概率论与数理统计(3.3)二维随机变量条件分布

article/2025/10/21 15:30:37

这个条件分布主要只针对二维的

一、离散型随机变量的条件分布

在这里插入图片描述
同理固定一个X为一个常数则可得Y的条件分布律

在这里插入图片描述
在这里插入图片描述
**注:**离散型的求在什么条件下X或Y的条件分布律,知道他们的联合分布律很重要.
1)

在这里插入图片描述
观察这个公式。
在这里插入图片描述
注:必须知道P{X=1}的概率,然后固定X=1,Y变化变化全部取值。同理Y固定时也是一样。
在这里插入图片描述

连续型随机变量条件分布

在这里插入图片描述
在这里插入图片描述
注:任意的x,y P{X=x}=0 P{Y =y} =0,所以不能直接用条件概率公式得到条件分布。而是用极限的方法推导出来,我就不再深推了。

在这里插入图片描述

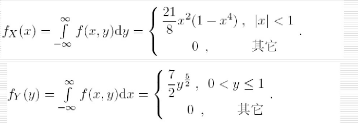
不管是求条件概率密度函数还是条件概率,首先必须做的是求出两个边缘密度函数,这个是公式用到的。

在这里插入图片描述
这两个就是根据上图求出来的边缘密度函数
在这里插入图片描述
这一步也就是根据边缘密度函数结合公式求出来的条件概率密度函数
在这里插入图片描述
直接带公式就行了,但一定要注意积分的区间限制
在这里插入图片描述


http://chatgpt.dhexx.cn/article/p5t1ATuL.shtml

相关文章

多元正态分布条件分布公式总结

假设X是有两个随机向量组成 其中 假设X服从多元高斯分布其中 多元正态分布

【概率论】二维随机变量:联合分布律、边缘分布律和条件分布律之间的关系

摘要:本文主要介绍二维随机变量的联合分布律、边缘分布律和条件分布律之间的关系,并以矿山事故为例,强化对三者关系的认识。 一、联合分布律、边缘分布律和条件分布律之间的关系 1、若已知(X, Y)的联合分布率 > 可以求出X的边缘分布律和…

用最简洁的方法证明多元正态分布的条件分布

在证明高斯-马尔科夫随机过程的性质的过程中,遇到了多元正态分布的条件分布的证明,百度发现条件分布的很多证明方法写的极其麻烦,所以自己写了一个。 实际上多元随机变量的公式证明一般用矩阵的方法处理,这里就是采用这种方法&…

联合分布、条件分布、边缘分布还有贝叶斯公式

https://blog.csdn.net/zgcr654321/article/details/85201614?utm_mediumdistribute.pc_relevant.none-task-blog-OPENSEARCH-1.nonecase&depth_1-utm_sourcedistribute.pc_relevant.none-task-blog-OPENSEARCH-1.nonecase 文章目录 联合概率及其分布、边缘概率及其分布、…

概率论-3.5 条件分布与条件期望

离散随机变量的条件分布: 二位随机变量(X,Y)的联合分布列:pijP(Xxi,Yyj) P(Yyj)Sum(P(Xxi,Yyj)),对xi累加 P(Xxi)Sum(P(Xxi,Yyj)),对yj累加 条件分布列: pi | j P(Xxi | Yyj)P(Xxi,Yyj) / P(Yyj)pij / pj pj | i P(Yyj…

3.3 二维随机变量条件分布

学习目标: 要学习二维随机变量的条件分布,我可能会采取以下步骤: 复习边缘分布和联合分布:首先需要了解二维随机变量的边缘分布和联合分布的概念以及相应的公式。 复习条件概率:学习条件概率的定义和计算公式&#x…

NPOI 下载

https://www.nuget.org/packages/NPOI/

NPOI 第一篇 NPOI的下载、引用、基本使用

前言 总渴望去拥有那些自己没有的东西,比如经验、能力;但自己拥有的更为重要的东西,却如此的不珍惜,比如青春。所以啊,趁着青春多写点代码,就能让自己早一步去渴望重新拥有青春了。 有需要的小伙伴可以直…

NPOI的基本使用

在NPOI初识中简了解了下NPOI的简介和优势,接下来看一下如果下载使用。新建一个小的Demo,如下: 第一步,新建一个控制台应用程序: 第二步,利用Nuget获取NPOI, 这里引用的2.4.1最稳定版本: 引用添…

NOP (code)_NOP指令作用及解析

摘自:维基百科 NOP (code) 前言 在计算机科学中,NOP、no-op 或 NOOP(发音为“no op”;no operation 的缩写)是一种机器语言指令及其汇编语言助记符、编程语言语句或不执行任何操作的计算机协议命令。 免费的C语言和l…

C# NOPI导出Excel 设置计算公式,多行表头

说明 现需要导出Excel,统计每个人的工作量,计算方式为:项目分值*项目数量 效果 c#代码 //创建工作簿 MemoryStream MStream new MemoryStream();XSSFWorkbook WBook new XSSFWorkbook(); //创建sheet ISheet sheet WBook.CreateSheet(D…

vb.net读取写入EXCEl的终极方法-NOPI。

据我浅薄的知识,之前只知道两种操作excel的方法: 一。ODBC操作excel 看下图: 1.ODBC 由于初期连接不同的数据库通过各种不同的API,ODBC就是将各种不同的API封装成统一的接口。当sql语句进入接口时驱动器管理器会判断将他们送入对…

unity NOPI 创建word文档

unity NOPI 创建word文档 导入NOPI 所需要的DLL ICSharpCode.SharpZipLib.dll,NPOI.dll,NPOI.OOXML.dll,NPOI.OpenXml4Net.dll,NPOI.OpenXmlFormats.dll 打包还需导入I18N.CJK.dll,I18N.dll,I18N.West.dll 如果导入Dll出错,设…

pnpm — Monorepo

1、安装 pnpm npm i pnpm -g 2、创建Monorepo管理文件夹,这里命名 Monorepo,并创建packages文件夹 3、创建用于定义工作空间的根目录的yaml文件: pnpm-workspace.yaml,并添加 packages:- packages/ ** 4、 pnpm init 5、pn…

NOPI用法之自定义单元格背景色(3)

NPOI针对office2003使用HSSFWorkbook,对于offce2007及以上使用XSSFWorkbook;今天我以HSSFWorkbook自定义颜色为例说明,Office2007的未研究呢 在NPOI中默认的颜色类是HSSFColor,它内置的颜色有几十种供我们选择,如果不…

c# 使用NOPI 操作Excel

最近项目需要导出Excel,找来找去,微软有自己的Excel组件 using Microsoft.Office.Core;using Microsoft.Office.Interop.Excel;,但是有一个毛病,就是程序所在电脑安装Office,这个问题简直是致命的,因为导出服务我们要做在服务端,程序直接生成Excel,然后客户端路径去下载,…

C# NOPI 项目实战(经典)(可下载项目源码)

1 -.首先说明下项目目的: 之前我有写过一篇 "NPOI操作EXCEL" 这篇文章主要介绍了如何安装NPOI,以及NPOI具体如何c#教程使用,并且用具体实例介绍了excel导入到datagridview以及 datagridview如何导出到excel并保存。如果不清楚这块的去我公众…

NOPI将数据导出至EXCEL表格

文章目录 前言一、NPOI优势二、运行逻辑三、安装NOPI组件四、导出Excel---实现代码五、最终效果六、总结 前言 NPOI,就是POI的.NET版本。POI是一套用Java写成的库,能够帮助开发者在没有安装微软Office的情况下读写Office 97-2003的文件,支持的文件格式包…

RabbitMQ原理、集群、基本操作及常见故障处理

本次学习主要针对运维人员,和对rabbitmq不熟悉的开发人员。通过本次学习你将掌握rabbitmq 的基本原理、集群、基本运维操作、常见故障处理。 1、原理与概念 简介 AMQP,即Advanced Message Queuing Protocol,高级消息队列协议,是…

RabbitMQ简易原理及使用

黑马程序员RabbitMQ全套教程,rabbitmq消息中间件到实战_哔哩哔哩_bilibili 尚硅谷RabbitMQ教程丨快速掌握MQ消息中间件_哔哩哔哩_bilibili 安装:CentOS8安装RabbitMQ 3.8.9_wcybaonier的博客-CSDN博客 // config改为conf,rabbitmq以后缀识别&…