流行学习一LLE_机器学习

article/2025/10/14 6:00:34

前言:

       流行学习主要用于聚类,分类和回归算法,例如人脸识别(旋转不变性,光照不变性)

      流行是几何中一个概念,它是高维空间中的几何结构,即高维空间中点构成的集合。

      简单的理解为二维空间的曲线,三维空间的曲面

     假设有一个N维空间的流行M,流行学习降维要实现如下映射

      M \in R^N,  映射到(k<N) M \in R^k

        

 

    早期想把LLE,LE,LPP,ISOmap, MDS 写在一篇,后来实现的时候发现篇幅过大,就分开来写了。

 

 目录:

  1.    应用
  2.   算法思想
  3.    算法推导
  4.   算法流程
  5.   算法实现
  • 一  LLE 应用

     LLE(Locally Linear Embedding) 将高维数据投影到低维空间中,并保持局部线性关系。

    应用于人脸图像,手写数字图像,自然语言处理。

 

  • 二  算法思想

      

     高维空间的样本点xi,可由近邻的样本点线性重构出来,如上图

     x_i = W_{ij}x_j+W_{ik}x_k+W_{il}x_l

 

      x_i : 为行向量,是样本

     W_{i}=[W_{ij},W_{ik},W_{il}]^T: 为列向量

    上面式子也可以改为矩阵形式:

     x_i = W_i^T[x_j,x_k,x_l]^T

    LLE算法希望在低维空间中保持如此的线性重构关系


 

  •  三   原理推导:

       预置条件:

        Q_jx_i的k个近邻下标集合

        W_i:  重构系数,为列向量 ,\sum_{Q} W_{ij}=1,为k行1列的向量

        C_i=(x_i-x_j)(x_i-x_j)^T,j \in Q_i,k*k的矩阵

        X_i: 为行向量,代表样本

         k: Q_j的长度

         W_{i}^{T}1_{k}^{T}=1

         1_k^T=[1,1...,1]^T

    

    3.1   定义高维空间的损失函数:

   J(W)=\sum_{i=1}^{m}||x_i -\sum_{Q}W_{ij}x_j||_2^2

            =\sum_{i=1}^{m}||\sum W_{ij}x_i- \sum W_{ij}x_j||_2^2

          =\sum_{i=1}^{m}|| \sum_{j \in Q}W_{ij}(x_i-x_j)||_2^2

         =\sum W_i^T(x_i-x_j)(x_i-x_j)^TW_i 

   根据预置条件:

       J(W)=\sum_{k=1}^{K}w_{i}^TZ_iw_i

因为有约束,作拉格朗日对偶求极值

L(W)=\sum W_i^Tz_iW_i +\lambda(W_i^T1_K-1)  , 其中1_k,为k行1列的矩阵

求偏导数:

2Z_iW_i+\lambda1_k=0

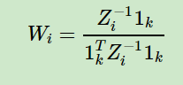
W_i=\frac{-\lambda}{2}Z_{i}^{-1}1_{K}

\lambda=\frac{-\lambda}{2}

W_i=\lambda Z_{i}^{-1}1_{k}  ..........................式1

根据约束条件W_i^T*1_k=1, 对上式进行归一化,求出\lambda

1_k^T \lambda Z_i^{-1}1_k=1

求出\lambda, 带入式1 可以得到高维重构系数

 

3.2  映射到d维

  

   低维度空间映射模型

   min_{y_i} \sum_{i=1}^{m}||y_i -\sum_{j=1}^{m}w_{ij}y_j||^2

    st :\bigl(\begin{smallmatrix} \sum_{i=1}^{m}y_i=0\\ \sum y_i *y_i^T = m I_{d*d} \end{smallmatrix}\bigr)

  Y=[y_1, y_2,...y_m],

  J(Y)=\sum_{i=1}^{m}||y_i -\sum w_{ij}y_j||^2

   

  

 

     其中 :    y_i = YI_i

     

I =\begin{bmatrix} 1 & 0 & ...&0 \\ 0 & 1.& ...&0\\ ... & ...& ...\\ 0 & 0& ... &1 \end{bmatrix} 

I_i 代表取对应的列,例如

    I_2= \begin{bmatrix} 0\\1 \\..\\0 \end{bmatrix}

   

 \sum W_ij y_j = YW_i   

   W: 是[w_1, w_2,..,w_m]  低维度的稀疏矩阵,每一列代表一个xi的邻值权值分布情况 Wi 代表取对应的列

   

   

 则:   

 J(Y)=min_{y_i}\sum ||YI_i -YW_i||^2

       = min tr(Y(I-W)(I-W)^TY^T)

    令  M = (I-W)(I-W)^T

     

J(Y)=min_{y_i} tr(YMY^T)

   加上约束条件,拉格朗日对偶变换后,求极小值

  L= tr(YMY^T +\lambda(YY^T-mI))

  求偏导数

   2MY^T+2\lambda Y^T=0

  可以看出来Y就是特征向量。

 

注意:

1: 跟PCA 降维相反,这里特征值要去从小到大的排序对应的d个特征向量

2: 零特征值对应的特征向量为e,所以要去非零特征值对应的特征向量

      证明:

               e:代表1列全为1的列矩阵

                Me = \lambda e

                左式:

               (I-W)(I-W)^Te = (I-W)(Ie -W^Te)

              =(I-W)(e-W^Te)=0

              因为e 非0,所以特征向量为0的特征值对应特征向量为e

             其中

          W^Te = [\sum w_1 , \sum w_2, ..,\sum w_m]^T =e

       

  四 :   算法主要流程:

          1: 计算每个样本的k个最临近

         2:  计算对应Wi 

               

       3:     重构低维度稀疏矩阵W

       4: 计算低维度矩阵M:

             

       5:   获取M矩阵对应的特征值,特征值向量

              排序后,选择最大的d个非零特征值对应的特征向量

 

 

   注意事项:

       1: 计算Wi的时候,要计算可逆矩阵,这里面有不同的求法,一般都会遇到奇异矩阵。

        不同的求法,误差也主要产生在这里面

 

       2:  非零特征值 定义不同,也会导致不同的结果

       3: k 的取值影响也很大

       4: 每次Wi重构后,可以计算一下重构的误差大小

 

五  算法实现:

     1: 直接调用sklearn库函数方式:

          

           LLE 后效果

            

           Code:

         

# -*- coding: utf-8 -*-
"""
Created on Thu Oct 10 16:50:58 2019@author: chengxf2
"""from time import timeimport matplotlib.pyplot as plt
from mpl_toolkits.mplot3d import Axes3D
from matplotlib.ticker import NullFormatterfrom sklearn import manifold, datasets
import picklefile = "d:\\1.txt""""
保存的数据集格式
Argsdata: 训练样本color: 样本点对应的color
"""
class Data:def __init__(self, data, color):self.trainData = dataself.dataColor = color"""
绘制点
Args:Argsdata: 训练样本color: 样本点对应的color"""
def Draw(data, color):fig = plt.figure(figsize=(6, 5))ax = fig.add_subplot(111, projection='3d')ax.scatter(data[:, 0], data[:, 1], data[:, 2], c=color, cmap=plt.cm.hot)ax.view_init(10, -70)ax.set_xlabel("$x_1$", fontsize=18)ax.set_ylabel("$x_2$", fontsize=18)ax.set_zlabel("$x_3$", fontsize=18)plt.show()"""
从文件中读取数据
Argsfile: 文件路劲
returntrainData: 训练样本color: 样本点对应的color
"""
def LoadFile(file):f = open(file, 'rb')data = pickle.load(f)f.close()trainData = data.trainDatacolor = data.dataColorDraw(trainData, color)return trainData, color"""
保存文件
Argsfile: 文件名data: 样本color: 颜色
returnNone
"""
def SaveData(file, data ,color):DataInfo = Data(data,color)f = open("d:\\1.txt",'wb')pickle.dump(DataInfo, f,0)f.close()"""
生成保存流行数据
ArgsNone
return None
"""
def SWData():n_points = 500data, color = datasets.samples_generator.make_s_curve(n_points, random_state=0)Draw(data, color)SaveData(file, data,color)"""
局部线性嵌入降维
Argsdata: 数据集color: 颜色
"""def LLE(data,color):n_components = 2 ##降低后的维度n_neighbors = 15  ##邻近的个数t0 = time()  #计时开始lle =  manifold.LocallyLinearEmbedding(n_neighbors, n_components,max_iter=1)X_reduced =lle.fit_transform(data)print(" reconstruction_error:\t ", lle.reconstruction_error_)print(" \n lle.hessian_tol:\t ", lle.hessian_tol)print(" neighbors_algorithm:\t ", lle.method)#print(" embedding_:\t ", lle.embedding_)plt.title("Unrolled swiss roll using LLE", fontsize=14)print("x_reduced ",np.shape(X_reduced), "x_reduced[0",X_reduced[0:2])plt.scatter(X_reduced[:, 0], X_reduced[:, 1], c=color, cmap=plt.cm.hot)plt.xlabel("$z_1$", fontsize=18)plt.ylabel("$z_2$", fontsize=18)plt.grid(True)#save_fig("lle_unrolling_plot")plt.show()SWData()
data, color = LoadFile(file)
x =data.tolist()
LLE(x, color)

二 自己实现方法:

     

# -*- coding: utf-8 -*-
"""
Created on Thu Oct 10 16:50:58 2019@author: chengxf2
"""
import numpy as np
import matplotlib as mpl
import matplotlib.pyplot as plt
from mpl_toolkits.mplot3d import proj3d
from sklearn.datasets import make_swiss_roll
from sklearn.manifold import LocallyLinearEmbedding
import pickle
import copy"""
保存的数据集格式
Argsdata: 训练样本color: 样本点对应的color
"""
class Data:def __init__(self, data, color):self.trainData = dataself.dataColor = color"""
绘制点
Args:Argsdata: 训练样本color: 样本点对应的color"""
def Draw(data, color, D3):if True ==D3:fig = plt.figure(figsize=(6, 5))ax = fig.add_subplot(111, projection='3d')ax.scatter(data[:, 0], data[:, 1], data[:, 2], c=color, cmap=plt.cm.hot)ax.view_init(10, -70)ax.set_xlabel("$x_1$", fontsize=18)ax.set_ylabel("$x_2$", fontsize=18)ax.set_zlabel("$x_3$", fontsize=18)else:plt.title("Unrolled swiss roll using LLE", fontsize=14)plt.scatter(data[:, 0], data[:, 1], c=color, cmap=plt.cm.hot)plt.xlabel("$z_1$", fontsize=18)plt.ylabel("$z_2$", fontsize=18)plt.grid(True)#save_fig("lle_unrolling_plot")plt.show()"""
从文件中读取数据
Argsfile: 文件路劲
returntrainData: 训练样本color: 样本点对应的color
"""
def LoadFile(file):f = open(file, 'rb')data = pickle.load(f)f.close()trainData = data.trainDatacolor = data.dataColorDraw(trainData, color,True)print("shape ", np.shape(trainData))print("tp :",type(trainData))return trainData, color"""
获取k邻近点
Argsdata: 数据集x_i: 样本点i: 当前样本点indexk: 近邻点取值个数m: 样本个数
"""
def GetNk(data,x_i, i,k,m):#mXDict ={}for j in range(m):if i ==j:continuex_j = data[j]X = x_i-x_jdist = np.linalg.norm(X)XDict[j]=distjDict = sorted(XDict.items(), key=lambda d:d[1])jList =[item[0] for item in jDict]# print("\n i ",i, "\t  NearJ: ",jList[0:k])  return jList[0:k]"""
通过奇异分解求解逆矩阵
ArgsZi
"""
def SvdInv(Z):m,n = np.shape(Z)U,V,T = np.linalg.svd(Z)invV = np.zeros((n,n))#tol=1E-8  ##防止特征值为0alpha = 1e-3for i in range(n):if np.abs(V[i]<alpha):invV[i,i] = alphaelse:a=  V[i]invV[i,i] = 1.0/ainvZ = T.T*invV*U.Treturn invZdef GetLoss(xi, xj, wi):xiNew = wi.T*xja =xi-xiNewloss = np.linalg.norm(a)return loss"""
"""
def GetwL(wNear, wH,m,K):wL = np.zeros((m,m))for i in range(m):QJ = wNear[i] ##邻近矩阵的左边for j in QJ:##QJindex = QJ.index(j)# print("wi ",wH[i], "\t ",j)wij = wH[i][index]wL[j,i]=wij ##列矩阵return wL"""
低维线性嵌入
Argsdata: 数据集color: 标签k: 邻近点取的个数
"""
def LLE(data, color, k):#zero =6.113835700142957e-07zero = 3.5508457154521093e-07n_components = 2m,n = np.shape(data)onek = np.ones((k,1))wNear =[]wH=[]###step1 计算k 邻近####print("\n  step1 计算邻近:")for i in range(m):xi = data[i]# print("\n xi : ",xi)QJ =  GetNk(data, xi, i, k, m)wNear.append(QJ)##计算Zixj =[]for j in QJ:x_j = data[j]xj.append(x_j.tolist()[0])A = xi -xj  ##MatrixZi =A*A.T##10*10InvZ = SvdInv(Zi)a = InvZ*onekb = onek.T*awi = a/b#loss =  GetLoss(xi, xj, wi)wH.append(wi.T.tolist()[0])#print("\n i:  ",wi.T.tolist()[0])##求解低维度稀疏矩阵wL = GetwL(wNear, wH, m,k)  # print("\n 低维度稀疏矩阵: \n ",wL)I = np.mat(np.eye(m,m))matA = I-wL##计算Mprint("\n step3 : M 计算完毕")M = np.dot(matA,  matA.T)# for col in range(m):# print("\n  step2: 计算稀疏矩阵%d \n "%col,M[:,col])#print("\n sp M: ", np.shape(M), "\t tyep ", type(M))#print("\n 低维度稀疏矩阵: \n ",M)##求解特征值特征向量 a 特征值, b特征向量print("\n step4 : 计算特征值特征向量")a, b = np.linalg.eig(M)lista = list(a)Y =np.zeros((m,n_components))a1 = copy.deepcopy(a)a1.sort()print("m: ",m)print("shape Y:::::::::: ", np.shape(Y))col = 0for lamb in a1:  ##从小到大排序if np.abs(lamb)>zero and col<n_components:j = lista.index(lamb)Y[:,col]= b[:,j].reshape(1,m)col = col+1print("\n step5 : 取Y")return Y#reverse = True 降序 , reverse = False 升序(默认)
def Test():matA = np.mat([[1,2],[2,2]])matB = np.mat([[1,2],[2,2]])a, b = np.linalg.eig(matA)#print("\n a: \n ",a)#print("\n b: \n ",b)for i in range(len(a)):lamb = a[i]x = b[:,i]y = lamb*xy1 = matA*xprint("\n ================\n")print("\n left  :\n ",y.T, "\n   right: \n",y1.T)def Train():file = "d:\\1.txt"data,color = LoadFile(file)dataMat = np.mat(data)Y= LLE(dataMat,color,15)data2 = np.array(Y)Draw(data2, color, False)#Test()
Train()

参考文档

https://www.cnblogs.com/pinard/p/6266408.html?utm_source=itdadao&utm_medium=referral

https://wenku.baidu.com/view/674e73ab647d27284a735143.html?from=search

   https://www.cnblogs.com/jiangxinyang/p/9314256.html
  

    https://blog.csdn.net/elma_tww/article/details/88143633

 


http://chatgpt.dhexx.cn/article/fffiASD3.shtml

相关文章

lle算法c 语言,局部线性嵌入算法(LLE)与其Python实现-Go语言中文社区

PCA是至今为止运用最为广泛的数据降维算法&#xff0c;它通过最小化重构误差达到将高维数据映射到低维并同时保留数据中所存在的绝大部分信息。但是一般的PCA也有缺点&#xff0c;它只能实现线性降维。当然现在也有kernel PCA可以实现非线性降维&#xff0c;但我们今天介绍的是…

LLE降维

LLE 是 Locally Linear embedding 直观是在样本点的高维空间相邻近的话&#xff0c;可以用低维的子空间描述。 基本原理分三步&#xff1a; &#xff08;1&#xff09; 找到邻居 neighbors .(可以使用多种方法&#xff0c;邻居K的数目选择影响很大) &#xff08;2&#xff09…

局部线性嵌入LLE

[1]https://www.cnblogs.com/pinard/p/6266408.html [2]Graph Embedding Techniques, Applications, and Performance: A Survey 主要参考和图片来源[1] LLE推导算法流程 局部线性嵌入(Locally Linear Embedding,LLE)&#xff0c;一种重要降维方法&#xff0c;与PCA、LDA相比…

LLE降维算法

欢迎关注”生信修炼手册”! 流形分析作为非线性降维的一个分支&#xff0c;拥有多种算法&#xff0c;常见的算法列表如下 流形分析的要点在于降维之后&#xff0c;仍然保留流形中的某些几何属性。之前介绍的isomap保留了测地距离这一几何属性&#xff0c;由于考虑的是全局关系&…

LLE算法

Locally linear embedding (LLE) (Sam T.Roweis and Lawrence K.Saul, 2000)以及Supervised locally linear embedding (SLLE) (Dick and Robert, 2002) 是最近提出的非线性降维方法&#xff0c;它能够使降维后的数据保持原有拓扑结构。 LLE算法可以有图1所示的一个例子来描述。…

LLE原理总结

原文&#xff1a; https://www.cnblogs.com/pinard/p/6266408.html?utm_sourceitdadao&utm_mediumreferral 局部线性嵌入(Locally Linear Embedding&#xff0c;以下简称LLE)也是非常重要的降维方法。和传统的PCA&#xff0c;LDA等关注样本方差的降维方法相比&#xff0c;…

LLE原理及推导过程

1.概述 所谓LLE(局部线性嵌入)即”Locally Linear Embedding”的降维算法,在处理所谓流形降维的时候,效果比PCA要好很多。 首先,所谓流形,我们脑海里最直观的印象就是Swiss roll,在吃它的时候喜欢把它整个摊开成一张饼再吃,其实这个过程就实现了对瑞士卷的降维操作…

LLE理解

背景 局部线性嵌入(Locally Linear Embedding&#xff0c;以下简称LLE)是一种降维方法。和传统的PCA&#xff0c;LDA等关注样本方差的降维方法相比&#xff0c;LLE关注于降维时保持样本局部的线性特征&#xff0c;由于LLE在降维时保持了样本的局部特征&#xff0c;它广泛的用于…

局部线性嵌入(LLE)原理总结

局部线性嵌入(Locally Linear Embedding,以下简称LLE)也是非常重要的降维方法。和传统的PCA,LDA等关注样本方差的降维方法相比,LLE关注于降维时保持样本局部的线性特征,由于LLE在降维时保持了样本的局部特征,它广泛的用于图像图像识别,高维数据可视化等领域。下面我们就对…

机器学习之:LLE (locally linear embedding) 局部线性嵌入降维算法

文章目录 LLE1. LLE 是什么2. LLE 的主要思想3. LLE 算法推导过程3.1 如何找到 k 个近邻3.2 找 x i x_i xi​ 与这 k 个近邻的线性关系3.3 x i x_i xi​ 与 k 个近邻点的线性关系求解过程3.3.1 奇异值分解3.3.1.1 特征值分解 &#xff08;EVD&#xff09;3.3.1.2 奇异值分解&…

安装HAXM

老师给的是在网上下载HAXM。但事实上打开这里你会发现Android 已经自动下载了HAXM 因此你要做的是找到HAXM路径&#xff0c;然后继续安装它。我的路径是 C:\Users\DELL\AppData\Local\Android\Sdk\extras\intel\Hardware_Accelerated_Execution_Manager

Intel x86 Emulator Accelerator(HAXM installer)无法安装

在sdk manager中Intel x86 Emulator Accelerator(HAXM installer)后面显示 NOT compatible with windows 这个时候可以尝试手动安装Intel x86 Emulator Accelerator(HAXM installer) 1、在网上下载后&#xff0c;https://software.intel.com/en-us/articles/intel-hardware-a…

haxm intel庐_Android Studio中Intel HAXM的那些坑

最近用过两台电脑折腾Android Studio&#xff0c;都是windows的系统&#xff0c;不知道为什么连着踩了两个坑。 第一台我结束了qemu-system-i386.exe这个倒霉的进程 导致我开启模拟器的时候一直提示我没有安装Intel HAXM&#xff0c;没办法咯&#xff0c;只好再安装一遍&#x…

AMD CPU无法安装Intel HAXM解决方法

步骤1. 步骤2. 找到安装目录&#xff08;我的安装目录&#xff1a;D:\Android\SDK\extras\google\Android_Emulator_Hypervisor_Driver&#xff09;下的这个文件&#xff1a;silent_install&#xff0c;右击该文件选择“以管理员运行”&#xff0c;即可。

Android Studio 如何 安装 HAXM

Android Studio 如何 安装 HAXM 打开 Android Stutio打开设置搜索 Android&#xff0c;定位到 Android SDK切换到 SKD Tools 标签&#xff0c;然后点选下面的 Intel x86 Emulator Eccelerator(HAXM installer)&#xff0c;之后 Apply 应用&#xff0c;编辑器就会自动下载这个东…

HAXM installation failed. To install HAXM follow the instructions found at

AMD处理器 在控制面板中打开虚拟机平台&#xff0c;重启电脑

Android Studio中 HAXM安装失败的问题(Intel HAXM installation failed. To install Intel HAXM follow the…)

我要喷人了&#xff0c;这破Android Studio也太难搞了&#xff0c;环境按了我半天各种问题都试了&#xff0c;友友们啊记得先看日志再去找问题&#xff0c;我就是只看报错没有找日志后面突然去看一下就找到问题了 日志就是报错信息上面的那一句&#xff0c;我这里日志说的是&a…

Android Studio启动虚拟机时一直提示安装Haxm

目录 问题描述 问题截图 原因猜测 解决方案 问题描述 Android Studio启动虚拟机时一直出现Install Haxm&#xff0c;但是按照他的安装步骤后还是不停的弹出提示安装Haxm 问题截图 原因猜测 为什么会出现这种情况那&#xff1f;我猜测应该是权限问题&#xff0c;也就是说…

“暴力”解决HAXM installation failed问题

废话不多说&#xff0c;当你遇到 “Intel HAXM安装失败。要安装Intel HAXM&#xff0c;请遵循以下说明&#xff1a;https://githubCom/intel/haxm/wiki/安装-Windows上的说明” 的情况时&#xff08;如下图所示&#xff09; 造成安装失败有多种可能原因&#xff0c;每个人的电脑…

haxm intel庐_在电脑上安装Intel HAXM(硬件加速执行管理器)

用Inter Atom模式的Android模拟器启动报一下错误&#xff1a; Starting emulator for AVD new emulator: ERROR: x86 emulation currently requires hardware acceleration! Please ensure Intel HAXM is properly installed and usable. CPU acceleration status: HAX kernel …