前言
是自己复习的笔记。截图是老师的课件。
大标题按章节来分。
跳过了很多东西。
2021.11.2回来补充,考完了,谢谢老师的4.0;
第一章
1.电路和电路模型
集总参数电路模型:
当实际电路的尺寸远小于其使用时最高工作频率所对应的波长时而抽象出的理想元件。
记住公式就好了。

集总参数电路模型:


2.电路变量
电流(current)及其参考方向:
记住公式就好了~


电压(voltage)及其参考极性


功率:

3.(常考)基尔霍夫定律
基尔霍夫电流定律(KCL):
抽象解释:

具体解释:

基尔霍夫电压定律(KVL):
抽象解释:

具体解释:
跟参考方向一致(从正到负)的为正。

注意:电压电流本身的正负号。(所以在列式子的时候最好就先带U、I等字母,最后再代入本身的值)

可以随便看看的总结:

4.电阻元件
线性电阻与非线性电阻:

电压电流关系(VCR)(伏安特性):
其实就是欧姆定律:


时变与非时变:
一个我觉得不会考也没记住是啥东西的图:

功率:
p大于0就消耗。

开路和短路:
开路就是断,短路就是变导线。

理想电压源:

非理想电压源(实际电压源):
简而言之,就是非理想电压源里有内阻。
所以根据高中知识可知,电路接的电阻越大,电路分到的电压就越大。
分到的电压会因为外电路电阻而变化,故非理想。
应该大概知道一下就行了




理想电流源与非理想电流源:
电流源的图:

理想:

非理想:


电容元件:

1、记住公式:i=C*(du/dt);
2、电容电压变化率与电流的关系:类比磁通量变化率与电压 的关系。
3、关联与非关联:简单理解,关联就是同方向。

称电容为“记忆元件”。
电容的储能:

电容的串并联与其总电容值的关系,与电阻的串并联情况相反。
电感:

电感的一些总结:

电感的串并联与其总电感值的关系,与电阻的串并联情况相同。
电感的一些公式:

第二章
1.电阻元件的等效变换
等效(equivalence):
如果一个单口网络N和另一个单口网络N′的电压电流关系完全相同,即它们在u-i平面上的伏安特性曲线完全重合,则称这两个单口网络是等效的。
对T型网络:

分母都是电阻两两组合的乘积之和。


上面的貌似不用记,记这个就好。
T->II:因为要变II,所以有两个加号。分母是没有用过的电阻。
II->T:分子是带有要求的电阻的指路的电阻。
分母是每条指路的电阻之和。


2.负载获得最大功率的条件
当外电路总电阻与电源内部总电阻相同时,负载获得最大功率,电路传输效率为50%;

3.电路中各电位的计算

4.网孔电流法
电压在等式左边是从正到负。
im1,im2等是设定的各个网孔的电流值。
若是在此网孔还有叠加的别的电流,同方向即+,反方向即-;


5.节点电压法
对每一个节点进行分析。
等式左边是:此节点的电位值*与此节点所有相连的电导值之和,再减去与其他电位路上相连的电导与电位的乘积;
等式右边是:电源流入节点的电流代数和。(即入为正,出为负)此电流必须是电流源\电压源发出的。
具体看等式就好理解了。


6.弥尔曼定理
弥尔曼定理仅适用于只有一个独立节点的电路。
(即除了参考节点只有一个节点了)
节点a的电位值为:电流代数和除以电导代数和。
电流代数和:流入为正,流出为负。要电源产生的电流才行;
电导代数和:直接相加。
下面的节点设为参考节点,电位为0;


其他:
弥尔曼定理可适用于任意结点电路的求解吗?
解答: 不能。弥尔曼定理只适用于两个节点的电路。
一个设为参考电位,另一个就是唯一独立节点。
第三章
1.叠加定理
齐次性
在单一激励的线性电路中,若激励增加或减小n倍,响应也同样增加或减小n倍,这种性质称为齐次性(homogeneity)或比例性(proportionality)。它是线性(linearity)的一个表现。

叠加定理:
在线性电路中,由两个激励产生的响应为****每一激励单独作用时产生的响应之和。——叠加性(superposition)
用网孔电流求出i2,发现i2也可以由电压源和电流源单独响应再叠加得。
(主要看第二张中间的图)


注意:
单独作用的含义:当某一独立源单独作用时,其他独立源应为零值,即独立电压源短路,独立电流源开路。
(记法:电压作用在导线上是短路,电流的路断了(才为0)是开路)
受控源不能单独作用,即独立源单独作用时,受控源必须保留在电路中,而且要注意控制量的变化。
功率与叠加定理
功率不能叠加,即功率不满足叠加定理。
可以理解为,因为功率的计算不是线性的。
总结-注意事项:

2.置换定理
内容:若某网络中的所有支路电压和支路电流都有唯一解,且已知某支路k的电流ik或电压uk ,则可以用一个电压等于uk的电压源或电流为ik的电流源去等效替代这条支路,替代后网络其他部分的电压和电流值保持不变。

几点说明:
有控制量不能替代。
如受控源。

3.戴维南定理
又称为等效电压源定律,通过戴维南定理可以将复杂的有源线性二端电路等效为一个电压源与电阻串联的电源模型。
4.诺顿定理
含独立源的线性电阻单口网络N,就端口特性而言,可以等效为一个电流源和电阻的并联。
这两课的题没看懂。
第四章
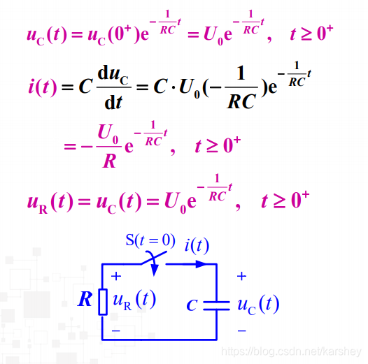
1.一阶RC电路的零输入响应
人话:一个有电容无电源的电路由断开到闭合的响应。
(零输入就是没有输入,即无电源,是电容里的能量放出的过程)
求的是电压。(会变化的,是一个过程)
某时的电压值的计算公式:
U(0)是初始状态的电压。

若要求电流,就是得出的电压除以R;

图:

时间常数:
念tao(-):

总结:

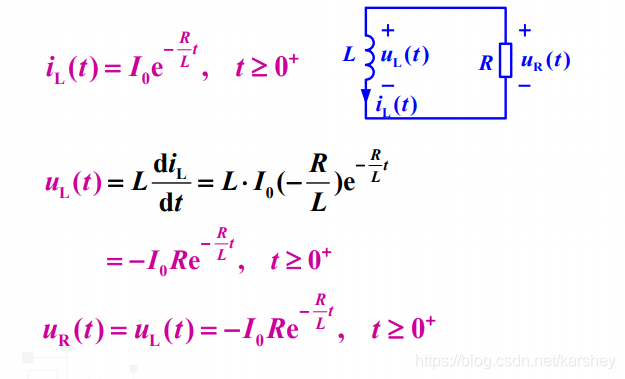
2.一阶RL电路的零输入响应
人话:一个有电感没有电源的回路。
(零输入就是无电源)
求出的是电流值。
求I的表达式:(电压有负号的原因是方向不同啦)

曲线图:
零输入的都是放。

时间常数:

总结:

3.一阶RC电路的零状态响应
翻译:回路中有电源和电容,电源给电容充电到平稳状态的过程。
公式:(求电压)
当t趋近于无穷大时,uc趋近于us,即充满电了。

公式和图:
充电过程中电源电压减小,故电流肯定减小。
电阻两边的电压也减小。
uc会无限趋近于us。

时间常数越小,充电越快。
充电效率50%:因为充到最后电容跟电源的电压值要相同。即正好是电源的一半了。

4.一阶RL电路的零状态响应
翻译:有电流源和电感的回路。
公式:
相当于给电感充电流了。

总结:

除了电感的i在增加,其他都在减少。

关于能量:

5.一阶电路的全响应
翻译:全响应:有电压源和电容,既充电又放电。
/有电流源或电感,既充电又放电。

公式:

充电与放电:

6.一阶电路的三要素法


总结:

7.二阶电路的分析
听说不怎么考,先不管了。
第五章
1.正弦量
正弦量的三要素:
振幅、角频率、初相。


括号里的左加右减

相位差大于0即F1超前于F2,小于0即F1滞后于F2.这里是滞后。

完全错位即差一个PI或n个PI。

周期信号的平均值和有效值:
有效值是最大值除以根号2.

2.正弦信号的相量表示
信号转为相量的方法:
前面的系数是振幅,角度符号后的是初相值。
同频率的信号才能运算,方法是画图,向量求和。
cos(a)=sin(a+90);
sin(a)=cos(90-a);
所以若转cos的信号,sin的要在角度后+90;

3.R、L、C元件VCR的相量形式
U=RI ——电阻元件VCR的相量形式
电阻元件的电压与电流同相位。
电感元件VCR的相量形式:

乘一个j即加90度:

电容元件VCR的相量形式:


总结:
电感:电压等于jw电流乘以电感。所得电压=电流+90°;
电容:电流等于jw电压乘以电容。所得电流=电压+90°。
CU、IL锁了!
4.基尔霍夫定律的相量形式

5.阻抗和导纳
&符号其实是相量上面的点,只是在这里显示错了…
把R、L、C都当成电阻即可。Z就是R,Y就是G。

阻抗

电感导直,电容隔直。


导纳


总结:
其实只记住一个R(Z),其他的再临场推导就行了。

第6章
写在前面:基本没听懂啦,感觉考的也不多,所以笔记也很少,如果真的要抱佛脚就看课件去…
1.半导体基础知识
PN结:

2.半导体二极管

图重要。

二极管的一个作用:只留下正的

限幅电路
限幅:限制输出信号的幅度。

3.晶体三极管
需要了解:

箭头是E,单独竖下来一条的是B。
IE=IB+IC。C的电流大于B的。

图助于理解,右上角的公式最重要:

工作:放大
E正C反。


记住:
IE=IB+IC;IC>IB。
C是输出,E是输入。α是C/E(0.95-0.99),β是C/B(大于0);

三种形态:共基——B接地;共射——E接地;共集——C接地。



好像很重要但是没听懂的伏安特性:

截止区相当于断路:
发射结、集电结均为反偏;

饱和相当于导线:
发射结、集电结均为正偏。

放大区
发射结正偏、集电结反偏。


















