毫米波雷达基本原理(1)-测距原理详解
本内容首发在【调皮连续波】公众号,持续更新。
大家好,欢迎来学习毫米波雷达基本原理,本节课将讲授的是毫米波雷达的测距原理。废话不多说,直接进入正题。
1、matlab信号处理如何解算目标的距离的?

LFMCW 雷达发射的信号形式为调频连续波, 发射信号的频率与时间成正比, 反射信号具有同样的信号形式, 但其相对发射信号在时间上有固定延时。如上图 所示为 LFMCW 雷达发射信号与回波信号的频率与时间关系, 发射信号与接收回波信号进行混频, 就可以得到一个单一频率的正弦波信号 v(t), 由于延时td 远小于 T, 根据公式推导, 可以得到差频信号的表达式:

根据上式可以得出, td 与 v(t) 的瞬时频率成正比关系, 得到信号的瞬时频率,就可以得到目标的距离信息。 对差频信号进行 AD 采集, 然后通过一维 FFT 提取信号的频率信息, 假设 FFT 得到频谱的谱峰值为fm , 则目标的距离信息如下:

假设单个扫描周期 AD 采样点数为 N, 采样频率为 Fs, 则上式可表示为:

式中 n 为一维 FFT 谱峰对应的频点, 根据 T、 Fs、 N 之间的关系, 上式可进一步化简为:

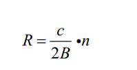
式中 ܿc/2B为雷达的距离分辨率, 可见, 差频信号的一维 FFT 谱峰对应的频点, 即目
标距离门号, 乘以距离分辨率就可得到目标的距离。 根据实验雷达的参数, 可以求得该雷达的距离分辨率∆ܴR:
R = ∆R*n 。
这个公式也就是说,在用matlab计算目标的距离的时候,我们通常得到的是点的序号(距离门号),但是并不是直接得到目标的距离,而这个公式就是通过序号(距离门号)转换成距离的。
例如:

已解算出的目标距离如下:

注意:因为matlab的下标是从1开始的,因此计算的时候R = ∆R*(n-1)
2、距离分辨率如何计算的?
分辨率是指分辨两个或者多个目标的能力。当两个目标在距离上非常接近时,雷达将无法区分这两个物体。
距离分辨率的推导:

如上图所示,中频信号的频率计算公式如下:

斜率乘上雷达发射到接收的时间即可得到频率,如下图所示:

所以可得:

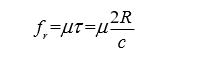
3、最大不模糊距离是怎么回事?



4、雷达探测最大距离如何评估?
对于一款雷达产品,我们最基本的指标就是要评估他的探测距离,那么雷达的探测距离受到哪些因素的干扰呢?
(1)发射功率
发射功率无疑是决定雷达探测距离的决定性因素,根据雷达方程:


计算下面雷达参数的雷达的探测距离:

这组数据是IWR1642实测和理论计算的对比,发现两这差不多,但是根据发射功率推到的雷达方程计算的距离会大一些,这是符合理论的,因为很多情况下我们ADC并没有完全使用有效带宽,所以实际上距离会小一些。至于什么是有效带宽,后面会详细讲解。
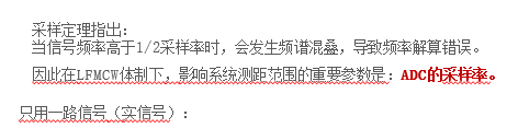
(2)ADC采样率限制
TI毫米波雷达人员检测的ADC采样率是2.5MHz,中频信号(IF)需要通过ADC的采集才能够送入DSP进行处理,因此IF信号的最大值取决于ADC的最大采样率(Fs)。在实际中,1X采样模式时,ADC的采样率被限制为0.9*(ADC sample)。2X的采样模式下,ADC的采样率被限制为0.9*(ADC sample)/2。TI毫米波雷达ADC的最大采样率为37.5MHz。
如图所示,是推导过程。

在上述公式中,Fs为AD采样频率,c为光速,S为调频斜率。因此,AD的采样频率限制了雷达的最远探测距离。同时还受到了调频斜率的限制,调频斜率大(带宽大),即雷达探测距离近;调频斜率小(带宽小),雷达探测距离远,即雷达的发射带宽和探测距离之间成反比关系。
(3)调频斜率限制
上述推论已经证明,在ADC采样频率固定的条件下,最大探测距离和调频斜率成反比,即调频斜率越大,探测距离越近;调频斜率越小,探测距离越远。而在发射周期时间固定的条件下,带宽和探测距离成反比,带宽越大,探测距离越近,带宽越小,探测距离越远。
5、发射信号的有效带宽?

上图是TI毫米波雷达的波形参数配置图,在CFG文件中的配置参数如下:

所以可知:
雷达的斜率:68MHz/us;
雷达的ADC采集时间:58-7=51us;
信号的最大带宽:5868=3944MHz(4GHz),
发射信号带宽:5168=3468MHz
发射信号的真实带宽:68*(256/5500)=3165MHz;
距离分辨率:4.32cm;(真实距离分辨率:C/2B=4.73cm)
发射信号的真实带宽就是发射信号的有效带宽,这个带宽才能真正决定我们的雷达能够探测多远。
好了,基本距离测量的原理差不多就是这些了。


















