深入理解什么是Beta分布

article/2025/10/15 16:52:30

例一

Beta分布是一种描述概率的概率分布,这句话可能有些绕口,看一个例子:

以抛硬币为例,如果硬币是均匀的,并且正面朝上的概率记为p(p=0.5),那么每一次抛硬币都可以看做是一次伯努利实验,它服从0-1分布

如果我们把硬币抛了n次,并且想要计算,在这n次当中,硬币正面朝上的次数的概率,那么它应该是服从 X~B(n,p) ,即二项分布

二项分布可以看做是多次重复进行伯努利实验所得到的分布。

但是,如果假设我们事先并不知道硬币是否均匀,也就是说正面朝上的概率p是未知的,但显然 p 仍在[0,1] 区间之间,在这种情况下,比方说我们抛硬币10000次,其中正面朝上7000次,那么可以得到 p = 0.7,但是显然我们并不能肯定p就是0.7,如果我们再进行10000次抛硬币实验,可能正面朝上6000次,那么p就等于0.6了。那么,在多次重复进行二项分布的实验中,我们想要知道p的所有可能取值的概率,这就是一个Beta分布。(因为p就是描述正面朝上的概率,而Beta分布描述的是p的概率,因此称Beta分布可以看做是一个概率的概率分布)

正如二项分布可以看做是重复进行伯努利实验所得到的分布,Beta分布可以看做是重复进行二项分布所得到的分布。

通过例一,你可能已经对Beta分布有了一个直观的了解,接下来看例二。


例二

在进行例二之前,我们先引入Beta分布,一般来说,我们可以将Beta分布记为Beta(a,b),其中a是成功的次数,b是失败的次数。

同时,我们需要知道一些概念,在贝叶斯公式中,有:

在这里插入图片描述
这里的 θ 是未知参数,data是样本数据,P(θ|data)被称为后验分布,P(data|θ)被称为似然函数,P(θ) 被称为先验分布,作为分母的P(data)因为不涉及到θ,因此可以被视为常数,不去考虑。

暂时知道这些就可以了。

仍以抛硬币为例,假设现在是在进行一场比赛,以抛硬币得到正面朝上的次数最多的人获胜。现有甲、乙两个人参赛。

先验分布:

在比赛开始之前,我们假设对硬币朝上的概率一无所知,一无所知就意味着任何概率都是等可能的,Beta(1,1)可以表示这样的分布:
在这里插入图片描述

甲选手比较正直,他使用的可能是均匀的硬币,即得到正面或者反面的概率是一样的,我们可以用Beta(5,5)来表示这样的分布:
在这里插入图片描述
这里纵轴的值先不用去理会,我们看横轴,可以看到p=0.5的概率最大,因为甲选手使用的是均匀的硬币。

乙选手善于使诈,他可能使用了作弊的硬币,也就是说每抛一次硬币几乎都会得到正面朝上的结果,我们用Beta(5,1)来表示这样的分布:
在这里插入图片描述

后验分布:

用Beta分布来模拟硬币的先验分布后,通过贝叶斯估计,得到的后验分布依然是Beta分布。

我们假设甲乙两选手在比赛中各自抛了3次硬币,甲选手三次均得到正面朝上,用Beta分布来表示即:
在这里插入图片描述
可以看到图像的中心右移了,尽管作弊可能性有所增加,但总体还是公平参赛的可能性大。

乙选手抛掷三次硬币同样得到三次正面朝上,那么用Beta分布表示即:
在这里插入图片描述
右移的更加厉害,几乎已经可以确认乙选手作弊。

通过这个例子,相信你对Beta分布会有一个更加深刻的认知。


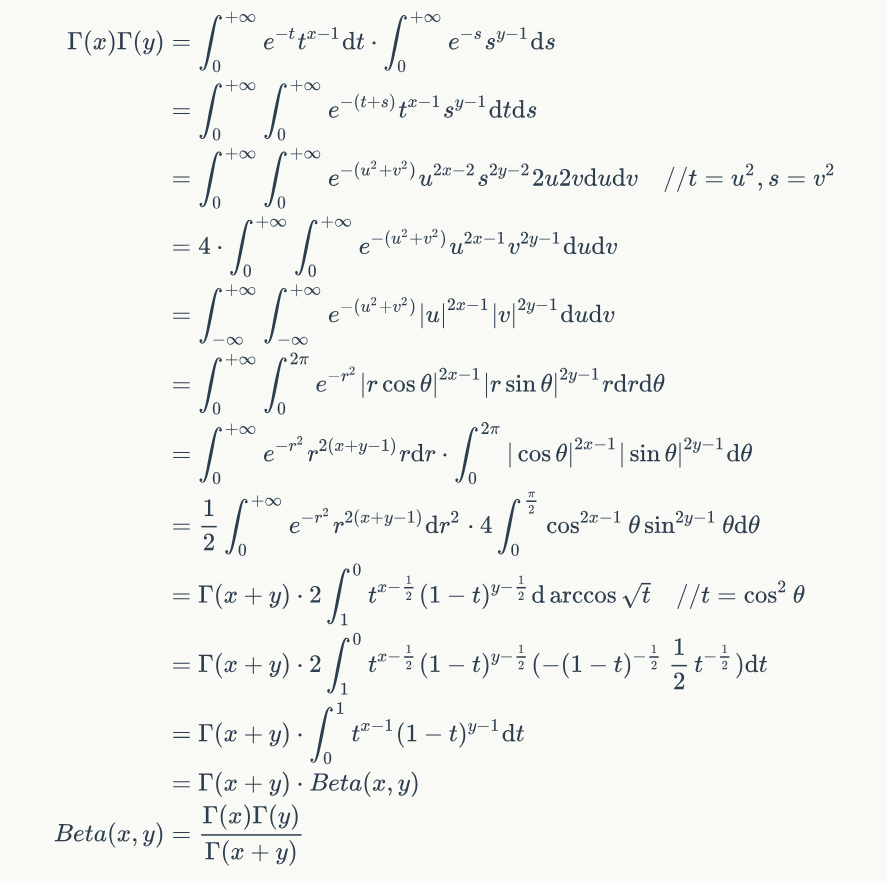
Beta分布的公式推导

在这里插入图片描述
关于伽马函数

关于Beta函数与伽马函数之间的关系式的那个推导:
在这里插入图片描述
在这里插入图片描述

Beta分布的性质:
在这里插入图片描述
在这里插入图片描述
在这里插入图片描述


共轭分布与共轭先验分布:
在这里插入图片描述
Beta分布是二项分布的共轭先验分布。

参考:

如何通俗理解 beta 分布? - 马同学的回答 - 知乎

暴力推导 Beta 函数与 Gamma 函数关系式


http://chatgpt.dhexx.cn/article/n2QSBamS.shtml

相关文章

贝塔分布(beta分布)及Python实现——计算机视觉修炼之路(二)

beta分布 贝塔分布( Beta Distribution ) 是一个作为伯努利分布和二项式分布的共轭先验分布的密度函数,在机器学习和数理统计学中有重要应用。在概率论中,贝塔分布,是指一组定义在(0,1)区间的连续概率分布。其概率密度函数为&…

Beta分布(概率的概率)

目录 1.前言 2.定义 3.Beat分布的概率密度函数(PDF): 4.Beat分布的累积密度函数(CDF): 1.前言 伯努利试验(同样的条件下重复地、相互独立地进行的一种随机试验,其特点是该随机试验…

伽马分布与 贝塔分布

伽马函数 称 为伽马函数,其中参数 ,伽马函数具有如下性质: ,n为自然数;或写作 余元公式:对于 ,有 与贝塔函数 的关系 : 对于 ;伽马函数是严格凹函数。x足够大时,可以用Stirling 公式来计算Gam…

贝塔、伽马分布

最近开始自学PRML,为此又补了概率论中的一些知识点。 相较于古典概率通过各种估计手段来确定参数的分布,贝叶斯学派则是使用后验概率来确定,为了方便计算后验概率,引入共轭先验分布来方便计算,这是后话了。 那么一些…

贝塔分布

B e t a Beta Beta分布 众所周知,当一个随机变量 Y Y Y的密度函数如下所示时,称这个变量 Y Y Y满足 B e t a ( a , b ) Beta(a,b) Beta(a,b)分布: f ( y ) y a − 1 ( 1 − y ) b − 1 ∫ 0 1 y a − 1 ( 1 − y ) b − 1 d y y a − 1 (…

数据科学分布——Beta分布

Beta分布 概念参数影响数量比例 随机产生数据概率密度函数累积概率密度函数 概念 贝塔分布(Beta Distribution) 是一个作为伯努利分布和二项式分布的共轭先验分布的密度函数,在机器学习和数理统计学中有重要应用。在概率论中,贝塔分布&#…

Beta分布及其应用

贝塔分布(Beta Distribution)是一个连续的概率分布,它只有两个参数。它最重要的应用是为某项实验的成功概率建模。在本篇博客中,我们使用Beta分布作为描述。 原文地址:http://www.datalearner.com/blog/1051505532393…

机器学习中的数学——常用概率分布(十):贝塔分布(Beta分布)

分类目录:《机器学习中的数学》总目录 相关文章: 常用概率分布(一):伯努利分布(Bernoulli分布) 常用概率分布(二):范畴分布(Multinoulli分布&am…

NLPIR分词系统的使用

前身是2000年发布的ICTCLAS,2009年更为现名。张华平博士打造。 Java课设做自动问答系统,用到了,所以记录一下使用方法,网上方法可能有点老,所以自己发现没有那么复杂。 https://github.com/NLPIR-team/NLPIR 上下载源…

分词系统

ICTClAS分词系统是由中科院计算所的张华平、刘群所开发的一套获得广泛好评的分词系统,难能可贵的是该版的Free版开放了源代码,为我们很多初学者提供了宝贵的学习材料。 但有一点不完美的是,该源代码没有配套的文档,阅读起来可能有…

中科院分词ICTCLAS汉语分词系统简单配置

汉语分词一直来说都是进行文本分析的瓶颈,这里介绍一个汉语分词系统ICTCLAS,全球很受欢迎的汉语分词开源系统,曾获得首界国际分词大赛综合排名第一,国家973评测第一名;支持词典,多级词性标注,支…

智能语言-中科院分词系统ICTCLAS(NLPIR)

智能语言的处理中,第一个步骤就是分词。一个句子处理的第一步就是分词了,目前而言中文分词中效果最好的就是中科院分词系统。在2014版本以及之前称为ICTCLAS,之后的版本都更名为NLPIR。 我给出一个最简单的使用教程,能够帮助新手…

NLPIR(北理工张华平版中文分词系统)的SDK(C++)调用方法

一、本文内容简介 关于中文分词的基本概念关于NLPIR(北理工张华平版中文分词系统)的基本情况具体SDK模块(C版)的组装方法 二、具体内容 1. 中文分词的基本概念 中文分词是自然语言处理的一个分支,自然语言即人们在日常生活中使用的语言,包含书面语,口…

哈工大中文分词系统LTP(pyltp)学习笔记

一、LTP简介 介绍:语言技术平台(LTP) 提供包括中文分词、词性标注、命名实体识别、依存句法分析、语义角色标注等丰富、高效、精准的自然语言处理技术。经过 哈工大社会计算与信息检索研究中心 11 年的持续研发和推广,LTP已经成为国内外最具影响力的中文…

比较热门好用的开源中文分词软件系统有哪些?

在逐渐步入DT(Data Technology)时代的今天,自然语义分析技术越发不可或缺。对于我们每天打交道的中文来说,并没有类似英文空格的边界标志。而理解句子所包含的词语,则是理解汉语语句的第一步。汉语自动分词的任务&…

中科院分词系统整理笔记

NLPIR简介 一套专门针对原始文本集进行处理和加工的软件,提供了中间件处理效果的可视化展示,也可以作为小规模数据的处理加工工具。可以使用该软件对自己的数据进行处理。 NLPIR分词系统前身为2000年发布的ICTCLAS词法分析系统,从2009年开始&…

NLPIR汉语分词系统

灵玖软件:www.lingjoin.com 应各位ICTCLAS用户的要求,张华平博士正式发布ICTCLAS2013 版本,为了与以前工作进行大的区隔,并推广NLPIR自然语言处理与信息检索共享平台,从本版本开始,系统名称调整为NLPIR汉…

使用NLPIR汉语分词系统进行分词

今天尝试了用张华平博士打造的汉语分词系统进行分词测试,遇到了一些问题,最终还是分词成功,首先感谢NLPIR提供的源码及资料,现将使用过程中遇到的问题及解决方法分享出来,仅供参考。 NLPIR提供了多种开发接口&#xf…

php中文分词nlp,几种常见的PHP中文分词系统

因为要做毕业设计,可能需要相关知识,所以在此总结一下常见的中文分词系统。 1)HTTPCWS – 基于HTTP协议的开源中文分词系统 张宴的作品,基于ICTCLAS 3.0 共享版,分词精度98.45%。可以采用HTTP方式调用借口。 2)SCWS – 简易中文分…

基于Java实现的中文分词系统

资源下载地址:https://download.csdn.net/download/sheziqiong/85941192 资源下载地址:https://download.csdn.net/download/sheziqiong/85941192 目录 1.问题描述 2.相关工作 3.系统框架和算法设计 3.1系统整体框架 3.2基于HMM模型分词算法设计 3…