前言
许多小朋友对于matlab画图函数再熟悉不过了,但是画图里面还有更细小的地方我们还得注意,对于坐标的显示也是我们在日常生活中常需要我们做的,下面我就将以一个例子1来说明在画图中显示坐标的两种形式。
下面的数据取样格式为

提示:以下是本篇文章正文内容,下面案例可供参考
下面案列的整体做法步骤
1.先创建几个空列表,用来容纳数据。
2.读取数据。这里我们用到xlread(“表格地址”)
3.进行plot画图。
4.显示坐标值:
str=num2str();text(x,y,str)
5.title()写入标题;xlabel()横坐标;ylabel()纵坐标;
6.我们用legend()添加图列,location指明图列的位置
代码:
clear;clc
a = [];
b = [];
c = [];
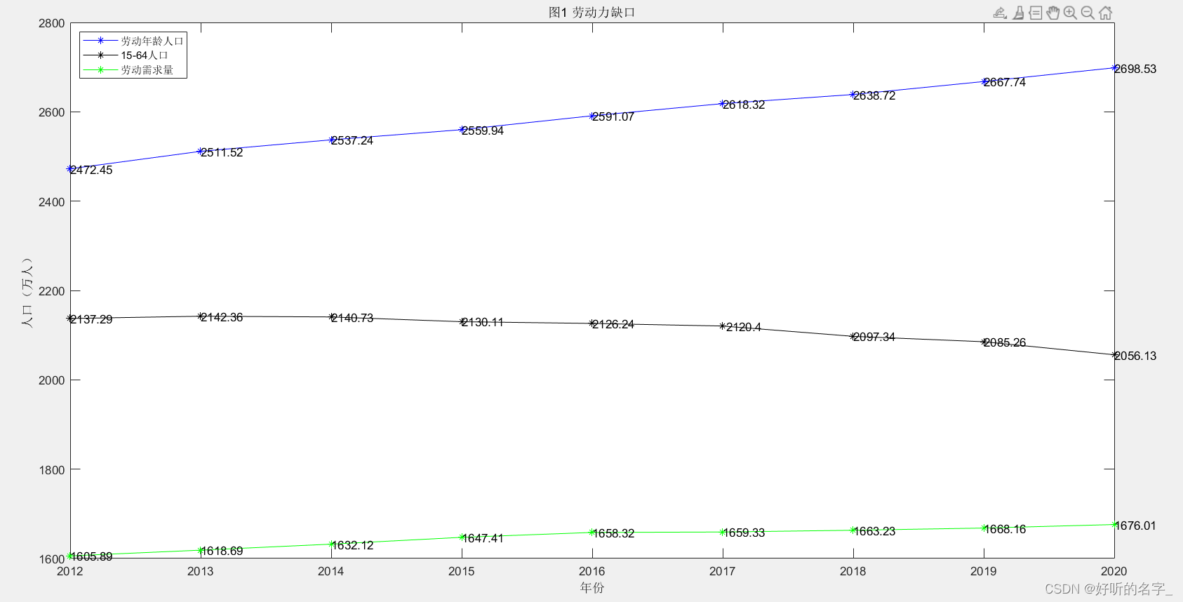
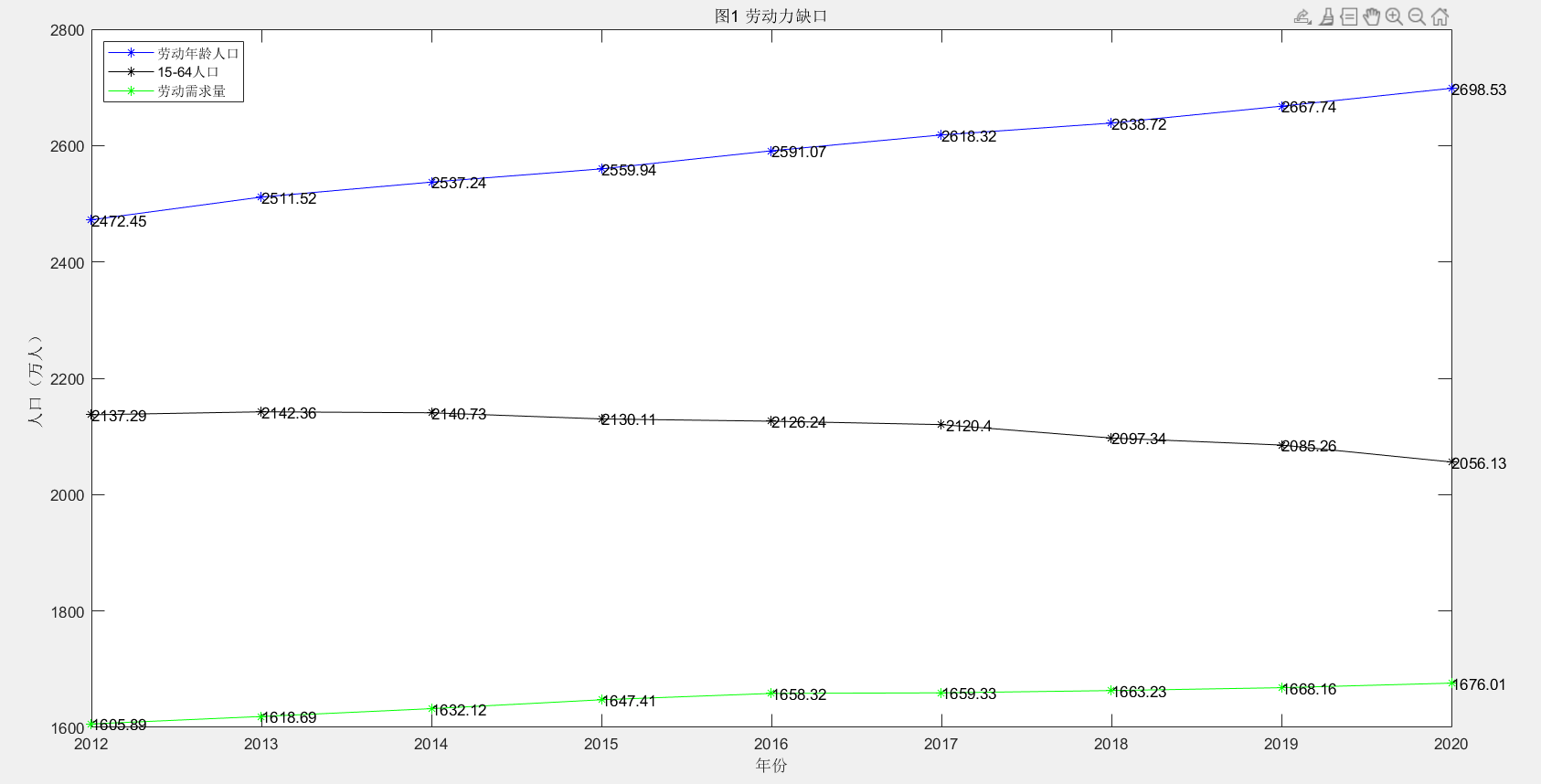
x = [2012:1:2020];
A = xlsread('D:\劳动力缺口.xlsx');%读取文件写入A
a = A(:,2);%读取第二列
b = A(:,3);
c = A(:,4);
plot(x,a,'-*b',x,b,'-*k',x,c,'-*g');
str1=num2str(a);%只显示y值
text(x,a,str1);
str2=num2str(b);%只显示y值
text(x,b,str2);
str3=num2str(c);%只显示y值
text(x,c,str3);% %以坐标形式显示(x,y)
% for i=1:9
% text(x(i),a(i),['(',num2str(x(i)),',',num2str(a(i)),')']);
% end
% for i=1:9
% text(x(i),b(i),['(',num2str(x(i)),',',num2str(b(i)),')']);
% end
% for i=1:9
% text(x(i),c(i),['(',num2str(x(i)),',',num2str(c(i)),')']);
% end
title("图1 劳动力缺口")%标题
xlabel("年份");%x轴
ylabel("人口(万人)");%y轴
legend('劳动年龄人口','15-64人口','劳动需求量','Location','Northwest');%指标区添加图列,location指明图列的位置
只显示纵坐标函数值。

显示坐标:

提示:这里只使用的plot函数画图,并没有把两张图画在一张图上,因为画在一张图上显示的图像非常不好看,数据重叠。可以用subplot函数把多个图画在一张图上不同分布,希望有所帮助
















