article/uIOkUIJw.shtml

相关文章

贝叶斯分类器matlab实现

用matlab模拟最小错误率贝叶斯分类器与最小风险分类器,效果个人感觉还算能看的下去^_^ 注意:如果对实验原理还不算太懂,可以看其他大牛的博客或者看书,不管怎么样概率论知识是前提,不如乘法定理,条件概率&…

机器学习-贝叶斯分类器

https://www.toutiao.com/a6684876999611122187/ 2019-04-28 17:36:54 目录: 1.贝叶斯分类器的基础 2.朴素贝叶斯分类器 3.朴素贝叶斯分类实例 4.关于朴素贝叶斯容易忽略的点 5.朴素贝叶斯分类器的优缺点 1. 摘要 贝叶斯分类器是一类分类算法的总称&#xf…

贝叶斯分类器(Bayes Classifier)

一、贝叶斯定理 1、背景: 贝叶斯定理也称贝叶斯推理,早在18世纪,英国学者贝叶斯(1702~1763)曾提出 引用:百度百科 贝叶斯定理是关于随机事件A和B的条件概率(或边缘概率)的一则定理。其中P(A|B)…

实验五 贝叶斯分类器(模式识别与机器学习)

目录 实验一 离散型数据的朴素贝叶斯分类 实验步骤: NBtrain.m NBtest.m main.m 实验二 连续型数据的朴素贝叶斯分类 实验步骤: naiveBayestrain.m navieBayestest.m main.m 实验一 离散型数据的朴素贝叶斯分类 data数据集中含有625个样本,每个样…

贝叶斯分类器详解

文章目录 一、贝叶斯简介二、贝叶斯决策论三、极大似然估计例题解析 四、朴素贝叶斯分类器例题解析 五、半朴素贝叶斯分类器 一、贝叶斯简介 简介:贝叶斯分类器是一类分类算法的总称,这类算法均以贝叶斯定理为基础,故统称为贝叶斯分类器。而…

机器学习(六)——贝叶斯分类器

贝叶斯分类器是一类分类算法的总称,均以贝叶斯定理为理论基础 一、预备知识—贝叶斯决策论 1.公式 \qquad 贝叶斯决策论是概率框架下的实施决策的基本方法。对于分类任务来说,在所有相关概率都已知的理想情况下,贝叶斯决策论考虑如何基于概率…

机器学习——贝叶斯分类器

这里写目录标题 1.贝叶斯分类器属于生成式模型2.贝叶斯定理3.朴素贝叶斯分类器3.1朴素贝叶斯分类器中的数学模型3.2分类器的分类准则 1.贝叶斯分类器属于生成式模型 对于数据的判别分类有两种策略模型:判别式模型和生成式模型 判别式模型 : 逻辑回归、决策树、支持…

贝叶斯分类器原理——学习笔记

贝叶斯分类器原理 简介一、逆概率推理与贝叶斯公式1、确定性推理与概率推理2、贝叶斯公式 二、贝叶斯分类的原理三、概率估计1、先验概率的估计2、类条件概率的估计 四、贝叶斯分类的错误率五、常用贝叶斯分类器1、最小错误率贝叶斯分类器2、最小风险贝叶斯分类器3、朴素贝叶斯…

机器学习-贝叶斯分类器(附Python代码)

1. 贝叶斯原理 Naive Bayes 官方网址: https://scikit-learn.org/stable/modules/naive_bayes.html GitHub地址:https://github.com/gao7025/naive_bayes.git 贝叶斯分类是以贝叶斯定理为基础的一种分类算法,其主要思想为:先验…

chrome插件开发入门实战——CSDN免登陆拷贝、免关注查看

官方资料 docextensions官方chrome-extensions-samples 实战CSDN插件(V3) 功能 CSDN: 复制代码免登陆;CSDN: 免关注博主看文章;CSDN: 替换CSDN代码拷贝按钮,登陆也不用CSDN复制按…

Github实用浏览器插件推荐

文章目录 1. github树形目录插件-octotree(有付费功能)2. 快速下载github项目——GitHub加速3. 下载github中指定文件——GitZip for github4. github代码定义跳转浏览插件-Sourcegraph 某天看直播课程的时候看到这样一个界面: 然后就搜了一下…

IDEA必备插件

一、插件入口 二、IDEA必备插件 插件安装目录:C:\Users\用户名\AppData\Roaming\JetBrains\IntelliJIdea2021.3\plugins 1.Alibaba Java Coding Guidelines 推荐指数:★★★ 介绍:阿里巴巴Java编码指南 安装之后右键菜单会多出两个选项&a…

Visual Studio 2017,C++MFC免注册调用大漠插件图文教程,详细版

Visual Studio 2017,CMFC免注册调用大漠插件图文教程,详细版 前言 提示:这里可以添加本文要记录的大概内容: 有很多人都在问CMFC怎么免注册调用?其实这些都有参考但是对于新手来说,编译器对新手的不友好&#xff0c…

PHPstorm必备插件推荐

1、.env files support 对.env 文件的支持 2、 .ignore 对.ignore 文件的支持 3、 Ideolog 对 .log 文件的支持 4、 Chinese (Simplified) Language Pack / 中文语言包 官方版中文语言包 | 汉化语言包 5、 Git 对Git的支持 6、 GitToolBox 支持在文件中展示当前代码最后的…

【BurpSuite】插件之自用插件

自用burpsuite插件汇总 前言 自用的一些burpsute插件,有的是自己改着写的,有的是用别人写的,备份记录为主要目的。万一哪天环境崩了也能快速记起来要用什么插件。 重写右键执行 自己重写的一些代码,核心点是处理http请求&…

插件的使用

1、插件写法:插件通常会为 Vue 添加全局功能,添加全局方法或者属性; 添加全局资源:指令/过滤器/过渡等;通过全局 mixin 方法添加一些组件选项; 添加 Vue 实例方法,通过把它们添加到 Vue.proto…

TypechoCMS通用发布插件-【免登录版本】

Typecho是一个操作简单快速的轻量博客平台。 轻量高效:不足 400KB 的代码,就实现了完整的插件与模板机制。超低的 CPU 和内存使用率,足以发挥主机的最高性能。 先进稳定:支持 BAE/GAE/SAE 等各类云主机,即使面对突如…

【Unity插件】最多的插件合集

一、前言 ? 最近整理了一下文章,发现我分享了很多的插件,但是如果要查找某一款插件,还需要去搜索才能找到,很不方面,就想要将写过的所有的插件分享也好,教程也好,做一个汇总,然后这…

AS常用插件

1.​​adb-idea​​ 支持直接在AS面板中进行ADB操作 2.Android Code Generator 根据布局文件快速生成对应的Activity,Fragment,Adapter,Menu。 http://plugins.jetbrains.com/files/7595/screenshot_14834.png 3.CodeGlance 右边实现代…

油猴插件免费下载

安利一个黑科技,名叫"油猴子"。点击下载 Tampermonkey中文名俗称油猴,是一款免费的浏览器插件,目前最为流行的用户脚本管理器,用户可以通过油猴添加和使用脚本,而脚本是一种可以修改网页JavaScript的程序。…