前言
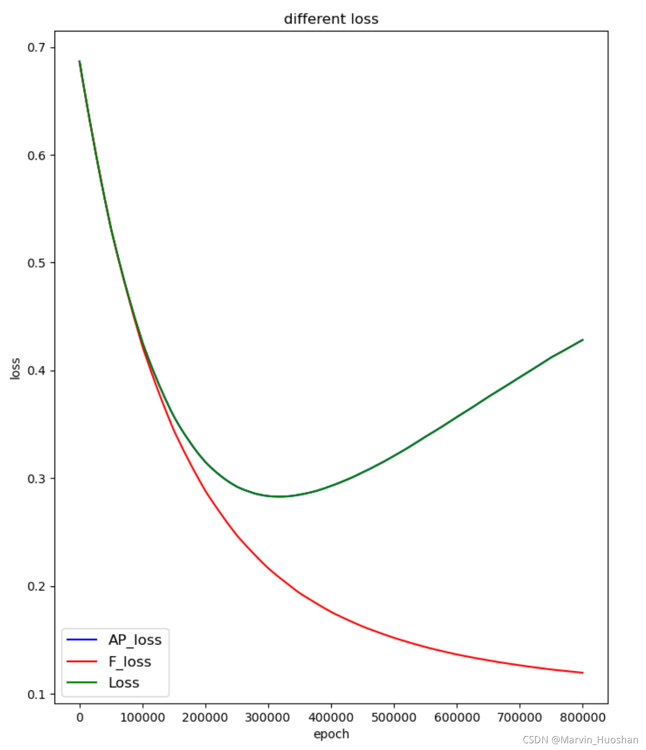
最近在写一篇文章,是一篇深度学习与安全相结合的文章,模型的输出会交给两个损失函数(availability & security)进行损失计算,进而反向传播。起初的想法是直接将两项损失进行加权平均,共同进行反向传播,后面又尝试了先A后B和先B后A的方式。发现模型训练的效果不是很好,因为这两个损失在进行下降时是一种相互制约的关系,如图1所示(侧面也反映了自己设计的连个损失方向是对的)。在epoch到达30w次之后,两者分道扬镳。

考虑到多任务之间的制约,尝试使用多目标优化的方法对两个损失函数进行优化,以获得使两种损失同时较小的一种嵌入,然后再将此满足条件的嵌入作为模型的训练目标,分步完成模型的训练。但是在研究了多目标优化的算法之后,打消了这个念头,因为我模型的输出维度很高,他是一张图的邻接矩阵的一维展开(adj.view(-1)),是百万维级别的,所以使用传统多目标优化的方法(例如遗传算法)过于复杂,所以就发现了这一篇名为Multi-Task Learning as Multi-Objective Optimization的文章。下面简单的介绍一下这篇文章。
Multi-Task Learning as Multi-Objective Optimization
作者在文章的摘要中说:“多任务学习本质上是一个多目标的问题,因为不同的任务可能会发生冲突,需要进行权衡。一个常见的折衷办法是优化一个代理目标,使每个任务损失的加权线性组合最小。然而,这种变通方法只有在任务不竞争的情况下才有效,而这种情况很少发生。在本文中,我们明确地将多任务学习作为多目标优化,其总体目标是找到一个帕累托最优解。”
这个是文章为何能够适用于我的问题的原因。细节不做过多介绍,在阅读过程中发现网上有不少对于这篇文章原理的解释,大家有疑问可以自行查看。
对Multi-Task Learning as Multi-Objective Optimization方法进行尝试
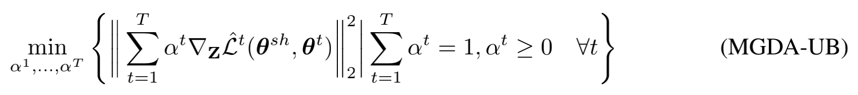
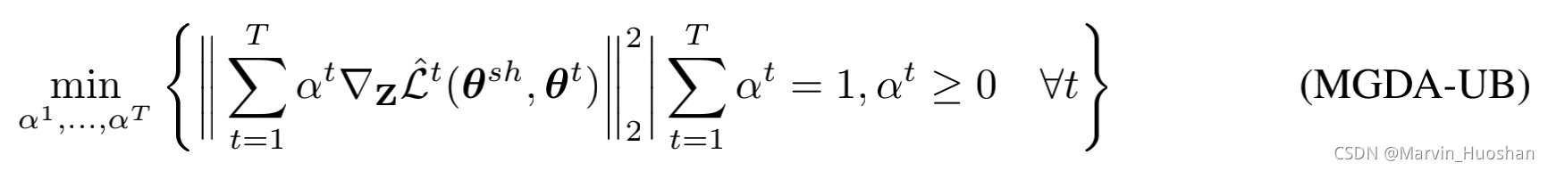
Solving the Optimization Problem

这是文章中的一段话。在处理一般情况之前,先处理只有两个优化目标的一般情况。此时的优化目标是一个一元二次函数: ,其解为:
同时,作者又介绍道,对于每一个任务t,都需要计算,而参数
在反向传播阶段恰好是多任务共享的参数,所以在反向传播阶段需要计算T次。因此作者为了降低计算复杂度,确定了优化问题的上界。

其中Z为表示层的输出,也就是共享参数的各层最后的输出。 
又因为 与
无关,所以在优化中会被移除。因此使用以下上界来优化目标。

应用
根据以上分析,我对自己的模型进行了改进,先分享一下源代码:
grads = {}#这个函数是为了获取中间变量的梯度,我方案中的Z不是一个叶子结点,所以其梯度在反向传播之后不会被保存
def save_grad(name):def hook(grad):grads[name] = gradreturn hookdef MTL(loss, Floss):'''使用多任务学习的多个梯度来决定最终梯度:param loss: 损失1:param Floss: 损失2:return:'''Z.register_hook(save_grad('Z'))#对loss进行反向传播,获取各层的梯度loss.backward(retain_graph = True)theta1 = grads['Z'].view(-1)#将计算图中的梯度清零,准备对第二种loss进行反向传播optimizer.zero_grad(retain_graph = True)Floss.backward()theta2 = grads['Z'].view(-1)#alpha解的分子部分part1 = torch.mm((theta2 - theta1), theta2.T)#alpha解的分母部分part2 = torch.norm(theta1 - theta2, p = 2)#二范数的平方part2.pow(2)alpha = torch.div(part1, part2)min = torch.ones_like(alpha)alpha = torch.where(alpha > 1, min, alpha)min = torch.zeros_like(alpha)alpha = torch.where(alpha < 0, min, alpha)#alpha theta1 & (1 - alpha) theta2#将alpha等维度拓展alpha1 = alphaalpha2 = (1 - alpha)#将各层梯度清零optimizer.zero_grad()#根据比率alpha1 & alpha2分配Loss1和Loss2的比率MTLoss = alpha1 * loss + alpha2 * FlossMTLoss.backward()
在我自己的方案中,其实也是进行了三次反向传播,其实可以只计算出表示层的输出Z的梯度,然后根据梯度计算alpha,直接将两种Loss分配权重,但是这里的操作我并没有实现,因为每次backward()之后,其实是进行了一次完整的反向传播,如果不进行backward()又没有办法快速求出Z的梯度。所以我还没研究清楚如何进行控制,如果大家有解决的方法,也希望能够不吝赐教。
在这里我为何还要使用Z而不是表示层的梯度,是因为我的表示层的权重矩阵是一个多维的变换矩阵,所以在进行帕累托最优求解的时候比较麻烦,而表示层的输出Z,是一个一维的向量,进行帕累托最优解寻找的过程比较简单,方便计算。当然这也只是我在阅读完文献后的第一次尝试,可能在理解上还有很多错误,后面会不断进行改进。
结果

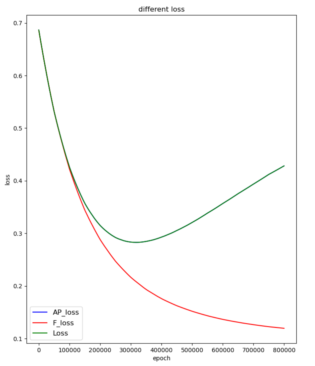
这个是使用文章中方法改进之后的梯度下降损失的变化,其中AP_loss是Loss1,F_loss是Loss2,可以看出两者都在进行下降,同时与我之前使用的手动调参(Loss1 & Loss2全程按照一种比例进行梯度下降)相比,损失函数的震荡情况获得了十分明显的改善。

















