文章目录
- 1. 基本概念
- 2. 系统的状态空间描述
- 状态空间描述框图
- 状态变量选取的非唯一性
- 3. 由系统微分方程列写状态空间表达式
- 一.微分方程中不包含输入函数的导数项
- 相变量法
- 其他方法:
- 二.微分方程中包含输入函数的导数项
- 4. 由传递函数列写状态空间表达式
- 直接实现
- 串联实现
- 并联实现
- 由系统方框图画出状态空间表达式
- 例题 1
- 例题 2
- 5. 系统的传递函数矩阵
- 例题 1
- 例题 2
- 6. 状态方程的线性变换
- 线性变换的基本概念与性质
- 例题
- 变换成对角线标准型状态方程
- 例题 1
- 变换成约当标准型状态方程
- 变换方法
- 例题
- 由可控标准型变换成对角线标准型
- 例题
1. 基本概念
在对控制系统进行动态分析和研究时,首先需要建立系统的数学描述,即数学模型。
在经典控制理论中,只表明系统输入-输出关系的数学描述通常是微分方程(或差分方程)、传递函数(代数方程)或方框图。
在现代控制理论中,对于系统的数学描述除了表达系统的输入-输出关系外,还要加上反映系统内部状态变化的参量-状态变量,这种描述方法称状态空间描述。其数学模型为状态空间方程。
基本概念:
- 状态
指系统的运动状态(可以是物理的或非物理的)。状态可以理解为系统记忆, t = t 0 t=t_0 t=t0 时刻的初始状态能记忆系统在 t < t 0 t<t_0 t<t0 时刻全部输入信息。 - 状态变量
动态系统的状态变量是确定动态系统状态的数量最少的一组变量 - 状态向量
如果完全描述一个系统的动态行为需要 n 个状态变量,那么可将这 n 个状态变量看作向量 x ( t ) x(t) x(t) 的各个分量, x ( t ) x(t) x(t) 就叫状态向量。表示为:
x ( t ) = [ x 1 ( t ) x 2 ( t ) ⋮ x n ( t ) ] x(t)=\begin{bmatrix} x_1(t)\\x_2(t)\\ \vdots\\x_n(t)\\ \end{bmatrix} x(t)=⎣⎢⎢⎢⎡x1(t)x2(t)⋮xn(t)⎦⎥⎥⎥⎤ - 状态空间
容纳状态向量的空间 - 状态方程
由系统的状态变量构成的一阶微分方程组,称为状态方程。反映系统中状态变量和输入变量间的因果关系,也反映每个状态变量对时间的变化关系。 - 输出方程
在指定输出的情况下,该输出与状态变量和输入之间的函数关系反映系统中输出变量与状态变量和输入变量的因果关系。 - 状态空间描述
包括状态方程和输出方程。涉及:输入变量、输出变量和状态变量
2. 系统的状态空间描述
经典控制理论:线性定常单输入-单输出( SISO )系统
现代控制理论:可以是线性定常 SISO 系统,也可以是多输入-多输出( MIMO )系统,线性或非线性系统,定常或时变系统,其本质是一种时域方法
例题:对于系统微分方程: y ′ ′ ′ + 6 y ′ ′ + 41 y ′ + 7 y = 6 u y'''+6y''+41y'+7y=6u y′′′+6y′′+41y′+7y=6u ,零初始条件下,对其进行拉氏变换得到:
G ( s ) = Y ( s ) U ( s ) = 6 s 3 + 6 s 2 + 41 s + 7 G(s)=\frac {Y(s)} {U(s)}=\frac 6 {s^3+6s^2+41s+7} G(s)=U(s)Y(s)=s3+6s2+41s+76
经典控制理论中,稳定性分析是通过闭环特征方程的根在复平面上的位置来进行的,其动态响应分析是通过某一输入下的 Y ( s ) Y(s) Y(s) 进行拉式反变换求得。
现代控制理论中,我们用状态变量来描述其内部的状态 ,并且确定其状态变量与系统的输入和输出的关系 ( 内部描述)。
假设状态变量: { x 1 = y x 2 = x 1 ˙ = y ˙ x 3 = x 2 ˙ = x 1 ¨ = y ¨ \left\{\begin{matrix} x_1=y\\ x_2=\dot{x_1}=\dot y\\ x_3=\dot{x_2}=\ddot{x_1}=\ddot{y} \end{matrix}\right. ⎩⎨⎧x1=yx2=x1˙=y˙x3=x2˙=x1¨=y¨
用一阶微分方程组表示为:
{ x ˙ 1 = x 2 x ˙ 2 = x 3 x ˙ 3 = 6 u − 6 x 3 − 41 x 2 − 7 x \left\{\begin{matrix} \dot x_1=x_2\\ \dot x_2=x_3\\ \dot x_3=6u-6x_3-41x_2-7x \end{matrix}\right. ⎩⎨⎧x˙1=x2x˙2=x3x˙3=6u−6x3−41x2−7x
可以用矩阵和向量的形式表示(状态方程):
其输出与状态变量的关系也可用向量和矩阵表示为(输出方程):
对于线型定常系统,其属性模型为:
系统有 r 个 输入变量, n 个状态变量, m 个 输出变量;一般 r ≤ n r\le n r≤n
系统的状态方程为:
或者表示为:
x ˙ ( t ) = A x ( t ) + B u ( t ) \dot x(t)=Ax(t)+Bu(t) x˙(t)=Ax(t)+Bu(t)
A 为 n×n 的常系数矩阵,称作系统矩阵 ; B 为 n×r 的常系数矩阵,称作控制矩阵。 A 与 B 都由系统本身的参数决定。 u 是输入信号, x 是状态向量。
系统的输出方程:
用向量和矩阵表示为:
y ( t ) = C x ( t ) + D u ( t ) y(t)=Cx(t)+Du(t) y(t)=Cx(t)+Du(t)
C 为 m×n 的常系数矩阵,称为输出矩阵,它表达了输出变量与状态变量之间的关系; D 为 m×r 的常系数矩阵,称为直接转移矩阵,它表示输入变量通过矩阵 D 直接转移到输出。在大多数实际系统中, D=0 。 y 是输出, x 是系统状态, u 是输入。
状态空间描述=状态方程+输出方程
对于 连续时间系统(无论线性或非线性,时变或时不变)其状态空间表达式一般可表示为:
对于 线性定常连续系统 ,状态空间表达式可表示为:
对于 线性时变连续系统 ,状态空间表达式可表示:
状态空间描述框图
对于 线性定常连续系统 ,状态空间表达式可表示为:
可以使用方框图描述:
例题:
画出上面例题中的状态框图:
答案:
状态变量选取的非唯一性
同一个系统可以选取不同的变量作为状态变量
例题:
已知系统的微分方程为: y ′ ′ ′ + 6 y ′ ′ + 41 y ′ + 7 y = 6 u y'''+6y''+41y'+7y=6u y′′′+6y′′+41y′+7y=6u ,若要建立系统的状态空间表达式,可采用以下两种不同方法选取状态变量。
注意:对于同一系统,其状态变量虽然可按不同方法选取,但状态变量的数目却是唯一的(相同的),它由系统微分方程的阶数决定。
3. 由系统微分方程列写状态空间表达式
一个动态系统,常用微分方程来描述其输入-输出的关系。通过选取合适的状态变量可以建立系统的状态空间表达式。
分两种情况分析:
一.微分方程中不包含输入函数的导数项
二.微分方程中包含输入函数的导数项
一.微分方程中不包含输入函数的导数项
微分方程形式如下:
y ( n ) + a n − 1 y ( n − 1 ) + . . . + a 1 y ˙ + a 0 y = b 0 u y^{(n)}+a_{n-1}y^{(n-1)}+...+a_1\dot y+a_0 y=b_0 u y(n)+an−1y(n−1)+...+a1y˙+a0y=b0u
相变量法
-
相变量法选取状态变量
令 x 1 = y x_1 = y x1=y
-
则状态空间表达式为
-
其状态框图
其他方法:
- 令 x 1 = y x_1 = y x1=y
二.微分方程中包含输入函数的导数项
微分方程形式如下:
y ( n ) + a n − 1 y ( n − 1 ) + . . . + a 1 y ˙ + a 0 y = b 0 u + b 1 u ˙ + . . . + b r u ( r ) y^{(n)}+a_{n-1}y^{(n-1)}+...+a_1\dot y+a_0 y=b_0 u+b_1\dot u+...+b_ru^{(r)} y(n)+an−1y(n−1)+...+a1y˙+a0y=b0u+b1u˙+...+bru(r)
要写出其一阶微分方程组,按以往方法(相变量法)将导致含 u 的各阶导数(而不是一阶微分方程)!
因此状态变量的选取需采用另外的形式。
- 状态变量的选取
则状态方程为:
但是其中 x n + 1 x_{n+1} xn+1 与 β 1 , β 2 , . . . , β n \beta_1,\beta_2,...,\beta_n β1,β2,...,βn 未知,若能求出这些,则该状态方程就确定了。 - 使用待定系数法求 x n + 1 x_{n+1} xn+1 与 β 1 , β 2 , . . . , β n \beta_1,\beta_2,...,\beta_n β1,β2,...,βn
带入微分方程
由于微分方程式两边相等
即
而由方程两边对应的输入及其各阶导数项的系数相等,可得
即
β i = b n − i − ∑ k = 1 i a n − k β i − k \beta_i=b_{n-i}-\sum_{k=1}^i a_{n-k}\beta_{i-k} βi=bn−i−k=1∑ian−kβi−k
3. 写出状态空间方程
- 画其状态框图:
例题:
对于微分方程:
,写出其状态空间表达式
注意:当微分方程的输入含导数项时,其状态空间表达式形式很繁琐,需要记忆的东西太多。
解决方法:一般将微分方程转换为传递函数,由传递函数来实现状态空间描述,具体方法见下节。
4. 由传递函数列写状态空间表达式
传递函数本质上与微分方程是等同的,但有些情况下我们首先容易获得的是系统的传递函数。
由传递函数写出状态方程称为传递函数的实现,亦称传递函数的分解,其实现方法有:直接实现、串联实现和并联实现。下面仅讨论单输入-单输出( SISO )系统的实现方法。
直接实现
系统模型:
Y ( s ) U ( s ) = b m s m + b m − 1 s m − 1 + ⋯ + b 1 s + b 0 s n + a n − 1 s n − 1 + ⋯ + a 1 s + a 0 \frac {Y(s)} {U(s)} = \frac {b_ms^m+b_{m-1}s^{m-1}+\cdots+b_1s+b_0} {s^n+a_{n-1}s^{n-1}+\cdots+a_1s+a_0} U(s)Y(s)=sn+an−1sn−1+⋯+a1s+a0bmsm+bm−1sm−1+⋯+b1s+b0
式中, m 为分子阶次, n 为分母阶次。若 m=n ,系统模型称作正常型;若 m<n ,系统模型则称作严格正常型。 m ≤ n m\le n m≤n 的原因是:输出必定会滞后于输入,不可能超前于输入。
下面以 m=n 时的正常型为例介绍其直接实现步骤。
- 将正常型传递函数化为严格正常型
Y ( s ) U ( s ) = b n s n + b n − 1 s n − 1 + ⋯ + b 1 s + b 0 s n + a n − 1 s n − 1 + ⋯ + a 1 s + a 0 = b n + b n − 1 ′ s n − 1 + ⋯ + b 1 ′ s + b 0 ′ s n + a n − 1 s n − 1 + ⋯ + a 1 s + a 0 \frac {Y(s)} {U(s)} = \frac {b_ns^n+b_{n-1}s^{n-1}+\cdots+b_1s+b_0} {s^n+a_{n-1}s^{n-1}+\cdots+a_1s+a_0}\\= b_n+\frac {b'_{n-1}s^{n-1}+\cdots+b'_1s+b'_0} {s^n+a_{n-1}s^{n-1}+\cdots+a_1s+a_0} U(s)Y(s)=sn+an−1sn−1+⋯+a1s+a0bnsn+bn−1sn−1+⋯+b1s+b0=bn+sn+an−1sn−1+⋯+a1s+a0bn−1′sn−1+⋯+b1′s+b0′
式中:
{ b n − 1 ′ = b n − 1 − b n a n − 1 ⋮ b 0 ′ = b 0 − b n a 0 \left\{\begin{matrix} b'_{n-1}=b_{n-1}-b_na_{n-1}\\ \vdots\\ b'_{0}=b_{0}-b_na_{0} \end{matrix}\right. ⎩⎪⎨⎪⎧bn−1′=bn−1−bnan−1⋮b0′=b0−bna0
下面对严格正常型传递函数进行分解
首先将分子分母分开
假设:
Z ( s ) U ( s ) = b n − 1 ′ s n − 1 + ⋯ + b 1 ′ s + b 0 ′ s n + a n − 1 s n − 1 + ⋯ + a 1 s + a 0 = Z ( s ) X ( s ) X ( s ) U ( s ) \frac {Z(s)} {U(s)}= \frac {b'_{n-1}s^{n-1}+\cdots+b'_1s+b'_0} {s^n+a_{n-1}s^{n-1}+\cdots+a_1s+a_0}=\frac {Z(s)} {X(s)}\frac {X(s)} {U(s)} U(s)Z(s)=sn+an−1sn−1+⋯+a1s+a0bn−1′sn−1+⋯+b1′s+b0′=X(s)Z(s)U(s)X(s)
令:
X ( s ) U ( s ) = 1 s n + a n − 1 s n − 1 + ⋯ + a 1 s + a 0 \frac {X(s)} {U(s)}=\frac 1 {s^n+a_{n-1}s^{n-1}+\cdots+a_1s+a_0} U(s)X(s)=sn+an−1sn−1+⋯+a1s+a01
Z ( s ) X ( s ) = b n − 1 ′ s n − 1 + ⋯ + b 1 ′ s + b 0 ′ \frac {Z(s)} {X(s)}=b'_{n-1}s^{n-1}+\cdots+b'_1s+b'_0 X(s)Z(s)=bn−1′sn−1+⋯+b1′s+b0′
则:
Y ( s ) = b n U ( s ) + Z ( s ) Y(s)=b_nU(s)+Z(s) Y(s)=bnU(s)+Z(s) - 列写状态变量及状态方程
对于 X ( s ) U ( s ) = 1 s n + a n − 1 s n − 1 + ⋯ + a 1 s + a 0 \frac {X(s)} {U(s)}=\frac 1 {s^n+a_{n-1}s^{n-1}+\cdots+a_1s+a_0} U(s)X(s)=sn+an−1sn−1+⋯+a1s+a01
有
x ( n ) + a n − 1 x ( n − 1 ) + ⋯ + a 1 x ˙ + a 0 x = u x^{(n)}+a_{n-1}x^{(n-1)}+\cdots+a_1\dot x+a_0x=u x(n)+an−1x(n−1)+⋯+a1x˙+a0x=u
用相变量法假设状态变量,得状态方程为:
写成向量与矩阵的形式:
式中所表示的状态方程也叫做可控标准型状态方程
3. 列写系统的输出方程
Z ( s ) X ( s ) = b n − 1 ′ s n − 1 + ⋯ + b 1 ′ s + b 0 ′ \frac {Z(s)} {X(s)}=b'_{n-1}s^{n-1}+\cdots+b'_1s+b'_0 X(s)Z(s)=bn−1′sn−1+⋯+b1′s+b0′
有:
z = b 0 ′ x + b 1 ′ x ˙ + ⋯ + b n − 1 ′ x ( n − 1 ) = b 0 ′ x 1 + b 1 ′ x 2 + ⋯ + b n − 1 ′ x n z=b'_0x+b'_1\dot x+\cdots+b'_{n-1}x^(n-1)\\=b'_0x_1+b'_1x_2+\cdots+b'_{n-1}x_n z=b0′x+b1′x˙+⋯+bn−1′x(n−1)=b0′x1+b1′x2+⋯+bn−1′xn
- 画状态框图
例题:
串联实现
Y ( s ) U ( s ) = b n ⋅ s + z 1 s + p 1 ⋅ s + z 2 s + p 2 ⋯ s + z n s + p n , ( m = n ) \frac {Y(s)} {U(s)}=b_n\cdot\frac{s+z_1}{s+p_1}\cdot\frac{s+z_2}{s+p_2}\cdots\frac{s+z_n}{s+p_n},(m=n) U(s)Y(s)=bn⋅s+p1s+z1⋅s+p2s+z2⋯s+pns+zn,(m=n)
或者
Y ( s ) U ( s ) = b n ⋅ s + z 1 s + p 1 ⋅ s + z 2 s + p 2 ⋯ s + z m s + p m ⋅ b m s + p m + 1 ⋅ 1 s + p n , ( m ≤ n ) \frac {Y(s)} {U(s)}=b_n\cdot\frac{s+z_1}{s+p_1}\cdot\frac{s+z_2}{s+p_2}\cdots\frac{s+z_m}{s+p_m}\cdot\frac{b_m}{s+p_{m+1}}\cdot\frac 1 {s+p_n},(m\le n) U(s)Y(s)=bn⋅s+p1s+z1⋅s+p2s+z2⋯s+pms+zm⋅s+pm+1bm⋅s+pn1,(m≤n)
①此处零点和极点均为实数;
②状态变量的选取尽量考虑其物理意义;
③处理方法采用将系统分解为若干个串联子环节,如下图所示
- 首环节处理
令 Y 1 ( s ) U ( s ) = s + z 1 s + p 1 = 1 + z 1 − p 1 s + p 1 \frac{Y_1(s)}{U(s)}=\frac {s+z_1}{s+p_1}=1+\frac {z_1-p_1}{s+p_1} U(s)Y1(s)=s+p1s+z1=1+s+p1z1−p1
设状态变量为 x 1 x_1 x1 ,并且令 X 1 ( s ) U ( s ) = z 1 − p 1 s + p 1 \frac{X_1(s)}{U(s)}=\frac {z_1-p_1}{s+p_1} U(s)X1(s)=s+p1z1−p1
对上面两个式子进行拉式反变换
则首环节的状态框图如下图所示:
- 中间环节处理
其中 y i − 1 y_{i-1} yi−1 相当于 y i y_i yi 的输入,相当于首环节的 u
可得
状态框图如图所示
对于
,设
,这里 x i = y i x_i=y_i xi=yi
得其状态方程为
,输出方程为
状态框图为:
- 末环节处理与前类似
- 系统状态空间表达式
状态框图为:
并联实现
对于系统传递函数: Y ( s ) U ( s ) = b m s m + b m − 1 s m − 1 + ⋯ + b 1 s + b 0 s n + a n − 1 s n − 1 + ⋯ + a 1 s + a 0 \frac {Y(s)} {U(s)} = \frac {b_ms^m+b_{m-1}s^{m-1}+\cdots+b_1s+b_0} {s^n+a_{n-1}s^{n-1}+\cdots+a_1s+a_0} U(s)Y(s)=sn+an−1sn−1+⋯+a1s+a0bmsm+bm−1sm−1+⋯+b1s+b0 ,若进行因式分解以后写成如下形式:
上式表达的传递函数的并联分解形式,由其并联形式写出状态方程和输出方程,关键是 c i c_i ci 和 c j c_j cj 的求解,这在经典控制理论中已经讲过。
- 对于无重极点情况,令
则有
系统状态空间表达式为:
状态方程为对角线标准型 - 对于有重极点( − p 1 -p_1 −p1 为 k 重极点)情况,令
Y i ( s ) = c i X i ( s ) Y_i(s)=c_iX_i(s) Yi(s)=ciXi(s)
即 X i ( s ) = X i + 1 ( s ) s + p 1 X_i(s)=\frac {X_{i+1}(s)}{s+p_1} Xi(s)=s+p1Xi+1(s)
而对于非重极点项,与第一种情况相同,令 X j ( s ) U ( s ) = 1 s + p j \frac {X_j(s)}{U(s)}=\frac 1 {s+p_j} U(s)Xj(s)=s+pj1
可得:
得到其状态空间表达式
状态方程为 Jordan 标准型.
画出无重极点时系统并联实现的状态框图如下:
由系统方框图画出状态空间表达式
例题 1
解:首先选择状态变量如图所示:
要写状态方程,需要状态变量间的关系及其与输入变量之间的关系:
系统状态空间表达式为:
例题 2
已知系统方框图如图所示,写出其状态空间表达式
解:要写状态方程,需要状态变量间的关系及其与输入变量之间的关系:
5. 系统的传递函数矩阵
系统的传递函数矩阵是系统数学模型的另一种描述。
对于状态空间表达式:
{ x ˙ = A x + B u y = C x + D u \left\{\begin{matrix} \dot x=Ax+Bu\\ y=Cx+Du \end{matrix}\right. {x˙=Ax+Buy=Cx+Du
零初始条件下进行拉普拉斯变换得:
{ s X ( s ) = A X ( s ) + B U ( s ) Y ( s ) = C X ( s ) + D U ( s ) \left\{\begin{matrix} s X(s)=A X(s)+B U(s)\\ Y(s)=C X(s)+D U(s) \end{matrix}\right. {sX(s)=AX(s)+BU(s)Y(s)=CX(s)+DU(s)
因此:
W ( s ) = Y ( s ) U ( s ) = C ( s I − A ) − 1 B − D W(s)=\frac {Y(s)}{U(s)}=C(sI-A)^{-1}B-D W(s)=U(s)Y(s)=C(sI−A)−1B−D
W(s)称作系统的传递函数矩阵,对于单输入单输出系统,它是一个 1×1 的矩阵,即传递函数。对于多输入多输出系统,它是一个矩阵。
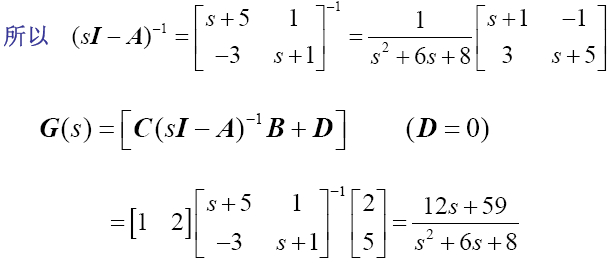
例题 1
例题 2
6. 状态方程的线性变换
在前面几节导出系统状态方程时,可以看到,状态方程可以是相变量型(或可控标准型)、对角线型或约当型,这些标准型对状态方程的分析和进一步处理、运算有不少方便之处,但对具体系统建模时,得到的状态方程并不一定都是上述这些标准型。一般形式的状态方程可以变换成上述标准型,这是本节要讨论的内容。
本节首先介绍线性变换的基本概念,然后讨论对角线标准型和约当标准型以及由可控标准型向对角线标准型和约当标准型的变换。
线性变换的基本概念与性质
线性变换定义:状态 x 与 z 的变换,称为状态的线性变换.
由于状态变量是状态空间中的一组基底,因此,状态变换的实质就是状态空间基底(坐标)的变换。线性变换关系为:
z = P x z=Px z=Px
其中 P 为任意非奇异 n*n 矩阵(行列式不等于 0 ,满秩,可逆)
由于变换矩阵 P 有无穷多,故状态变量不是唯一的。
系统的特征值:对于线性定常系统,系统的特征值是一个重要的概念,它决定了系统的基本特性。有关特征值的概念是从线性代数中提出的。
特征矩阵:设常数矩阵 A = ( A i j ) A=(A_{ij}) A=(Aij) ,则
叫做 A 的特征矩阵。
特征多项式:特征矩阵的行列式
齐次线性方程组: A x = λ x Ax=\lambda x Ax=λx 即 ( λ I − A ) x = 0 (\lambda I-A)x=0 (λI−A)x=0
具有非齐次解的充要条件是: ∣ λ I − A ∣ = 0 |\lambda I-A|=0 ∣λI−A∣=0
矩阵 A 的特征方程: ∣ λ I − A ∣ = 0 |\lambda I-A|=0 ∣λI−A∣=0
矩阵 A 的特征值:特征方程 ∣ λ I − A ∣ = 0 |\lambda I-A|=0 ∣λI−A∣=0 的根,即特征值 λ i ( i = 1 , 2 , . . . , n ) \lambda_i(i=1,2,...,n) λi(i=1,2,...,n)
将某一个特征值代入齐次线性方程组,可得 x 的一组非零解向量,叫做 A 对于 λ i \lambda_i λi 的特征向量。
定义:线型定常系统的状态方程为 x ˙ = A x + B u \dot x=Ax+Bu x˙=Ax+Bu
系统矩阵 A 的特征值即称为系统的特征值。
由于线性定常系统的特征值决定了系统的基本特性。因此,线性变换不改变系统的基本特性。
例题
变换成对角线标准型状态方程
设线性定常系统的动态方程为
{ x ˙ = A x + B u y = C x \left\{\begin{matrix} \dot x=Ax+Bu\\ y=Cx \end{matrix}\right. {x˙=Ax+Buy=Cx
矩阵 A 有不同的特征值 λ i \lambda_i λi ,其所对应的特征向量为 m i m_i mi
要将它换为如下标准型方程。
{ z ˙ = A ˉ x + B ˉ u y = C ˉ x \left\{\begin{matrix} \dot z=\bar Ax+\bar Bu\\ y=\bar Cx \end{matrix}\right. {z˙=Aˉx+Bˉuy=Cˉx
其中 A ˉ = d i a g [ λ 1 λ 2 ⋯ λ n ] \bar A=diag\begin{bmatrix} \lambda_1 &\lambda_2 & \cdots & \lambda_n \end{bmatrix} Aˉ=diag[λ1λ2⋯λn] , B ˉ = [ 1 1 1 1 ] T \bar B={\begin{bmatrix} 1 &1 & 1 & 1 \end{bmatrix}}^T Bˉ=[1111]T
变换方法:
由 M − 1 B = T B ˉ M^{-1}B=T\bar B M−1B=TBˉ 可以求得 B
例题 1
变换成约当标准型状态方程
设线性定常系统的动态方程为
{ x ˙ = A x + B u y = C x \left\{\begin{matrix} \dot x=Ax+Bu\\ y=Cx \end{matrix}\right. {x˙=Ax+Buy=Cx
并且矩阵 A 有 l 个重特征值 λ i \lambda_i λi,每个重特征值的重数为 m i m_i mi 。
要将它换为下述约当标准型方程:
{ z ˙ = J z + B ˉ u y = C ˉ z \left\{\begin{matrix} \dot z=Jz+\bar Bu\\ y=\bar Cz \end{matrix}\right. {z˙=Jz+Bˉuy=Cˉz
其中, J = d i a g [ J 1 , J 2 , ⋯   , J i ] J=diag[J_1,J_2,\cdots,J_i] J=diag[J1,J2,⋯,Ji] 为约当矩阵
其中, J i J_i Ji 是对应于各重数为 m i m_i mi 的重特征值 λ i \lambda_i λi 的约当块。
变换方法
特征向量可以象式( 2-71 )那样分别按特征值逐个计算,从而得到全部特征向量。也可象在式( 2-70 )中那样,不用约当块,而用整个系统的约当型矩阵,将全部向量一次解出。
例题
由可控标准型变换成对角线标准型
设线性定常系统的动态方程为
{ x ˙ = A x + B u y = C x \left\{\begin{matrix} \dot x=Ax+Bu\\ y=Cx \end{matrix}\right. {x˙=Ax+Buy=Cx
上式是可控标准型。
①若矩阵具有互不相同的特征值 λ i ( 1 , 2 , , ) \lambda_i( 1,2, , ) λi(1,2,,) ,则作 x = V z x=Vz x=Vz 变换可将其变换为对角线标准型。其中 V 为范德蒙特矩阵 (Vandermonde Matrix)
②若矩阵 A 具有重特征值
则做变换 x = Vz 可将其变换为约当标准型 ( A ˉ , B ˉ , C ˉ ) (\bar A,\bar B,\bar C) (Aˉ,Bˉ,Cˉ)
其中 V 为范德蒙特矩阵,具有以下形式
例题
解:范德蒙矩阵:
V = ( 1 1 1 − 1 − 2 − 3 1 4 9 ) V=\begin{pmatrix} 1&1&1\\ -1&-2&-3\\ 1&4&9 \end{pmatrix} V=⎝⎛1−111−241−39⎠⎞
A ˉ = V − 1 A V = ( − 1 − 2 − 3 ) \bar A=V^{-1}AV=\begin{pmatrix} -1 & & \\ & -2 & \\ & & -3 \end{pmatrix} Aˉ=V−1AV=⎝⎛−1−2−3⎠⎞
B ˉ = V − 1 B = ( 3 − 1 3 ) \bar B=V^{-1}B=\begin{pmatrix} 3 \\ -1 \\ 3 \end{pmatrix} Bˉ=V−1B=⎝⎛3−13⎠⎞
C ˉ = C V = ( 1 1 1 ) \bar C=CV=\begin{pmatrix} 1&1&1 \end{pmatrix} Cˉ=CV=(111)
若改变顺序 λ 1 = 1 , λ 2 = λ 3 = − 2 \lambda_1=1,\lambda_2=\lambda_3=-2 λ1=1,λ2=λ3=−2
V = ( 1 1 0 − 1 − 2 1 1 4 − 4 ) V=\begin{pmatrix} 1&1&0\\ -1&-2&1\\ 1&4&-4 \end{pmatrix} V=⎝⎛1−111−2401−4⎠⎞
A ˉ = V − 1 A V = ( − 1 − 2 1 − 2 ) \bar A=V^{-1}AV=\begin{pmatrix} -1 & & \\ & -2 & 1\\ & & -2 \end{pmatrix} Aˉ=V−1AV=⎝⎛−1−21−2⎠⎞
B ˉ = V − 1 B = ( 1 − 1 − 1 ) \bar B=V^{-1}B=\begin{pmatrix} 1 \\ -1 \\ -1 \end{pmatrix} Bˉ=V−1B=⎝⎛1−1−1⎠⎞
C ˉ = C V = ( 1 1 0 ) \bar C=CV=\begin{pmatrix} 1&1&0 \end{pmatrix} Cˉ=CV=(110)








![[译]理解PG如何执行一个查询-1](https://img-blog.csdnimg.cn/img_convert/10d0b27d31ad7923560b0962e18f6392.png)







