Matlab实现伪彩色处理:灰度图像转换为彩色图像

article/2025/10/18 16:35:00

灰度图像可以简单理解为一个灰度值矩阵,其中灰度值的取值范围是[0, 255],且灰度值为整数。

现在需要将这个灰度值矩阵中的每一个值拆分成3个通道(RGB),分别是红色通道(red, R)、绿色通道(green, G)和蓝色通道(blue, B)。这里就需要自己定义一个映射函数,比如我规定灰度值小于128的点,它们对应的红色通道的值为30,就可以写作

R(x,y)=30,\quad\quad X(x,y)<128

这里的R是红色通道矩阵,X是灰度值矩阵。

一般地,给出一个任意的映射函数如下

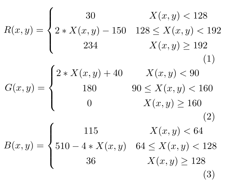
R(x,y)= \left\{\begin{matrix} 30 & X(x,y)<128\\ 2*X(x,y)-150& 128\leq X(x,y)< 192\\ 234& X(x,y)\geq 192 \end{matrix}\right.

则其对应的matlab的转换函数如下

%% 红色通道映射函数
function R = redTransformer(X)
R = zeros(size(X));
R(X < 128) = 30;
R(128 <= X & X < 192) = 2*X(128 <= X & X < 192)-150;
R(192 <= X) = 234;
end

这里的转换函数使用了索引矩阵来简化代码,提高效率,对matlab索引不熟悉的小伙伴可以参考我的这篇博客

matlab核心知识点-索引index运用_ 一只博客-CSDN博客https://blog.csdn.net/qq_42276781/article/details/121715378为了方便理解,这里给出一个一般写法的转换函数

%% 红色通道映射函数,一般写法,不推荐
function R = redTransformer(X)
[row, col] = size(X);
R = zeros(row, col);
for i = 1: rowfor j = 1: colif X(i,j) < 128R(i,j) = 30;elseif X(i,j) < 192R(i,j) = 2*X(i,j)-150;elseR(i,j) = 234;end    end
end
end

类似地,给出三个通道的函数表达式和matlab代码

matlab中的函数可以嵌套,于是我将RGB三色的映射函数均放置在gray2rgb.m文件中。

gray2rgb.m

%% 灰度图转换为彩色图
function I = gray2rgb(X)
R = redTransformer(X);
G = greenTransformer(X);
B = blueTransformer(X);
I(:,:,1) = R;
I(:,:,2) = G;
I(:,:,3) = B;
I = uint8(I);
end%% 红色通道映射函数
function R = redTransformer(X)
R = zeros(size(X));
R(X < 128) = 30;
R(128 <= X & X < 192) = 2*X(128 <= X & X < 192)-150;
R(192 <= X) = 234;
end
%% 绿色通道映射函数
function G = greenTransformer(X)
G = zeros(size(X));
G(X < 90) = 2*X(X < 90)+40;
G(90 <= X & X < 160) = 180;
G(160 <= X) = 0;
end
%% 蓝色通道映射函数
function B = blueTransformer(X)
B = zeros(size(X));
B(X < 64) = 115;
B(64 <= X & X < 128) = 510-4*X(64 <= X & X < 128);
B(128 <= X) = 36;
end

主函数

clear, close all
% 辣椒彩色图
im_rgb = imread('peppers.png');
subplot(1,3,1), imshow(im_rgb)
% 彩色图转灰度图
im_gray = rgb2gray(im_rgb);
subplot(1,3,2), imshow(im_gray)
% 灰度图转彩色图
im_gray2rgb = gray2rgb(im_gray);
subplot(1,3,3), imshow(im_gray2rgb)

运行结果 

代码获取

 关注公众号,回复“数字图像处理”即可获得代码


http://chatgpt.dhexx.cn/article/fsFC8q17.shtml

相关文章

数字图像的类型——伪彩色,真彩色,假彩色

参考&#xff1a; http://blog.sina.com.cn/s/blog_764b1e9d0100t9c8.html 伪彩色图像 同灰度图像一样,也是单波段的图像&#xff0c;但是这个单波段图像是有颜色的&#xff0c;不再是灰度图那样的&#xff0c;而是它的每一个灰度值都对应颜色空间中的某一种颜色。它可以是彩…

matlab实现灰度图像伪彩色处理

1.基于灰度图像的伪彩色处理 代码展示&#xff1a; clear all; close all;I double(rgb2gray(imread(图片1.jpg))); [M N] size(I); I2 zeros(M, N, 3); %初始化三通道for x 1 : Mfor y 1 : Nif I(x, y) < 127 …

伪彩色增强(基于MATLAB)

伪彩色增强(基于MATLAB&#xff09; 本博文参阅《数字图像处理》-杨帆 基于人眼生理视觉系统&#xff0c;对彩色微小差别的敏感程度远大于对灰度差别的敏感程度&#xff0c;彩色增强已经成为一门应用广泛的图像处理技术&#xff0c;其中伪彩色增强技术显得尤为突出。 首先得明…

利用 MATLAB 彩色显示高光谱图像(伪彩色,真彩色)

利用 MATLAB 彩色显示高光谱图像&#xff08;伪彩色&#xff0c;真彩色&#xff09; 前言一、使用imshow函数彩色显示高光谱图像注意事项&#xff1a; 欢迎学习交流&#xff01; 邮箱&#xff1a; z…1…6.com 网站&#xff1a; https://zephyrhours.github.io/ 前言 我们平时…

opencv之伪彩色处理

伪彩色处理 伪彩色&#xff08;pseudo-color)合成是按特定的数学关系把单波段灰度图像的灰度级变成彩色&#xff0c;然后进行彩色显示的方法&#xff0c;其目的是通过数据的彩色表达来增强区分目标的能力。 在图像分割之后&#xff0c;需要对目标进行上色&#xff0c;多数情况…

OpenCV--006:伪彩色:LUT作用与用法

文章目录 一、伪彩色二、LUT1. LUT概念2. 作用3. LUT函数4. LUT应用4.1 颜色空间缩减4.2 图像反转 三、OpenCV&#xff1a;applyColorMap函数 一、伪彩色 伪彩色&#xff08;Pseudo-color&#xff09;图像的每个像素的颜色不是由每个基本色分量的数值直接决定&#xff0c;实际…

【OpenCV 例程300篇】203. 伪彩色图像处理

OpenCV 例程200篇 总目录 201. 图像的颜色空间转换 202. 查表快速替换&#xff08;cv.LUT&#xff09; 203. 伪彩色图像处理 204. 图像的色彩风格滤镜 205. 调节色彩平衡/饱和度/明度 文章目录 【youcans 的 OpenCV 例程300篇】203. 伪彩色图像处理什么是伪彩色图像&#xff1f…

itoa函数和atoi函数

itoa是广泛应用的非标准 C语言扩展函数。由于它不是标准C语言函数&#xff0c;所以不能在所有的 编译器中使用。但是&#xff0c;大多数的编译器&#xff08;如Windows上的&#xff09;通常在<stdlib.h>头文件中包含这个函数。 1说明编辑 功能&#xff1a;将任意类型的数…

C++之spriintf函数(itoa函数)

sprintf函数 头文件&#xff1a;stdio.h 原型 int sprintf( char *buffer, const char *format, [ argument] … ); 参数列表 buffer&#xff1a;char型指针&#xff0c;指向将要写入的字符串的缓冲区。 format&#xff1a;格式化字符串。 [argument]…&#xff1a;可选参数&a…

Vue 艺术字体下载、设置

1&#xff0c;本人常用的下载地址&#xff1a;https://zh.fonts2u.com/ 2&#xff0c;找到你需要的字体点击下载 3&#xff0c;下载完之后有一个ttf文件 4&#xff0c;在vue里面&#xff0c;我个人在assets文件下创建一个文件夹&#xff0c;叫什么名字都行&#xff0c;找到你…

vue下载跨域图片

<a style"color: #409EFF;" click"downImg(url)">下载还款凭证</a>//方法一 &#xff08;只有这种方法解决我的需求&#xff09; downImg(imgsrc) {const src ${imgsrc}?t${new Date().getTime()}fetch(src).then(res > {res.blob().th…

vue点击url链接下载文件

在src下面新建一个downLoadUrl的目录 downLoadUrl / index.js文件 /** 后端返回文件的url,前端创建a标签来下载** 1. 解决了若文件为图片或浏览器支持的格式类型,点击下载会直接打开文件的问题,* 2. 下载文件时,浏览器会有闪动的问题** 页面内使用* 1. 引入指令 import do…

vue文件下载及重命名

本文所讲的下载地址格式为&#xff1a;地址文件名&#xff08;例如&#xff1a;http... test.docx&#xff09; 页面代码&#xff1a; <!--map为所下载的文件信息&#xff0c;包括文件名、路径等 --> <p v-down"map">这是文件名</p> js代码…

使用npm下载vue-router(vuex)路由报错,“export ‘XXXX‘ was not found in ‘vue‘

vue-router vuex 报错同理 vue-router vuex 报错同理 今天在写vue项目使用cnpm下载路由&#xff0c;然后就报错"export ref was not found in vue 原因&#xff1a;cnpm install vue-router --save 现在默认下载的是4.x的版本 &#xff0c;我是用的是…

vue实现文件下载

vue中文件下载 前言 Vue浏览器文件下载最简单的方法就是用a链接实现&#xff0c;然后加一个download属性。让后端返回[blob]文件格式&#xff0c;需要传递 responseType: ‘blob’ 一、使用步骤 展示文件&#xff0c;文件点击后查看方法为handlePreview <span style&qu…

vue学习之一:下载vue-cli项目

这几周一直辗转在vue官网和各大博客搜索关于vue项目实战的例子。学的实在是零零碎碎的。不过总算在对于vue项目搭建有个基本认知&#xff0c;于是直接拿起以前做过的项目进行改版了&#xff0c;接下来是从怎么搭建vue2.xvue-router项目实战写的一些列文章。我的开发环境都是基于…

下载vue脚手架@vue/cli(详解)

1.首先到官网下载node.js 2.在自己的电脑查看是否下载成功 使用window加r输入cmd使用node -v 查看node.js是否下载成功 3.使用npm下载yarn 注意&#xff1a;因为下载node.js中会自动帮你下载npm&#xff0c; npm install -g yarn 使用yarn -v 如果显示有版本号则下载成功…

vue.js中文官网下载vue.js失败了?

访问vue官网 https://v2.cn.vuejs.org/v2/guide/installation.html下载vue.js&#xff0c;页面直接报错404&#xff0c;只需要切换到英文版&#xff0c;重新下载即可成功。 或者直接访问以下地址: https://v2.vuejs.org/v2/guide/installation.html#Direct-lt-script-gt-Includ…

如何下载vue.js

vue官网&#xff1a;https://v2.vuejs.org/ 1、第一步 2、第二步 3、 第三步

idea 下载vue 插件

1.先查看自己的idea 的版本 2.然后去官网 https://plugins.jetbrains.com/plugin/9442-vue-js/versions 下载跟自己idea 版本对应的vue插件 一定要对应不然 报版本不对应问题 类似于&#xff1a; 下载完之后 把文件放在 相应位置 我是放在了idea的插件位置 一般是在 idea的…