A为一个方阵,则Tr A表示A的迹(就是主对角线上各项的和),
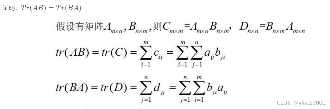
 在量子力学中,Tr为迹,(trace),A,B,C为矩阵,证明:(1).Tr(AB)=Tr(BA) ;
 
 
(2).Tr(ABC)=Tr(BCA)=Tr(CAB)
 第一个公式直接把(AB)ii的表达式写出来,然后求和,很容易证明与(BA)ii的求和相等
 第二个直接用第一个式子证明,将A视为一个矩阵,BC视为一个矩阵,可以证明第一个等式
 然后将B视为一个矩阵,将CA视为一个矩阵可以证明第二个式子,就OK了
A为一个方阵,则Tr A表示A的迹(就是主对角线上各项的和),
 在量子力学中,Tr为迹,(trace),A,B,C为矩阵,证明:(1).Tr(AB)=Tr(BA) ;
 
 
(2).Tr(ABC)=Tr(BCA)=Tr(CAB)
 第一个公式直接把(AB)ii的表达式写出来,然后求和,很容易证明与(BA)ii的求和相等
 第二个直接用第一个式子证明,将A视为一个矩阵,BC视为一个矩阵,可以证明第一个等式
 然后将B视为一个矩阵,将CA视为一个矩阵可以证明第二个式子,就OK了